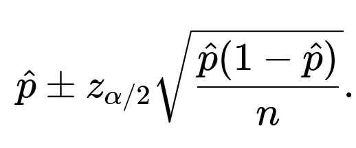
<?xml version="1.0" encoding="UTF-8"?><rss xmlns:dc="http://purl.org/dc/elements/1.1/" xmlns:content="http://purl.org/rss/1.0/modules/content/" xmlns:atom="http://www.w3.org/2005/Atom" version="2.0" xmlns:itunes="http://www.itunes.com/dtds/podcast-1.0.dtd" xmlns:googleplay="http://www.google.com/schemas/play-podcasts/1.0"><channel><title><![CDATA[Rohan's Bytes: ML Interview Series]]></title><description><![CDATA[Crack the ML Interview: Questions You Need to Know]]></description><link>https://www.rohan-paul.com/s/ml-interview-series</link><image><url>https://substackcdn.com/image/fetch/$s_!q7Ea!,w_256,c_limit,f_auto,q_auto:good,fl_progressive:steep/https%3A%2F%2Fsubstack-post-media.s3.amazonaws.com%2Fpublic%2Fimages%2F20030c9b-4180-453e-9ef3-f42abd8f9de5_1200x1200.png</url><title>Rohan&apos;s Bytes: ML Interview Series</title><link>https://www.rohan-paul.com/s/ml-interview-series</link></image><generator>Substack</generator><lastBuildDate>Sat, 02 May 2026 16:33:31 GMT</lastBuildDate><atom:link href="https://www.rohan-paul.com/feed" rel="self" type="application/rss+xml"/><copyright><![CDATA[Rohan Paul]]></copyright><language><![CDATA[en]]></language><webMaster><![CDATA[rohanpaul@substack.com]]></webMaster><itunes:owner><itunes:email><![CDATA[rohanpaul@substack.com]]></itunes:email><itunes:name><![CDATA[Rohan Paul]]></itunes:name></itunes:owner><itunes:author><![CDATA[Rohan Paul]]></itunes:author><googleplay:owner><![CDATA[rohanpaul@substack.com]]></googleplay:owner><googleplay:email><![CDATA[rohanpaul@substack.com]]></googleplay:email><googleplay:author><![CDATA[Rohan Paul]]></googleplay:author><itunes:block><![CDATA[Yes]]></itunes:block><item><title><![CDATA[ML Interview Q Series: Estimating True Classifier Accuracy Using Confidence Intervals Based on Test Set Performance.]]></title><description><![CDATA[&#128218; Browse the full ML Interview series here.]]></description><link>https://www.rohan-paul.com/p/ml-interview-q-series-estimating-da6</link><guid isPermaLink="false">https://www.rohan-paul.com/p/ml-interview-q-series-estimating-da6</guid><pubDate>Fri, 13 Jun 2025 10:18:28 GMT</pubDate><enclosure url="https://substackcdn.com/image/fetch/$s_!oyZ1!,f_auto,q_auto:good,fl_progressive:steep/https%3A%2F%2Fsubstack-post-media.s3.amazonaws.com%2Fpublic%2Fimages%2Fefb4c199-4587-41ba-9242-43c5bdf2d94c_1024x532.png" length="0" type="image/jpeg"/><content:encoded><![CDATA[<div class="captioned-image-container"><figure><a class="image-link image2 is-viewable-img" target="_blank" href="https://substackcdn.com/image/fetch/$s_!oyZ1!,f_auto,q_auto:good,fl_progressive:steep/https%3A%2F%2Fsubstack-post-media.s3.amazonaws.com%2Fpublic%2Fimages%2Fefb4c199-4587-41ba-9242-43c5bdf2d94c_1024x532.png" data-component-name="Image2ToDOM"><div class="image2-inset"><picture><source type="image/webp" srcset="https://substackcdn.com/image/fetch/$s_!oyZ1!,w_424,c_limit,f_webp,q_auto:good,fl_progressive:steep/https%3A%2F%2Fsubstack-post-media.s3.amazonaws.com%2Fpublic%2Fimages%2Fefb4c199-4587-41ba-9242-43c5bdf2d94c_1024x532.png 424w, https://substackcdn.com/image/fetch/$s_!oyZ1!,w_848,c_limit,f_webp,q_auto:good,fl_progressive:steep/https%3A%2F%2Fsubstack-post-media.s3.amazonaws.com%2Fpublic%2Fimages%2Fefb4c199-4587-41ba-9242-43c5bdf2d94c_1024x532.png 848w, https://substackcdn.com/image/fetch/$s_!oyZ1!,w_1272,c_limit,f_webp,q_auto:good,fl_progressive:steep/https%3A%2F%2Fsubstack-post-media.s3.amazonaws.com%2Fpublic%2Fimages%2Fefb4c199-4587-41ba-9242-43c5bdf2d94c_1024x532.png 1272w, https://substackcdn.com/image/fetch/$s_!oyZ1!,w_1456,c_limit,f_webp,q_auto:good,fl_progressive:steep/https%3A%2F%2Fsubstack-post-media.s3.amazonaws.com%2Fpublic%2Fimages%2Fefb4c199-4587-41ba-9242-43c5bdf2d94c_1024x532.png 1456w" sizes="100vw"><img src="https://substackcdn.com/image/fetch/$s_!oyZ1!,w_1456,c_limit,f_auto,q_auto:good,fl_progressive:steep/https%3A%2F%2Fsubstack-post-media.s3.amazonaws.com%2Fpublic%2Fimages%2Fefb4c199-4587-41ba-9242-43c5bdf2d94c_1024x532.png" width="1024" height="532" data-attrs="{&quot;src&quot;:&quot;https://substack-post-media.s3.amazonaws.com/public/images/efb4c199-4587-41ba-9242-43c5bdf2d94c_1024x532.png&quot;,&quot;srcNoWatermark&quot;:null,&quot;fullscreen&quot;:null,&quot;imageSize&quot;:null,&quot;height&quot;:532,&quot;width&quot;:1024,&quot;resizeWidth&quot;:null,&quot;bytes&quot;:831070,&quot;alt&quot;:null,&quot;title&quot;:null,&quot;type&quot;:&quot;image/png&quot;,&quot;href&quot;:null,&quot;belowTheFold&quot;:false,&quot;topImage&quot;:true,&quot;internalRedirect&quot;:&quot;https://www.rohan-paul.com/i/165855161?img=https%3A%2F%2Fsubstack-post-media.s3.amazonaws.com%2Fpublic%2Fimages%2Fefb4c199-4587-41ba-9242-43c5bdf2d94c_1024x532.png&quot;,&quot;isProcessing&quot;:false,&quot;align&quot;:null,&quot;offset&quot;:false}" class="sizing-normal" alt="" srcset="https://substackcdn.com/image/fetch/$s_!oyZ1!,w_424,c_limit,f_auto,q_auto:good,fl_progressive:steep/https%3A%2F%2Fsubstack-post-media.s3.amazonaws.com%2Fpublic%2Fimages%2Fefb4c199-4587-41ba-9242-43c5bdf2d94c_1024x532.png 424w, https://substackcdn.com/image/fetch/$s_!oyZ1!,w_848,c_limit,f_auto,q_auto:good,fl_progressive:steep/https%3A%2F%2Fsubstack-post-media.s3.amazonaws.com%2Fpublic%2Fimages%2Fefb4c199-4587-41ba-9242-43c5bdf2d94c_1024x532.png 848w, https://substackcdn.com/image/fetch/$s_!oyZ1!,w_1272,c_limit,f_auto,q_auto:good,fl_progressive:steep/https%3A%2F%2Fsubstack-post-media.s3.amazonaws.com%2Fpublic%2Fimages%2Fefb4c199-4587-41ba-9242-43c5bdf2d94c_1024x532.png 1272w, https://substackcdn.com/image/fetch/$s_!oyZ1!,w_1456,c_limit,f_auto,q_auto:good,fl_progressive:steep/https%3A%2F%2Fsubstack-post-media.s3.amazonaws.com%2Fpublic%2Fimages%2Fefb4c199-4587-41ba-9242-43c5bdf2d94c_1024x532.png 1456w" sizes="100vw" fetchpriority="high"></picture><div class="image-link-expand"><div class="pencraft pc-display-flex pc-gap-8 pc-reset"><button tabindex="0" type="button" class="pencraft pc-reset pencraft icon-container restack-image"><svg role="img" width="20" height="20" viewBox="0 0 20 20" fill="none" stroke-width="1.5" stroke="var(--color-fg-primary)" stroke-linecap="round" stroke-linejoin="round" xmlns="http://www.w3.org/2000/svg"><g><title></title><path d="M2.53001 7.81595C3.49179 4.73911 6.43281 2.5 9.91173 2.5C13.1684 2.5 15.9537 4.46214 17.0852 7.23684L17.6179 8.67647M17.6179 8.67647L18.5002 4.26471M17.6179 8.67647L13.6473 6.91176M17.4995 12.1841C16.5378 15.2609 13.5967 17.5 10.1178 17.5C6.86118 17.5 4.07589 15.5379 2.94432 12.7632L2.41165 11.3235M2.41165 11.3235L1.5293 15.7353M2.41165 11.3235L6.38224 13.0882"></path></g></svg></button><button tabindex="0" type="button" class="pencraft pc-reset pencraft icon-container view-image"><svg xmlns="http://www.w3.org/2000/svg" width="20" height="20" viewBox="0 0 24 24" fill="none" stroke="currentColor" stroke-width="2" stroke-linecap="round" stroke-linejoin="round" class="lucide lucide-maximize2 lucide-maximize-2"><polyline points="15 3 21 3 21 9"></polyline><polyline points="9 21 3 21 3 15"></polyline><line x1="21" x2="14" y1="3" y2="10"></line><line x1="3" x2="10" y1="21" y2="14"></line></svg></button></div></div></div></a></figure></div><p>&#128218; Browse <strong><a href="https://rohanpaul.substack.com/s/ml-interview-series/archive?sort=new">the full ML Interview series here</a></strong>.</p><h2><strong>Confidence Interval for Model Accuracy: After training a classifier, you find its accuracy on a test set is 80% based on 1000 samples. How could you compute a 95% confidence interval for the true accuracy of the model on the population? *Explain what this confidence interval means and why it might be more informative than just the point estimate of 80%.*</strong></h2><p class="button-wrapper" data-attrs="{&quot;url&quot;:&quot;https://x.com/rohanpaul_ai&quot;,&quot;text&quot;:&quot;Connect with me on X (Twitter)&quot;,&quot;action&quot;:null,&quot;class&quot;:&quot;button-wrapper&quot;}" data-component-name="ButtonCreateButton"><a class="button primary button-wrapper" href="https://x.com/rohanpaul_ai"><span>Connect with me on X (Twitter)</span></a></p><p>Detailed Explanation of Confidence Intervals for Model Accuracy</p><p>Overview of the Core Idea Confidence intervals for classification accuracy (or any other performance metric that can be treated as a proportion) provide a range of plausible values for the true performance of a model on the broader population. In this case, we have 1000 samples in a test set and observe 80% accuracy. This 80% is called a point estimate for the true underlying accuracy. Because of sampling variability and uncertainty about whether the test set is perfectly representative of the broader population, it can be very useful to construct an interval around the point estimate. That interval is typically referred to as a confidence interval in frequentist statistics.</p><p>Understanding the Terminology of "True Accuracy" The term "true accuracy" refers to the performance a model would achieve on the entire population of interest if we had infinite data under exactly the same conditions as those in which we tested. Because we only have a finite sample of 1000 test points, we can only estimate that performance. The confidence interval quantifies the uncertainty around that estimate by providing lower and upper bounds that the true accuracy is likely to fall within, given a specified confidence level, most commonly 95%.</p><p>Confidence Interval Computation (Normal Approximation Approach) One standard way to construct a 95% confidence interval for the accuracy (or any binomial proportion) is to treat accuracy as a proportion of successes (in our example, correct classifications) over the total number of trials (test samples). Let the observed accuracy be denoted as</p><h1>Detailed Explanation of Confidence Intervals for Model Accuracy</h1><p>Overview of the Core Idea Confidence intervals for classification accuracy (or any other performance metric that can be treated as a proportion) provide a range of plausible values for the true performance of a model on the broader population. In this case, we have 1000 samples in a test set and observe 80% accuracy. This 80% is called a point estimate for the true underlying accuracy. Because of sampling variability and uncertainty about whether the test set is perfectly representative of the broader population, it can be very useful to construct an interval around the point estimate. That interval is typically referred to as a confidence interval in frequentist statistics.</p><p>Understanding the Terminology of "True Accuracy" The term "true accuracy" refers to the performance a model would achieve on the entire population of interest if we had infinite data under exactly the same conditions as those in which we tested. Because we only have a finite sample of 1000 test points, we can only estimate that performance. The confidence interval quantifies the uncertainty around that estimate by providing lower and upper bounds that the true accuracy is likely to fall within, given a specified confidence level, most commonly 95%.</p><p>Confidence Interval Computation (Normal Approximation Approach) One standard way to construct a 95% confidence interval for the accuracy (or any binomial proportion) is to treat accuracy as a proportion of successes (in our example, correct classifications) over the total number of trials (test samples). Let the observed accuracy be denoted as</p><div class="captioned-image-container"><figure><a class="image-link image2" target="_blank" href="https://substackcdn.com/image/fetch/$s_!K52O!,f_auto,q_auto:good,fl_progressive:steep/https%3A%2F%2Fsubstack-post-media.s3.amazonaws.com%2Fpublic%2Fimages%2F0dc12a31-2f36-4d42-a3d6-33bdbff3acd3_252x119.png" data-component-name="Image2ToDOM"><div class="image2-inset"><picture><source type="image/webp" srcset="https://substackcdn.com/image/fetch/$s_!K52O!,w_424,c_limit,f_webp,q_auto:good,fl_progressive:steep/https%3A%2F%2Fsubstack-post-media.s3.amazonaws.com%2Fpublic%2Fimages%2F0dc12a31-2f36-4d42-a3d6-33bdbff3acd3_252x119.png 424w, https://substackcdn.com/image/fetch/$s_!K52O!,w_848,c_limit,f_webp,q_auto:good,fl_progressive:steep/https%3A%2F%2Fsubstack-post-media.s3.amazonaws.com%2Fpublic%2Fimages%2F0dc12a31-2f36-4d42-a3d6-33bdbff3acd3_252x119.png 848w, https://substackcdn.com/image/fetch/$s_!K52O!,w_1272,c_limit,f_webp,q_auto:good,fl_progressive:steep/https%3A%2F%2Fsubstack-post-media.s3.amazonaws.com%2Fpublic%2Fimages%2F0dc12a31-2f36-4d42-a3d6-33bdbff3acd3_252x119.png 1272w, https://substackcdn.com/image/fetch/$s_!K52O!,w_1456,c_limit,f_webp,q_auto:good,fl_progressive:steep/https%3A%2F%2Fsubstack-post-media.s3.amazonaws.com%2Fpublic%2Fimages%2F0dc12a31-2f36-4d42-a3d6-33bdbff3acd3_252x119.png 1456w" sizes="100vw"><img src="https://substackcdn.com/image/fetch/$s_!K52O!,w_1456,c_limit,f_auto,q_auto:good,fl_progressive:steep/https%3A%2F%2Fsubstack-post-media.s3.amazonaws.com%2Fpublic%2Fimages%2F0dc12a31-2f36-4d42-a3d6-33bdbff3acd3_252x119.png" width="252" height="119" data-attrs="{&quot;src&quot;:&quot;https://substack-post-media.s3.amazonaws.com/public/images/0dc12a31-2f36-4d42-a3d6-33bdbff3acd3_252x119.png&quot;,&quot;srcNoWatermark&quot;:null,&quot;fullscreen&quot;:null,&quot;imageSize&quot;:null,&quot;height&quot;:119,&quot;width&quot;:252,&quot;resizeWidth&quot;:null,&quot;bytes&quot;:4729,&quot;alt&quot;:null,&quot;title&quot;:null,&quot;type&quot;:&quot;image/png&quot;,&quot;href&quot;:null,&quot;belowTheFold&quot;:true,&quot;topImage&quot;:false,&quot;internalRedirect&quot;:&quot;https://www.rohan-paul.com/i/165855161?img=https%3A%2F%2Fsubstack-post-media.s3.amazonaws.com%2Fpublic%2Fimages%2F0dc12a31-2f36-4d42-a3d6-33bdbff3acd3_252x119.png&quot;,&quot;isProcessing&quot;:false,&quot;align&quot;:null,&quot;offset&quot;:false}" class="sizing-normal" alt="" srcset="https://substackcdn.com/image/fetch/$s_!K52O!,w_424,c_limit,f_auto,q_auto:good,fl_progressive:steep/https%3A%2F%2Fsubstack-post-media.s3.amazonaws.com%2Fpublic%2Fimages%2F0dc12a31-2f36-4d42-a3d6-33bdbff3acd3_252x119.png 424w, https://substackcdn.com/image/fetch/$s_!K52O!,w_848,c_limit,f_auto,q_auto:good,fl_progressive:steep/https%3A%2F%2Fsubstack-post-media.s3.amazonaws.com%2Fpublic%2Fimages%2F0dc12a31-2f36-4d42-a3d6-33bdbff3acd3_252x119.png 848w, https://substackcdn.com/image/fetch/$s_!K52O!,w_1272,c_limit,f_auto,q_auto:good,fl_progressive:steep/https%3A%2F%2Fsubstack-post-media.s3.amazonaws.com%2Fpublic%2Fimages%2F0dc12a31-2f36-4d42-a3d6-33bdbff3acd3_252x119.png 1272w, https://substackcdn.com/image/fetch/$s_!K52O!,w_1456,c_limit,f_auto,q_auto:good,fl_progressive:steep/https%3A%2F%2Fsubstack-post-media.s3.amazonaws.com%2Fpublic%2Fimages%2F0dc12a31-2f36-4d42-a3d6-33bdbff3acd3_252x119.png 1456w" sizes="100vw" loading="lazy"></picture><div></div></div></a></figure></div><p>and the sample size be</p><h1><strong>n=1000.</strong></h1><p>When the sample size is large enough for the normal approximation to be reasonable (often a rough rule of thumb is that both ( n \hat{p} ) and ( n (1 - \hat{p}) ) exceed 5 or 10), we can approximate the distribution of</p><div class="captioned-image-container"><figure><a class="image-link image2" target="_blank" href="https://substackcdn.com/image/fetch/$s_!B9Ks!,f_auto,q_auto:good,fl_progressive:steep/https%3A%2F%2Fsubstack-post-media.s3.amazonaws.com%2Fpublic%2Fimages%2Ffd7d180a-be3b-4787-a01c-55bfcb3bd4e4_138x115.png" data-component-name="Image2ToDOM"><div class="image2-inset"><picture><source type="image/webp" srcset="https://substackcdn.com/image/fetch/$s_!B9Ks!,w_424,c_limit,f_webp,q_auto:good,fl_progressive:steep/https%3A%2F%2Fsubstack-post-media.s3.amazonaws.com%2Fpublic%2Fimages%2Ffd7d180a-be3b-4787-a01c-55bfcb3bd4e4_138x115.png 424w, https://substackcdn.com/image/fetch/$s_!B9Ks!,w_848,c_limit,f_webp,q_auto:good,fl_progressive:steep/https%3A%2F%2Fsubstack-post-media.s3.amazonaws.com%2Fpublic%2Fimages%2Ffd7d180a-be3b-4787-a01c-55bfcb3bd4e4_138x115.png 848w, https://substackcdn.com/image/fetch/$s_!B9Ks!,w_1272,c_limit,f_webp,q_auto:good,fl_progressive:steep/https%3A%2F%2Fsubstack-post-media.s3.amazonaws.com%2Fpublic%2Fimages%2Ffd7d180a-be3b-4787-a01c-55bfcb3bd4e4_138x115.png 1272w, https://substackcdn.com/image/fetch/$s_!B9Ks!,w_1456,c_limit,f_webp,q_auto:good,fl_progressive:steep/https%3A%2F%2Fsubstack-post-media.s3.amazonaws.com%2Fpublic%2Fimages%2Ffd7d180a-be3b-4787-a01c-55bfcb3bd4e4_138x115.png 1456w" sizes="100vw"><img src="https://substackcdn.com/image/fetch/$s_!B9Ks!,w_1456,c_limit,f_auto,q_auto:good,fl_progressive:steep/https%3A%2F%2Fsubstack-post-media.s3.amazonaws.com%2Fpublic%2Fimages%2Ffd7d180a-be3b-4787-a01c-55bfcb3bd4e4_138x115.png" width="138" height="115" data-attrs="{&quot;src&quot;:&quot;https://substack-post-media.s3.amazonaws.com/public/images/fd7d180a-be3b-4787-a01c-55bfcb3bd4e4_138x115.png&quot;,&quot;srcNoWatermark&quot;:null,&quot;fullscreen&quot;:null,&quot;imageSize&quot;:null,&quot;height&quot;:115,&quot;width&quot;:138,&quot;resizeWidth&quot;:null,&quot;bytes&quot;:2066,&quot;alt&quot;:null,&quot;title&quot;:null,&quot;type&quot;:&quot;image/png&quot;,&quot;href&quot;:null,&quot;belowTheFold&quot;:true,&quot;topImage&quot;:false,&quot;internalRedirect&quot;:&quot;https://www.rohan-paul.com/i/165855161?img=https%3A%2F%2Fsubstack-post-media.s3.amazonaws.com%2Fpublic%2Fimages%2Ffd7d180a-be3b-4787-a01c-55bfcb3bd4e4_138x115.png&quot;,&quot;isProcessing&quot;:false,&quot;align&quot;:null,&quot;offset&quot;:false}" class="sizing-normal" alt="" srcset="https://substackcdn.com/image/fetch/$s_!B9Ks!,w_424,c_limit,f_auto,q_auto:good,fl_progressive:steep/https%3A%2F%2Fsubstack-post-media.s3.amazonaws.com%2Fpublic%2Fimages%2Ffd7d180a-be3b-4787-a01c-55bfcb3bd4e4_138x115.png 424w, https://substackcdn.com/image/fetch/$s_!B9Ks!,w_848,c_limit,f_auto,q_auto:good,fl_progressive:steep/https%3A%2F%2Fsubstack-post-media.s3.amazonaws.com%2Fpublic%2Fimages%2Ffd7d180a-be3b-4787-a01c-55bfcb3bd4e4_138x115.png 848w, https://substackcdn.com/image/fetch/$s_!B9Ks!,w_1272,c_limit,f_auto,q_auto:good,fl_progressive:steep/https%3A%2F%2Fsubstack-post-media.s3.amazonaws.com%2Fpublic%2Fimages%2Ffd7d180a-be3b-4787-a01c-55bfcb3bd4e4_138x115.png 1272w, https://substackcdn.com/image/fetch/$s_!B9Ks!,w_1456,c_limit,f_auto,q_auto:good,fl_progressive:steep/https%3A%2F%2Fsubstack-post-media.s3.amazonaws.com%2Fpublic%2Fimages%2Ffd7d180a-be3b-4787-a01c-55bfcb3bd4e4_138x115.png 1456w" sizes="100vw" loading="lazy"></picture><div></div></div></a></figure></div><p>by a normal distribution centered at (\hat{p}) with variance</p><div class="captioned-image-container"><figure><a class="image-link image2" target="_blank" href="https://substackcdn.com/image/fetch/$s_!2EXN!,f_auto,q_auto:good,fl_progressive:steep/https%3A%2F%2Fsubstack-post-media.s3.amazonaws.com%2Fpublic%2Fimages%2F9c4ae3ee-6c72-426f-82e6-391d5cf4e025_265x177.png" data-component-name="Image2ToDOM"><div class="image2-inset"><picture><source type="image/webp" srcset="https://substackcdn.com/image/fetch/$s_!2EXN!,w_424,c_limit,f_webp,q_auto:good,fl_progressive:steep/https%3A%2F%2Fsubstack-post-media.s3.amazonaws.com%2Fpublic%2Fimages%2F9c4ae3ee-6c72-426f-82e6-391d5cf4e025_265x177.png 424w, https://substackcdn.com/image/fetch/$s_!2EXN!,w_848,c_limit,f_webp,q_auto:good,fl_progressive:steep/https%3A%2F%2Fsubstack-post-media.s3.amazonaws.com%2Fpublic%2Fimages%2F9c4ae3ee-6c72-426f-82e6-391d5cf4e025_265x177.png 848w, https://substackcdn.com/image/fetch/$s_!2EXN!,w_1272,c_limit,f_webp,q_auto:good,fl_progressive:steep/https%3A%2F%2Fsubstack-post-media.s3.amazonaws.com%2Fpublic%2Fimages%2F9c4ae3ee-6c72-426f-82e6-391d5cf4e025_265x177.png 1272w, https://substackcdn.com/image/fetch/$s_!2EXN!,w_1456,c_limit,f_webp,q_auto:good,fl_progressive:steep/https%3A%2F%2Fsubstack-post-media.s3.amazonaws.com%2Fpublic%2Fimages%2F9c4ae3ee-6c72-426f-82e6-391d5cf4e025_265x177.png 1456w" sizes="100vw"><img src="https://substackcdn.com/image/fetch/$s_!2EXN!,w_1456,c_limit,f_auto,q_auto:good,fl_progressive:steep/https%3A%2F%2Fsubstack-post-media.s3.amazonaws.com%2Fpublic%2Fimages%2F9c4ae3ee-6c72-426f-82e6-391d5cf4e025_265x177.png" width="265" height="177" data-attrs="{&quot;src&quot;:&quot;https://substack-post-media.s3.amazonaws.com/public/images/9c4ae3ee-6c72-426f-82e6-391d5cf4e025_265x177.png&quot;,&quot;srcNoWatermark&quot;:null,&quot;fullscreen&quot;:null,&quot;imageSize&quot;:null,&quot;height&quot;:177,&quot;width&quot;:265,&quot;resizeWidth&quot;:null,&quot;bytes&quot;:5908,&quot;alt&quot;:null,&quot;title&quot;:null,&quot;type&quot;:&quot;image/png&quot;,&quot;href&quot;:null,&quot;belowTheFold&quot;:true,&quot;topImage&quot;:false,&quot;internalRedirect&quot;:&quot;https://www.rohan-paul.com/i/165855161?img=https%3A%2F%2Fsubstack-post-media.s3.amazonaws.com%2Fpublic%2Fimages%2F9c4ae3ee-6c72-426f-82e6-391d5cf4e025_265x177.png&quot;,&quot;isProcessing&quot;:false,&quot;align&quot;:null,&quot;offset&quot;:false}" class="sizing-normal" alt="" srcset="https://substackcdn.com/image/fetch/$s_!2EXN!,w_424,c_limit,f_auto,q_auto:good,fl_progressive:steep/https%3A%2F%2Fsubstack-post-media.s3.amazonaws.com%2Fpublic%2Fimages%2F9c4ae3ee-6c72-426f-82e6-391d5cf4e025_265x177.png 424w, https://substackcdn.com/image/fetch/$s_!2EXN!,w_848,c_limit,f_auto,q_auto:good,fl_progressive:steep/https%3A%2F%2Fsubstack-post-media.s3.amazonaws.com%2Fpublic%2Fimages%2F9c4ae3ee-6c72-426f-82e6-391d5cf4e025_265x177.png 848w, https://substackcdn.com/image/fetch/$s_!2EXN!,w_1272,c_limit,f_auto,q_auto:good,fl_progressive:steep/https%3A%2F%2Fsubstack-post-media.s3.amazonaws.com%2Fpublic%2Fimages%2F9c4ae3ee-6c72-426f-82e6-391d5cf4e025_265x177.png 1272w, https://substackcdn.com/image/fetch/$s_!2EXN!,w_1456,c_limit,f_auto,q_auto:good,fl_progressive:steep/https%3A%2F%2Fsubstack-post-media.s3.amazonaws.com%2Fpublic%2Fimages%2F9c4ae3ee-6c72-426f-82e6-391d5cf4e025_265x177.png 1456w" sizes="100vw" loading="lazy"></picture><div></div></div></a></figure></div><p>At a confidence level of 95%, the critical value from the standard normal distribution is often denoted as</p><div class="captioned-image-container"><figure><a class="image-link image2" target="_blank" href="https://substackcdn.com/image/fetch/$s_!3IIS!,f_auto,q_auto:good,fl_progressive:steep/https%3A%2F%2Fsubstack-post-media.s3.amazonaws.com%2Fpublic%2Fimages%2F590e2bc2-8158-4ab8-817c-d1f7e1905e68_564x97.png" data-component-name="Image2ToDOM"><div class="image2-inset"><picture><source type="image/webp" srcset="https://substackcdn.com/image/fetch/$s_!3IIS!,w_424,c_limit,f_webp,q_auto:good,fl_progressive:steep/https%3A%2F%2Fsubstack-post-media.s3.amazonaws.com%2Fpublic%2Fimages%2F590e2bc2-8158-4ab8-817c-d1f7e1905e68_564x97.png 424w, https://substackcdn.com/image/fetch/$s_!3IIS!,w_848,c_limit,f_webp,q_auto:good,fl_progressive:steep/https%3A%2F%2Fsubstack-post-media.s3.amazonaws.com%2Fpublic%2Fimages%2F590e2bc2-8158-4ab8-817c-d1f7e1905e68_564x97.png 848w, https://substackcdn.com/image/fetch/$s_!3IIS!,w_1272,c_limit,f_webp,q_auto:good,fl_progressive:steep/https%3A%2F%2Fsubstack-post-media.s3.amazonaws.com%2Fpublic%2Fimages%2F590e2bc2-8158-4ab8-817c-d1f7e1905e68_564x97.png 1272w, https://substackcdn.com/image/fetch/$s_!3IIS!,w_1456,c_limit,f_webp,q_auto:good,fl_progressive:steep/https%3A%2F%2Fsubstack-post-media.s3.amazonaws.com%2Fpublic%2Fimages%2F590e2bc2-8158-4ab8-817c-d1f7e1905e68_564x97.png 1456w" sizes="100vw"><img src="https://substackcdn.com/image/fetch/$s_!3IIS!,w_1456,c_limit,f_auto,q_auto:good,fl_progressive:steep/https%3A%2F%2Fsubstack-post-media.s3.amazonaws.com%2Fpublic%2Fimages%2F590e2bc2-8158-4ab8-817c-d1f7e1905e68_564x97.png" width="564" height="97" data-attrs="{&quot;src&quot;:&quot;https://substack-post-media.s3.amazonaws.com/public/images/590e2bc2-8158-4ab8-817c-d1f7e1905e68_564x97.png&quot;,&quot;srcNoWatermark&quot;:null,&quot;fullscreen&quot;:null,&quot;imageSize&quot;:null,&quot;height&quot;:97,&quot;width&quot;:564,&quot;resizeWidth&quot;:null,&quot;bytes&quot;:10548,&quot;alt&quot;:null,&quot;title&quot;:null,&quot;type&quot;:&quot;image/png&quot;,&quot;href&quot;:null,&quot;belowTheFold&quot;:true,&quot;topImage&quot;:false,&quot;internalRedirect&quot;:&quot;https://www.rohan-paul.com/i/165855161?img=https%3A%2F%2Fsubstack-post-media.s3.amazonaws.com%2Fpublic%2Fimages%2F590e2bc2-8158-4ab8-817c-d1f7e1905e68_564x97.png&quot;,&quot;isProcessing&quot;:false,&quot;align&quot;:null,&quot;offset&quot;:false}" class="sizing-normal" alt="" srcset="https://substackcdn.com/image/fetch/$s_!3IIS!,w_424,c_limit,f_auto,q_auto:good,fl_progressive:steep/https%3A%2F%2Fsubstack-post-media.s3.amazonaws.com%2Fpublic%2Fimages%2F590e2bc2-8158-4ab8-817c-d1f7e1905e68_564x97.png 424w, https://substackcdn.com/image/fetch/$s_!3IIS!,w_848,c_limit,f_auto,q_auto:good,fl_progressive:steep/https%3A%2F%2Fsubstack-post-media.s3.amazonaws.com%2Fpublic%2Fimages%2F590e2bc2-8158-4ab8-817c-d1f7e1905e68_564x97.png 848w, https://substackcdn.com/image/fetch/$s_!3IIS!,w_1272,c_limit,f_auto,q_auto:good,fl_progressive:steep/https%3A%2F%2Fsubstack-post-media.s3.amazonaws.com%2Fpublic%2Fimages%2F590e2bc2-8158-4ab8-817c-d1f7e1905e68_564x97.png 1272w, https://substackcdn.com/image/fetch/$s_!3IIS!,w_1456,c_limit,f_auto,q_auto:good,fl_progressive:steep/https%3A%2F%2Fsubstack-post-media.s3.amazonaws.com%2Fpublic%2Fimages%2F590e2bc2-8158-4ab8-817c-d1f7e1905e68_564x97.png 1456w" sizes="100vw" loading="lazy"></picture><div></div></div></a></figure></div><p>where (\alpha = 1 - 0.95 = 0.05). Hence, a typical 95% confidence interval for the proportion is</p><div class="captioned-image-container"><figure><a class="image-link image2" target="_blank" href="https://substackcdn.com/image/fetch/$s_!0u81!,f_auto,q_auto:good,fl_progressive:steep/https%3A%2F%2Fsubstack-post-media.s3.amazonaws.com%2Fpublic%2Fimages%2F500c6e09-c5cd-4f5c-a090-08a65f7199fd_518x216.png" data-component-name="Image2ToDOM"><div class="image2-inset"><picture><source type="image/webp" srcset="https://substackcdn.com/image/fetch/$s_!0u81!,w_424,c_limit,f_webp,q_auto:good,fl_progressive:steep/https%3A%2F%2Fsubstack-post-media.s3.amazonaws.com%2Fpublic%2Fimages%2F500c6e09-c5cd-4f5c-a090-08a65f7199fd_518x216.png 424w, https://substackcdn.com/image/fetch/$s_!0u81!,w_848,c_limit,f_webp,q_auto:good,fl_progressive:steep/https%3A%2F%2Fsubstack-post-media.s3.amazonaws.com%2Fpublic%2Fimages%2F500c6e09-c5cd-4f5c-a090-08a65f7199fd_518x216.png 848w, https://substackcdn.com/image/fetch/$s_!0u81!,w_1272,c_limit,f_webp,q_auto:good,fl_progressive:steep/https%3A%2F%2Fsubstack-post-media.s3.amazonaws.com%2Fpublic%2Fimages%2F500c6e09-c5cd-4f5c-a090-08a65f7199fd_518x216.png 1272w, https://substackcdn.com/image/fetch/$s_!0u81!,w_1456,c_limit,f_webp,q_auto:good,fl_progressive:steep/https%3A%2F%2Fsubstack-post-media.s3.amazonaws.com%2Fpublic%2Fimages%2F500c6e09-c5cd-4f5c-a090-08a65f7199fd_518x216.png 1456w" sizes="100vw"><img src="https://substackcdn.com/image/fetch/$s_!0u81!,w_1456,c_limit,f_auto,q_auto:good,fl_progressive:steep/https%3A%2F%2Fsubstack-post-media.s3.amazonaws.com%2Fpublic%2Fimages%2F500c6e09-c5cd-4f5c-a090-08a65f7199fd_518x216.png" width="518" height="216" data-attrs="{&quot;src&quot;:&quot;https://substack-post-media.s3.amazonaws.com/public/images/500c6e09-c5cd-4f5c-a090-08a65f7199fd_518x216.png&quot;,&quot;srcNoWatermark&quot;:null,&quot;fullscreen&quot;:null,&quot;imageSize&quot;:null,&quot;height&quot;:216,&quot;width&quot;:518,&quot;resizeWidth&quot;:null,&quot;bytes&quot;:13314,&quot;alt&quot;:null,&quot;title&quot;:null,&quot;type&quot;:&quot;image/png&quot;,&quot;href&quot;:null,&quot;belowTheFold&quot;:true,&quot;topImage&quot;:false,&quot;internalRedirect&quot;:&quot;https://www.rohan-paul.com/i/165855161?img=https%3A%2F%2Fsubstack-post-media.s3.amazonaws.com%2Fpublic%2Fimages%2F500c6e09-c5cd-4f5c-a090-08a65f7199fd_518x216.png&quot;,&quot;isProcessing&quot;:false,&quot;align&quot;:null,&quot;offset&quot;:false}" class="sizing-normal" alt="" srcset="https://substackcdn.com/image/fetch/$s_!0u81!,w_424,c_limit,f_auto,q_auto:good,fl_progressive:steep/https%3A%2F%2Fsubstack-post-media.s3.amazonaws.com%2Fpublic%2Fimages%2F500c6e09-c5cd-4f5c-a090-08a65f7199fd_518x216.png 424w, https://substackcdn.com/image/fetch/$s_!0u81!,w_848,c_limit,f_auto,q_auto:good,fl_progressive:steep/https%3A%2F%2Fsubstack-post-media.s3.amazonaws.com%2Fpublic%2Fimages%2F500c6e09-c5cd-4f5c-a090-08a65f7199fd_518x216.png 848w, https://substackcdn.com/image/fetch/$s_!0u81!,w_1272,c_limit,f_auto,q_auto:good,fl_progressive:steep/https%3A%2F%2Fsubstack-post-media.s3.amazonaws.com%2Fpublic%2Fimages%2F500c6e09-c5cd-4f5c-a090-08a65f7199fd_518x216.png 1272w, https://substackcdn.com/image/fetch/$s_!0u81!,w_1456,c_limit,f_auto,q_auto:good,fl_progressive:steep/https%3A%2F%2Fsubstack-post-media.s3.amazonaws.com%2Fpublic%2Fimages%2F500c6e09-c5cd-4f5c-a090-08a65f7199fd_518x216.png 1456w" sizes="100vw" loading="lazy"></picture><div></div></div></a></figure></div><p>Substituting (\hat{p} = 0.8) and (n = 1000) into the formula:</p><div class="captioned-image-container"><figure><a class="image-link image2" target="_blank" href="https://substackcdn.com/image/fetch/$s_!NpZT!,f_auto,q_auto:good,fl_progressive:steep/https%3A%2F%2Fsubstack-post-media.s3.amazonaws.com%2Fpublic%2Fimages%2F9f5d17df-973c-420d-97c6-8681f878bf50_789x139.png" data-component-name="Image2ToDOM"><div class="image2-inset"><picture><source type="image/webp" srcset="https://substackcdn.com/image/fetch/$s_!NpZT!,w_424,c_limit,f_webp,q_auto:good,fl_progressive:steep/https%3A%2F%2Fsubstack-post-media.s3.amazonaws.com%2Fpublic%2Fimages%2F9f5d17df-973c-420d-97c6-8681f878bf50_789x139.png 424w, https://substackcdn.com/image/fetch/$s_!NpZT!,w_848,c_limit,f_webp,q_auto:good,fl_progressive:steep/https%3A%2F%2Fsubstack-post-media.s3.amazonaws.com%2Fpublic%2Fimages%2F9f5d17df-973c-420d-97c6-8681f878bf50_789x139.png 848w, https://substackcdn.com/image/fetch/$s_!NpZT!,w_1272,c_limit,f_webp,q_auto:good,fl_progressive:steep/https%3A%2F%2Fsubstack-post-media.s3.amazonaws.com%2Fpublic%2Fimages%2F9f5d17df-973c-420d-97c6-8681f878bf50_789x139.png 1272w, https://substackcdn.com/image/fetch/$s_!NpZT!,w_1456,c_limit,f_webp,q_auto:good,fl_progressive:steep/https%3A%2F%2Fsubstack-post-media.s3.amazonaws.com%2Fpublic%2Fimages%2F9f5d17df-973c-420d-97c6-8681f878bf50_789x139.png 1456w" sizes="100vw"><img src="https://substackcdn.com/image/fetch/$s_!NpZT!,w_1456,c_limit,f_auto,q_auto:good,fl_progressive:steep/https%3A%2F%2Fsubstack-post-media.s3.amazonaws.com%2Fpublic%2Fimages%2F9f5d17df-973c-420d-97c6-8681f878bf50_789x139.png" width="789" height="139" data-attrs="{&quot;src&quot;:&quot;https://substack-post-media.s3.amazonaws.com/public/images/9f5d17df-973c-420d-97c6-8681f878bf50_789x139.png&quot;,&quot;srcNoWatermark&quot;:null,&quot;fullscreen&quot;:null,&quot;imageSize&quot;:null,&quot;height&quot;:139,&quot;width&quot;:789,&quot;resizeWidth&quot;:null,&quot;bytes&quot;:12087,&quot;alt&quot;:null,&quot;title&quot;:null,&quot;type&quot;:&quot;image/png&quot;,&quot;href&quot;:null,&quot;belowTheFold&quot;:true,&quot;topImage&quot;:false,&quot;internalRedirect&quot;:&quot;https://www.rohan-paul.com/i/165855161?img=https%3A%2F%2Fsubstack-post-media.s3.amazonaws.com%2Fpublic%2Fimages%2F9f5d17df-973c-420d-97c6-8681f878bf50_789x139.png&quot;,&quot;isProcessing&quot;:false,&quot;align&quot;:null,&quot;offset&quot;:false}" class="sizing-normal" alt="" srcset="https://substackcdn.com/image/fetch/$s_!NpZT!,w_424,c_limit,f_auto,q_auto:good,fl_progressive:steep/https%3A%2F%2Fsubstack-post-media.s3.amazonaws.com%2Fpublic%2Fimages%2F9f5d17df-973c-420d-97c6-8681f878bf50_789x139.png 424w, https://substackcdn.com/image/fetch/$s_!NpZT!,w_848,c_limit,f_auto,q_auto:good,fl_progressive:steep/https%3A%2F%2Fsubstack-post-media.s3.amazonaws.com%2Fpublic%2Fimages%2F9f5d17df-973c-420d-97c6-8681f878bf50_789x139.png 848w, https://substackcdn.com/image/fetch/$s_!NpZT!,w_1272,c_limit,f_auto,q_auto:good,fl_progressive:steep/https%3A%2F%2Fsubstack-post-media.s3.amazonaws.com%2Fpublic%2Fimages%2F9f5d17df-973c-420d-97c6-8681f878bf50_789x139.png 1272w, https://substackcdn.com/image/fetch/$s_!NpZT!,w_1456,c_limit,f_auto,q_auto:good,fl_progressive:steep/https%3A%2F%2Fsubstack-post-media.s3.amazonaws.com%2Fpublic%2Fimages%2F9f5d17df-973c-420d-97c6-8681f878bf50_789x139.png 1456w" sizes="100vw" loading="lazy"></picture><div></div></div></a></figure></div><p>The standard error is</p><div class="captioned-image-container"><figure><a class="image-link image2" target="_blank" href="https://substackcdn.com/image/fetch/$s_!mKNQ!,f_auto,q_auto:good,fl_progressive:steep/https%3A%2F%2Fsubstack-post-media.s3.amazonaws.com%2Fpublic%2Fimages%2Fe68e5d64-16d7-4712-a936-0e0a0bf33c03_1058x218.png" data-component-name="Image2ToDOM"><div class="image2-inset"><picture><source type="image/webp" srcset="https://substackcdn.com/image/fetch/$s_!mKNQ!,w_424,c_limit,f_webp,q_auto:good,fl_progressive:steep/https%3A%2F%2Fsubstack-post-media.s3.amazonaws.com%2Fpublic%2Fimages%2Fe68e5d64-16d7-4712-a936-0e0a0bf33c03_1058x218.png 424w, https://substackcdn.com/image/fetch/$s_!mKNQ!,w_848,c_limit,f_webp,q_auto:good,fl_progressive:steep/https%3A%2F%2Fsubstack-post-media.s3.amazonaws.com%2Fpublic%2Fimages%2Fe68e5d64-16d7-4712-a936-0e0a0bf33c03_1058x218.png 848w, https://substackcdn.com/image/fetch/$s_!mKNQ!,w_1272,c_limit,f_webp,q_auto:good,fl_progressive:steep/https%3A%2F%2Fsubstack-post-media.s3.amazonaws.com%2Fpublic%2Fimages%2Fe68e5d64-16d7-4712-a936-0e0a0bf33c03_1058x218.png 1272w, https://substackcdn.com/image/fetch/$s_!mKNQ!,w_1456,c_limit,f_webp,q_auto:good,fl_progressive:steep/https%3A%2F%2Fsubstack-post-media.s3.amazonaws.com%2Fpublic%2Fimages%2Fe68e5d64-16d7-4712-a936-0e0a0bf33c03_1058x218.png 1456w" sizes="100vw"><img src="https://substackcdn.com/image/fetch/$s_!mKNQ!,w_1456,c_limit,f_auto,q_auto:good,fl_progressive:steep/https%3A%2F%2Fsubstack-post-media.s3.amazonaws.com%2Fpublic%2Fimages%2Fe68e5d64-16d7-4712-a936-0e0a0bf33c03_1058x218.png" width="1058" height="218" data-attrs="{&quot;src&quot;:&quot;https://substack-post-media.s3.amazonaws.com/public/images/e68e5d64-16d7-4712-a936-0e0a0bf33c03_1058x218.png&quot;,&quot;srcNoWatermark&quot;:null,&quot;fullscreen&quot;:null,&quot;imageSize&quot;:null,&quot;height&quot;:218,&quot;width&quot;:1058,&quot;resizeWidth&quot;:null,&quot;bytes&quot;:22745,&quot;alt&quot;:null,&quot;title&quot;:null,&quot;type&quot;:&quot;image/png&quot;,&quot;href&quot;:null,&quot;belowTheFold&quot;:true,&quot;topImage&quot;:false,&quot;internalRedirect&quot;:&quot;https://www.rohan-paul.com/i/165855161?img=https%3A%2F%2Fsubstack-post-media.s3.amazonaws.com%2Fpublic%2Fimages%2Fe68e5d64-16d7-4712-a936-0e0a0bf33c03_1058x218.png&quot;,&quot;isProcessing&quot;:false,&quot;align&quot;:null,&quot;offset&quot;:false}" class="sizing-normal" alt="" srcset="https://substackcdn.com/image/fetch/$s_!mKNQ!,w_424,c_limit,f_auto,q_auto:good,fl_progressive:steep/https%3A%2F%2Fsubstack-post-media.s3.amazonaws.com%2Fpublic%2Fimages%2Fe68e5d64-16d7-4712-a936-0e0a0bf33c03_1058x218.png 424w, https://substackcdn.com/image/fetch/$s_!mKNQ!,w_848,c_limit,f_auto,q_auto:good,fl_progressive:steep/https%3A%2F%2Fsubstack-post-media.s3.amazonaws.com%2Fpublic%2Fimages%2Fe68e5d64-16d7-4712-a936-0e0a0bf33c03_1058x218.png 848w, https://substackcdn.com/image/fetch/$s_!mKNQ!,w_1272,c_limit,f_auto,q_auto:good,fl_progressive:steep/https%3A%2F%2Fsubstack-post-media.s3.amazonaws.com%2Fpublic%2Fimages%2Fe68e5d64-16d7-4712-a936-0e0a0bf33c03_1058x218.png 1272w, https://substackcdn.com/image/fetch/$s_!mKNQ!,w_1456,c_limit,f_auto,q_auto:good,fl_progressive:steep/https%3A%2F%2Fsubstack-post-media.s3.amazonaws.com%2Fpublic%2Fimages%2Fe68e5d64-16d7-4712-a936-0e0a0bf33c03_1058x218.png 1456w" sizes="100vw" loading="lazy"></picture><div></div></div></a></figure></div><p>Hence the margin of error (the half-width of the interval) is approximately</p><div class="captioned-image-container"><figure><a class="image-link image2" target="_blank" href="https://substackcdn.com/image/fetch/$s_!K2tB!,f_auto,q_auto:good,fl_progressive:steep/https%3A%2F%2Fsubstack-post-media.s3.amazonaws.com%2Fpublic%2Fimages%2F8d26d77c-5e88-481c-b13d-3b7548993a0a_683x119.png" data-component-name="Image2ToDOM"><div class="image2-inset"><picture><source type="image/webp" srcset="https://substackcdn.com/image/fetch/$s_!K2tB!,w_424,c_limit,f_webp,q_auto:good,fl_progressive:steep/https%3A%2F%2Fsubstack-post-media.s3.amazonaws.com%2Fpublic%2Fimages%2F8d26d77c-5e88-481c-b13d-3b7548993a0a_683x119.png 424w, https://substackcdn.com/image/fetch/$s_!K2tB!,w_848,c_limit,f_webp,q_auto:good,fl_progressive:steep/https%3A%2F%2Fsubstack-post-media.s3.amazonaws.com%2Fpublic%2Fimages%2F8d26d77c-5e88-481c-b13d-3b7548993a0a_683x119.png 848w, https://substackcdn.com/image/fetch/$s_!K2tB!,w_1272,c_limit,f_webp,q_auto:good,fl_progressive:steep/https%3A%2F%2Fsubstack-post-media.s3.amazonaws.com%2Fpublic%2Fimages%2F8d26d77c-5e88-481c-b13d-3b7548993a0a_683x119.png 1272w, https://substackcdn.com/image/fetch/$s_!K2tB!,w_1456,c_limit,f_webp,q_auto:good,fl_progressive:steep/https%3A%2F%2Fsubstack-post-media.s3.amazonaws.com%2Fpublic%2Fimages%2F8d26d77c-5e88-481c-b13d-3b7548993a0a_683x119.png 1456w" sizes="100vw"><img src="https://substackcdn.com/image/fetch/$s_!K2tB!,w_1456,c_limit,f_auto,q_auto:good,fl_progressive:steep/https%3A%2F%2Fsubstack-post-media.s3.amazonaws.com%2Fpublic%2Fimages%2F8d26d77c-5e88-481c-b13d-3b7548993a0a_683x119.png" width="683" height="119" data-attrs="{&quot;src&quot;:&quot;https://substack-post-media.s3.amazonaws.com/public/images/8d26d77c-5e88-481c-b13d-3b7548993a0a_683x119.png&quot;,&quot;srcNoWatermark&quot;:null,&quot;fullscreen&quot;:null,&quot;imageSize&quot;:null,&quot;height&quot;:119,&quot;width&quot;:683,&quot;resizeWidth&quot;:null,&quot;bytes&quot;:13630,&quot;alt&quot;:null,&quot;title&quot;:null,&quot;type&quot;:&quot;image/png&quot;,&quot;href&quot;:null,&quot;belowTheFold&quot;:true,&quot;topImage&quot;:false,&quot;internalRedirect&quot;:&quot;https://www.rohan-paul.com/i/165855161?img=https%3A%2F%2Fsubstack-post-media.s3.amazonaws.com%2Fpublic%2Fimages%2F8d26d77c-5e88-481c-b13d-3b7548993a0a_683x119.png&quot;,&quot;isProcessing&quot;:false,&quot;align&quot;:null,&quot;offset&quot;:false}" class="sizing-normal" alt="" srcset="https://substackcdn.com/image/fetch/$s_!K2tB!,w_424,c_limit,f_auto,q_auto:good,fl_progressive:steep/https%3A%2F%2Fsubstack-post-media.s3.amazonaws.com%2Fpublic%2Fimages%2F8d26d77c-5e88-481c-b13d-3b7548993a0a_683x119.png 424w, https://substackcdn.com/image/fetch/$s_!K2tB!,w_848,c_limit,f_auto,q_auto:good,fl_progressive:steep/https%3A%2F%2Fsubstack-post-media.s3.amazonaws.com%2Fpublic%2Fimages%2F8d26d77c-5e88-481c-b13d-3b7548993a0a_683x119.png 848w, https://substackcdn.com/image/fetch/$s_!K2tB!,w_1272,c_limit,f_auto,q_auto:good,fl_progressive:steep/https%3A%2F%2Fsubstack-post-media.s3.amazonaws.com%2Fpublic%2Fimages%2F8d26d77c-5e88-481c-b13d-3b7548993a0a_683x119.png 1272w, https://substackcdn.com/image/fetch/$s_!K2tB!,w_1456,c_limit,f_auto,q_auto:good,fl_progressive:steep/https%3A%2F%2Fsubstack-post-media.s3.amazonaws.com%2Fpublic%2Fimages%2F8d26d77c-5e88-481c-b13d-3b7548993a0a_683x119.png 1456w" sizes="100vw" loading="lazy"></picture><div></div></div></a></figure></div><p>Therefore, the 95% confidence interval is approximately</p><h1><strong>0.8&#177;0.02478,</strong></h1><p>which translates to roughly [0.7752, 0.8248], or about [77.52%, 82.48%].</p><p>Illustration in Python</p><pre><code><code>import math

p_hat = 0.8
n = 1000
z = 1.96  # Approx for 95% confidence
standard_error = math.sqrt((p_hat * (1 - p_hat)) / n)
margin_of_error = z * standard_error
lower_bound = p_hat - margin_of_error
upper_bound = p_hat + margin_of_error

print(f"95% Confidence Interval: [{lower_bound:.4f}, {upper_bound:.4f}]")
</code></code></pre><p>Alternative Methods (Exact and Bootstrap) There are alternative approaches for constructing confidence intervals for a proportion or accuracy measure. One popular choice is the Clopper-Pearson interval, which is considered an exact method based on the Binomial distribution rather than relying on the normal approximation. Another approach is the Wilson interval, which often yields more accurate coverage for proportions close to 0 or 1. A practical, empirical approach involves bootstrapping by resampling (with replacement) from the original set of predictions and computing accuracies for many resampled datasets. Each approach has its own set of advantages and limitations. In practice, when (n) is large and (\hat{p}) is not too close to 0 or 1, the simpler normal approximation interval is often acceptable.</p><p>Interpretation of This Confidence Interval If someone repeats the entire process of data collection and computing an accuracy estimate (under the same conditions) many times, 95% of those calculated confidence intervals (constructed in the exact same way) would contain the true underlying accuracy. It is not correct to say that the probability is 95% that the true accuracy lies in any given interval&#8212;this is a subtle but important distinction in frequentist statistics. Nevertheless, it still provides a practical sense of how stable or variable that 80% figure is likely to be, under repeated sampling.</p><p>Why It Is More Informative Than Just a Point Estimate A single number like 80% doesn't capture the range of plausible values for how well the model might perform more generally. That single figure can be misleading if the test set was small or if it had particular characteristics that deviate from the broader distribution of real-world scenarios. The confidence interval offers additional context. If the interval is wide, it indicates that one should be less certain about the precision of the model's performance estimate. If the interval is very narrow, it suggests that the performance is measured with high precision given the test set size. This contextual information is critical for decision-making processes, particularly when business or safety concerns demand an understanding of how reliable or variable the model's performance could be.</p><p>Potential Pitfalls One subtle pitfall is that this interval addresses random variation in sampling the test set only. If the model or data generation mechanism changes over time, or if the data distribution in real-world deployment differs substantially from what was used to produce the test set, this confidence interval might not reflect the actual real-world performance. Another potential pitfall is misunderstanding the interval's meaning by concluding that there is a 95% probability that the true accuracy is in that interval. The frequentist interpretation is slightly different: the procedure of constructing intervals at the 95% level will capture the true parameter 95% of the time, but it is not strictly about the probability that any specific computed interval contains the true value.</p><p>Examples of When This Matters in Practice It can be critically important in scenarios where high-stakes decisions are based on model predictions. For example, in medical diagnosis, if a model is said to be 80% accurate, decision makers should also know that it could be slightly lower or higher depending on how the sample was drawn. The confidence interval might show it is plausible that accuracy is below the 78% mark or above 82%, which might influence policies, resource allocation, or further validation efforts.</p><p>Practical Implementation Advice When computing confidence intervals for accuracy or any other performance measure, always ensure that the sample size is large enough and that the distribution of classes in the test set reflects the real-world distribution. If your class distribution is different from real-world prevalence, your accuracy might not generalize. In such cases, consider approaches like stratified sampling or evaluating performance metrics more robust to class imbalance (precision, recall, F1-score). The confidence interval approach can be similarly applied to other metrics, but additional care is required if the distribution of the metric is not binomial (for instance, for continuous-valued metrics like mean squared error, we need different frameworks).</p><div class="subscription-widget-wrap-editor" data-attrs="{&quot;url&quot;:&quot;https://www.rohan-paul.com/subscribe?&quot;,&quot;text&quot;:&quot;Subscribe&quot;,&quot;language&quot;:&quot;en&quot;}" data-component-name="SubscribeWidgetToDOM"><div class="subscription-widget show-subscribe"><div class="preamble"><p class="cta-caption">I write everyday for my readers on actionable AI. Subscribe and instantly get a 1300+ page Python book.</p></div><form class="subscription-widget-subscribe"><input type="email" class="email-input" name="email" placeholder="Type your email&#8230;" tabindex="-1"><input type="submit" class="button primary" value="Subscribe"><div class="fake-input-wrapper"><div class="fake-input"></div><div class="fake-button"></div></div></form></div></div><h2><strong>How could we interpret the lower and upper bounds in practical terms?</strong></h2><p>If the lower bound is approximately 77.5% and the upper bound is approximately 82.5%, it suggests that, based on our sample of 1000, we are fairly confident that the true accuracy of the model in the broader population would not be less than 77.5% and not more than 82.5% (in the frequentist sense). If the interval is too wide for practical purposes, that might prompt seeking more data or refining the model.</p><h2><strong>In what situations would we need to use an exact interval instead of a normal approximation?</strong></h2><p>When ( n \hat{p} ) or ( n (1 - \hat{p}) ) is small, the normal approximation can be quite poor. Also, if the accuracy is extremely high or extremely low (close to 1 or 0), the actual distribution of the estimator can deviate significantly from the normal approximation. In such cases, the Clopper-Pearson interval or the Wilson interval often provides more accurate coverage. The normal approximation can give intervals that might go below 0% or above 100% in extreme cases, which is nonsensical for an accuracy measure. Exact intervals avoid that potential issue.</p><h2><strong>How does bootstrapping compare to the normal approximation?</strong></h2><p>Bootstrapping involves drawing repeated samples (with replacement) from the original test set predictions. Each resampled dataset has the same size (n), and we compute the accuracy for each resample. By taking percentiles (often the 2.5th and 97.5th percentiles) of the bootstrapped accuracies, we can approximate a 95% confidence interval. This method makes fewer theoretical assumptions (it relies on the distribution of data in the original sample) and can be more robust when distributional assumptions are questionable. However, if the original sample is not sufficiently representative, the bootstrap can replicate biases present in the original data.</p><h2><strong>Could you discuss how sample size influences the width of the confidence interval?</strong></h2><p>The formula shows that the standard error scales with ( \frac{1}{\sqrt{n}} ). That means that as (n) increases, the confidence interval tends to shrink. Hence, to achieve a narrower confidence interval (for a given confidence level), one can increase the number of test samples. For example, if you used only 100 samples with 80% accuracy, the confidence interval would be much wider, reflecting the higher uncertainty. In real-world scenarios, data collection might be expensive or slow, so there is always a balance between the cost of more data and the desired precision for your performance estimates.</p><h2><strong>Follow-up Questions and Deep-Dive Explanations</strong></h2><h2><strong>Can you explain the difference between confidence intervals and credible intervals in more detail?</strong></h2><p>Confidence intervals (CI) come from the frequentist school of statistics, where parameters are treated as fixed but unknown quantities, and the variability is due to the randomness in the sampled data. A 95% confidence interval is constructed by a procedure that, if repeated infinitely many times, would capture the true parameter 95% of the time. It is not strictly correct to say &#8220;there is a 95% probability the true value lies in this interval,&#8221; because in frequentist terms, the true parameter is fixed and does not have a probability distribution.</p><p>Credible intervals (CrI), on the other hand, come from the Bayesian school of statistics, which treats parameters as random variables with a prior distribution. After observing data, one obtains a posterior distribution over those parameters. A 95% credible interval is any interval in the posterior distribution that contains 95% of the posterior probability mass. It can be interpreted as &#8220;there is a 95% probability that the true parameter lies in this interval,&#8221; which is conceptually different from how confidence intervals are interpreted.</p><p>For a machine learning practitioner, the essential distinction is that credible intervals allow for a probabilistic statement about the parameter itself, whereas confidence intervals describe the long-run behavior of the interval construction procedure. In practical model evaluation, both intervals aim to express uncertainty about an estimate, but the philosophical underpinnings and interpretations differ. Some modern workflows use Bayesian methods to produce credible intervals for model accuracy, especially when interpretability of probability statements about parameters is crucial.</p><h2><strong>If the distribution of data changes over time, how does that affect the reliability of a confidence interval computed from older data?</strong></h2><p>If the distribution changes due to concept drift or shifts in how data is collected, the test data from the past may no longer be representative of the new conditions. A confidence interval computed from older data assumes that the distribution from which the test data was drawn remains stable. When the distribution changes, the &#8220;true accuracy&#8221; with respect to the old distribution may not match the model&#8217;s real-world performance on the new distribution.</p><p>In these scenarios, relying on an older confidence interval can lead to overconfidence or underconfidence. If the model remains the same, but the data shift significantly, you might find that your point estimate of accuracy changes, and the historical confidence interval no longer accurately reflects uncertainty about the new accuracy. One practical approach is continuous monitoring of the model&#8217;s performance on recent data and recalculating or updating confidence intervals accordingly. Another approach is using domain adaptation techniques or re-training the model when distribution shifts occur. The main point is that a confidence interval&#8217;s validity depends on the assumption that the data generating process remains consistent. If it does not, re-computation is essential.</p><h2><strong>Could you discuss the Wilson interval in more detail and how it differs from the standard normal approximation?</strong></h2><p>The Wilson interval is an alternative to the standard normal approximation for constructing confidence intervals of a binomial proportion. It is often given by a formula that avoids some of the less desirable properties of the naive normal approximation. The normal approximation can yield intervals that go below 0 or above 1, especially when (\hat{p}) is near 0 or 1 or (n) is not large. The Wilson interval typically remains within [0, 1] and can produce more accurate coverage probabilities even for moderately sized samples.</p><p>In practice, the Wilson interval for a proportion can be written in a form that, instead of centering around (\hat{p}), centers around a slightly adjusted value. It also adjusts the standard error in such a way that leads to intervals that are more stable. The formula for the Wilson interval can be found in many references, and it often yields good coverage properties regardless of whether ( n\hat{p} ) and ( n(1-\hat{p}) ) are large enough. Many statistical software libraries (for example, statsmodels in Python) provide a direct function to compute the Wilson interval. In many real-world analyses, especially when the sample size is not extremely large, the Wilson interval is considered a better default choice than the simple normal approximation.</p><p>The difference between them is mostly in how the interval is derived. The Wilson approach re-centers and re-scales the proportion in a manner that better matches the true binomial distribution. In contrast, the naive approach tries to approximate the binomial distribution with a normal distribution that might not accurately reflect small sample sizes or extreme proportions.</p><p>When deciding which interval to use, many statisticians recommend the Wilson interval or a related approach such as the Agresti-Coull interval over the plain normal approximation. But for large ( n) and not-too-extreme values of (\hat{p}), they will be very similar to one another in practice.</p><div><hr></div><h2><strong>Below are additional follow-up questions</strong></h2><h2><strong>How would you handle constructing confidence intervals for accuracy in a multi-class classification setting?</strong></h2><p>When dealing with multi-class classification, accuracy is still the ratio of correctly classified samples to the total number of samples, but there are multiple classes rather than just two. The simplest extension of the binomial-based confidence interval for accuracy in a multi-class problem treats each prediction as either correct or incorrect, effectively reducing the outcome to a binary event of "correct vs. incorrect." Once you do this reduction, you have a proportion of correct classifications (still (\hat{p} = \frac{\text{number of correct predictions}}{n})), and you can apply the same binomial-based formula (normal approximation, Wilson, Clopper-Pearson, bootstrap, etc.) to derive a confidence interval for the overall accuracy.</p><p>A deeper complexity arises when you also want per-class accuracy. In that situation, you effectively have separate "binomial processes," one for each class (i.e., correct or incorrect predictions of that class among the samples truly belonging to that class). You could then compute a separate confidence interval for each class's accuracy. However, be mindful of these points:</p><ul><li><p>Some classes may have very few samples, making the normal approximation less reliable. Methods such as the Clopper-Pearson interval or the Wilson interval might be preferable for those lower-frequency classes.</p></li><li><p>If the class distribution is heavily skewed, the overall accuracy might be dominated by majority classes, and the intervals for minority classes may be very wide or less meaningful without additional context or rebalancing.</p></li><li><p>If multiple comparisons are made (e.g., you compute intervals for 10 classes), the chance that at least one of the intervals does not contain its true parameter grows if you interpret them in a purely frequentist sense. Consider adjustments for multiple testing if you want strong statements across multiple intervals simultaneously.</p></li></ul><p>Pitfalls and Edge Cases</p><ul><li><p>Using overall accuracy alone in a highly imbalanced multi-class problem can be misleading, even if it has a narrow confidence interval. A scenario with a dominant class can yield a deceptively high accuracy but poor performance on other classes.</p></li><li><p>If your test samples are correlated or come from a sequence, the binomial assumption of independence might be violated, leading to intervals that are too narrow.</p></li><li><p>If class definitions overlap or are fuzzy (common in multi-label scenarios), an accuracy-based confidence interval might not capture the full extent of performance.</p></li></ul><h2><strong>How should confidence intervals be adjusted when test data samples are correlated or non-i.i.d.?</strong></h2><p>Many standard confidence interval methods assume that each sample is an independent Bernoulli trial. In real-world scenarios, data can be correlated in multiple ways. For instance, time-series data may have temporal correlation; images from the same scene may be correlated; data points could be nested in groups (e.g., patients within the same hospital).</p><p>When independence is violated, the simple binomial variance (\hat{p}(1 - \hat{p})/n) might underestimate or overestimate the actual variance. The usual confidence interval formulas then become unreliable.</p><p>Ways to Address Correlation</p><ul><li><p><strong>Block Bootstrapping or Cluster Bootstrapping</strong>: Instead of sampling individual data points, sample entire correlated blocks or clusters as units. This preserves the correlation structure within each block.</p></li><li><p><strong>Generalized Estimating Equations (GEE)</strong>: In biostatistics and related fields, GEE can be used to estimate a population-level proportion while accounting for within-group correlation.</p></li><li><p><strong>Variance Inflation Factors</strong>: If you know or can estimate the intra-class correlation (ICC), you can inflate the standard error to reflect the correlation. The effective sample size might be smaller than the raw (n).</p></li></ul><p>Pitfalls and Edge Cases</p><ul><li><p>Ignoring correlation can lead to overly tight intervals, giving a false sense of certainty.</p></li><li><p>Accurately estimating correlation structures can be difficult if data collection processes are complex.</p></li><li><p>Overcorrecting for correlation can make the intervals too wide, especially if you do not have enough data to precisely estimate the correlation.</p></li></ul><h2><strong>What considerations arise for constructing confidence intervals in situations with severe class imbalance?</strong></h2><p>In severely imbalanced classification tasks, the overall accuracy might be extremely high simply by predicting the majority class most of the time. Constructing a confidence interval around that high accuracy does not necessarily highlight the model&#8217;s performance on rare classes. Key points to consider:</p><ol><li><p><strong>Stratified Sampling</strong>: Ensuring your test set has adequate representation of each class can help you compute more reliable estimates of performance.</p></li><li><p><strong>Precision, Recall, F1-score</strong>: Sometimes, accuracy confidence intervals are less informative if most samples belong to a single class. Confidence intervals for metrics such as precision or recall on the minority class might be more meaningful.</p></li><li><p><strong>Separate Interval per Class</strong>: You might construct a separate binomial confidence interval for the accuracy on each class, or for key metrics like recall for the minority class.</p></li></ol><p>Pitfalls and Edge Cases</p><ul><li><p>A tight interval around a high accuracy in an imbalanced scenario can be misleading if the minority class has minimal support.</p></li><li><p>If the minority class frequency is very small, the normal approximation will be especially suspect. Consider using an exact method like Clopper-Pearson or a Bayesian approach.</p></li><li><p>If your test set is large enough overall but still yields very few minority samples, the interval for minority class accuracy could be very wide. This might be hidden by just quoting the overall accuracy interval.</p></li></ul><h2><strong>Are there distribution-free methods to construct a confidence interval for accuracy?</strong></h2><p>Yes, one common distribution-free approach is the bootstrap, where you do not explicitly assume a binomial or normal distribution but rely on random resampling from the empirical distribution of (prediction, ground-truth) pairs:</p><ul><li><p><strong>Non-Parametric Bootstrap</strong>: Repeatedly resample your test set with replacement, compute the accuracy on each resampled set, and then take (for a 95% CI) the 2.5th and 97.5th percentiles of those accuracy values. This gives you an empirical interval based solely on your observed data.</p></li><li><p><strong>Permutation Tests</strong>: For certain hypothesis testing frameworks, one might do a permutation-based approach to measure how accuracy changes under random label permutations. However, this is more for significance testing than a straightforward confidence interval.</p></li></ul><p>Pitfalls and Edge Cases</p><ul><li><p>If the test set is small or unrepresentative, bootstrapping might amplify biases present in the original sample.</p></li><li><p>Highly correlated data can render bootstrap samples less varied than you might assume. Adjustments like moving block bootstrap or cluster bootstrap may be needed.</p></li><li><p>Bootstrapping can be computationally expensive for large-scale models, though in practice, it&#8217;s often feasible with careful coding or parallelization.</p></li></ul><h2><strong>How could prior knowledge be incorporated to refine interval estimates for accuracy?</strong></h2><p>In a Bayesian framework, you can place a prior distribution on the true accuracy (p). After observing your test data (e.g., (k) correct out of (n)), you update this prior to a posterior distribution using Bayes&#8217; rule. The <strong>posterior distribution</strong> for (p) will then be used to derive a <strong>credible interval</strong> rather than a confidence interval. This can be particularly helpful if:</p><ul><li><p>You have strong domain knowledge suggesting the accuracy should be near a certain range.</p></li><li><p>You have historical data from similar tasks or previous model versions that might inform a prior distribution for performance.</p></li></ul><p>Pitfalls and Edge Cases</p><ul><li><p>If the prior is too strong (i.e., highly concentrated in a small region), it might dominate the posterior, ignoring the observed data.</p></li><li><p>If the prior is poorly chosen (not informed by real-world considerations), the resulting credible interval might be misleading.</p></li><li><p>Switching between frequentist and Bayesian interpretations can confuse stakeholders who are used to traditional confidence intervals.</p></li></ul><h2><strong>What are the trade-offs between using a single hold-out test set vs. cross-validation for constructing confidence intervals?</strong></h2><ol><li><p><strong>Single Hold-out</strong></p><ul><li><p>Simpler conceptual approach: train once, test once, compute the binomial proportion for accuracy.</p></li><li><p>Confidence intervals are straightforward to compute but reflect only one particular split of train/test.</p></li><li><p>If (n) is not large, the variance in the estimate can be quite high and might not generalize well to unseen data splits.</p></li></ul></li><li><p><strong>Cross-Validation</strong></p><ul><li><p>Repeatedly splitting data into training and validation folds provides multiple estimates of accuracy.</p></li><li><p>The distribution of these estimates can be used to construct a confidence interval (e.g., by looking at the mean and standard deviation of the cross-validation accuracies).</p></li><li><p>More computationally expensive, but typically more reliable and robust, especially for smaller datasets.</p></li></ul></li></ol><p>Pitfalls and Edge Cases</p><ul><li><p>If data has temporal or grouped structure, standard cross-validation might break these correlations, leading to overly optimistic intervals.</p></li><li><p>Variance estimates from cross-validation can be tricky because the folds are not entirely independent. Methods like repeated cross-validation or nested cross-validation can help but are even more computationally expensive.</p></li><li><p>Using cross-validation intervals for final model performance might differ from intervals using a strictly unseen hold-out set. Practitioners often prefer a separate, final hold-out set for a last unbiased performance check.</p></li></ul><h2><strong>How does repeated or nested cross-validation influence confidence intervals for accuracy?</strong></h2><p><strong>Repeated Cross-Validation</strong>: You repeatedly perform something like 5-fold or 10-fold cross-validation multiple times with different random splits. This yields multiple accuracy estimates. One can then calculate the mean and standard deviation across all these runs, forming the basis for a confidence interval (often using a t-distribution if the sample of accuracy estimates is not large).</p><p><strong>Nested Cross-Validation</strong>: Typically used when you want both model selection (hyperparameter tuning) and performance estimation in a principled way. In each outer fold, you train a model (which inside that fold may itself use cross-validation for tuning) and then evaluate on the held-out portion of data. You then average the outer-fold performance results for an unbiased performance estimate.</p><p>Pitfalls and Edge Cases</p><ul><li><p>The estimates from repeated cross-validation are not entirely independent, so standard formula-based intervals can be too narrow. More sophisticated methods might be needed.</p></li><li><p>If the data is not large, repeated cross-validation might lead to training sets that overlap heavily, creating correlated performance estimates.</p></li><li><p>Nested cross-validation is computationally intensive. You must weigh the benefits of a robust, unbiased estimate with the cost in runtime, especially for large models.</p></li></ul><h2><strong>In high-availability industrial systems with continuous data ingestion, how do you maintain and interpret a confidence interval for accuracy over time?</strong></h2><p>In practice, models often receive a continuous stream of new data. Your original confidence interval might become stale if the data distribution shifts. Approaches to maintain a current confidence interval include:</p><ol><li><p><strong>Rolling Windows</strong>: Keep a sliding window of the most recent data (e.g., last 10,000 samples). Continually re-estimate accuracy and update the interval. This ensures the interval reflects current conditions but might lose historical context.</p></li><li><p><strong>Exponential Decay Weighting</strong>: Weight more recent samples higher and older samples lower, so the estimate focuses on recent performance trends.</p></li><li><p><strong>Online Learning or Online Evaluation</strong>: If the model updates in an online fashion, pair it with an online estimation of performance variability.</p></li></ol><p>Pitfalls and Edge Cases</p><ul><li><p>Concept drift can make older performance data irrelevant. A stable, narrow confidence interval that does not adapt to drift is misleading.</p></li><li><p>Data quantity at each time slice might vary, causing intervals to widen or narrow unexpectedly if there are fluctuations in data flow.</p></li><li><p>Implementation complexity: constant recalculation of intervals requires good engineering practices to ensure correctness and efficiency in streaming environments.</p></li></ul><h2><strong>How do we statistically compare two models&#8217; accuracy intervals to see if one model is significantly better?</strong></h2><p>If you have two models, each with an estimated accuracy from the same test set, you can compare them in a few ways:</p><ol><li><p><strong>Confidence Interval Overlap</strong>: A naive approach is to see if the intervals for the two accuracies overlap. However, if intervals do not overlap, you can be more certain one model is better, but overlapping intervals does not necessarily mean there is no significant difference (they can overlap and yet there could still be a statistically significant difference).</p></li><li><p><strong>McNemar&#8217;s Test</strong>: Common for comparing two classifiers on paired data (same test set). It focuses on the disagreements where one model is correct and the other is incorrect.</p></li><li><p><strong>Bootstrap-based Comparison</strong>: Resample the test data with replacement, compute the accuracy difference for each bootstrap sample, and get a confidence interval for the difference. If the interval does not contain zero, that indicates a significant difference at the chosen confidence level.</p></li></ol><p>Pitfalls and Edge Cases</p><ul><li><p>If the test sets are different for each model (e.g., each model was tested at a different time), the comparisons might not reflect the same data distribution.</p></li><li><p>If the models were tuned extensively on the same test set, the test set might become a biased measure.</p></li><li><p>McNemar&#8217;s test specifically looks at the number of test instances for which models disagree; if that number is small or the data set is small, the result might be unreliable.</p></li></ul><h2><strong>When is it appropriate to aggregate multiple test sets into one bigger set for a single confidence interval, and what can go wrong?</strong></h2><p>Sometimes practitioners have multiple smaller test sets collected at different times or from different sources. They might want to combine them into one larger set to get a narrower confidence interval. This can be valid if:</p><ul><li><p>The test sets come from the same distribution.</p></li><li><p>There is no time-based or domain-based shift that would cause the sets to reflect different populations.</p></li><li><p>The samples are treated as if i.i.d. when pooled together.</p></li></ul><p>Potential Pitfalls</p><ul><li><p>If the test sets differ systematically (e.g., one set is from older data, another from a new population), the combined set might not represent any single real-world distribution well.</p></li><li><p>If correlation exists within each subset or across them, the usual binomial formula might underestimate variance.</p></li><li><p>If you merge sets with widely varying class distributions, the combined accuracy might become a mixture that doesn&#8217;t reflect performance on any specific distribution well.</p></li></ul><h2><strong>What if the test set contains uncertain or &#8220;soft&#8221; labels rather than definitive ground-truth labels?</strong></h2><p>In some domains, labels might be probabilistic or &#8220;soft,&#8221; reflecting uncertainty (e.g., medical diagnoses that are not 100% certain). The notion of &#8220;accuracy&#8221; becomes more complicated because each label is not simply correct or incorrect. Approaches include:</p><ul><li><p><strong>Thresholding the Soft Labels</strong>: Convert them to hard labels at a certain probability threshold. But this can introduce subjectivity, and the resulting binomial intervals might not reflect the label uncertainty.</p></li><li><p><strong>Scoring Rules</strong>: Instead of measuring accuracy, consider a proper scoring rule (like log loss or Brier score) and then construct intervals for that.</p></li><li><p><strong>Bayesian Label Model</strong>: If you treat each label as drawn from a latent ground truth distribution, you could estimate the posterior of the model&#8217;s performance given these uncertain labels.</p></li></ul><p>Pitfalls and Edge Cases</p><ul><li><p>Hardening the labels too early can hide the labeler&#8217;s uncertainty.</p></li><li><p>If the labeling process is itself noisy or biased, your intervals for accuracy can be systematically shifted.</p></li><li><p>Inter-annotator variability can cause wide discrepancies in how &#8220;soft&#8221; is defined or measured.</p></li></ul><h2><strong>How do we construct a confidence interval for metrics like AUC or log loss, which are not simple binomial proportions?</strong></h2><p>For metrics such as the Area Under the ROC Curve (AUC) or log loss, the underlying distribution is not binomial, so the standard (\hat{p} \pm z_{\alpha/2}\sqrt{\hat{p}(1-\hat{p})/n}) formula does not apply directly. Some methods:</p><ol><li><p><strong>DeLong&#8217;s Method</strong>: Specifically for the AUC, DeLong&#8217;s test or variance estimation is a nonparametric approach that can provide confidence intervals for AUC.</p></li><li><p>Bootstrap: A more general approach is to bootstrap the test set, compute the AUC or log loss for each resample, and use percentiles of the bootstrap distribution to form an interval. This method is flexible and widely used in practice.</p></li><li><p><strong>Asymptotic Approximations</strong>: In large samples, you might approximate the variance of the AUC or log loss, but the formula is more involved than the binomial proportion.</p></li></ol><p>Pitfalls and Edge Cases</p><ul><li><p>The reliability of DeLong&#8217;s method depends on how well the test data represents the score distributions.</p></li><li><p>For log loss or other continuous metrics, you might have outliers that cause large variance and thus wide intervals.</p></li><li><p>Bootstrapping can be computationally expensive if your dataset is large and your model is costly to evaluate many times.</p></li></ul><h2><strong>What role do sampling strategies (like stratified or cluster sampling) play in confidence interval calculations for accuracy?</strong></h2><p><strong>Stratified Sampling</strong></p><ul><li><p>If your dataset is stratified to reflect class proportions, your estimate of accuracy will be more stable, especially for minority classes.</p></li><li><p>If your actual real-world distribution differs from the stratified distribution in the test set, your intervals might not reflect the real world accurately. You would need to re-weight or post-stratify your estimates.</p></li><li><p>Confidence intervals might be narrower because stratification reduces variance, but that assumes you are truly capturing real-world class ratios or adjusting accordingly.</p></li></ul><p><strong>Cluster Sampling</strong></p><ul><li><p>If data is sampled by cluster (e.g., by geographic region, hospital, user group), the independence assumption can be violated within each cluster.</p></li><li><p>Typically, you would account for the design effect or cluster effect in the variance estimate. Failing to do so might yield over-confident intervals.</p></li><li><p>If cluster sizes vary widely, special care is needed in how you weight the clusters when constructing an overall accuracy and its confidence interval.</p></li></ul><p>Pitfalls and Edge Cases</p><ul><li><p>Failing to incorporate the sampling design in the variance calculation can produce intervals that are biased or too narrow.</p></li><li><p>Overly complex sampling designs (like multistage sampling) might require specialized survey methods or weighting to get correct intervals.</p></li><li><p>If the real deployment scenario does not match the sampling design, interpretation of the intervals might be off in practice.</p></li></ul><h2><strong>How should we handle multiple comparisons when evaluating accuracy across many models or hyperparameter configurations?</strong></h2><p>If you train many different models or tune hyperparameters extensively, you might end up with multiple accuracy estimates&#8212;one for each model or setting. Constructing separate confidence intervals for each one can inflate the chance of incorrectly concluding that a model is significantly better than others if you do not correct for multiple testing. Options include:</p><ul><li><p><strong>Bonferroni Correction</strong>: Adjust the significance level by dividing by the number of comparisons, though this can be conservative and lead to wide intervals.</p></li><li><p><strong>Holm-Bonferroni or Benjamini-Hochberg</strong>: More nuanced procedures for controlling family-wise error or false discovery rates.</p></li><li><p><strong>Cross-Validation with Statistical Tests</strong>: Use repeated cross-validation and pairwise tests, applying multiple comparison adjustments to the p-values.</p></li></ul><p>Pitfalls and Edge Cases</p><ul><li><p>Over-optimizing hyperparameters on the test set effectively contaminates the test set. This leads to intervals that do not reflect unbiased performance.</p></li><li><p>Large-scale hyperparameter searches with random seeds can produce many accuracy values, some of which might appear high purely by chance.</p></li><li><p>Very large corrections (e.g., Bonferroni) might make it hard to claim significance for any difference, even if practical differences exist.</p></li></ul><h2><strong>How might domain-specific constraints or performance thresholds affect the interpretation of accuracy confidence intervals?</strong></h2><p>Certain domains have strict performance needs&#8212;e.g., a medical device might need at least 90% accuracy to be considered for regulatory approval. If your 95% confidence interval is [88%, 92%], from a purely statistical standpoint you can say the model might or might not meet the 90% threshold. But domain-specific constraints often dictate:</p><ul><li><p><strong>Regulatory Requirements</strong>: You might need an interval that reliably exceeds a threshold, not just an interval that contains it.</p></li><li><p><strong>Safety Margins</strong>: In safety-critical systems, you might want a 99% confidence interval or a lower bound that comfortably clears a necessary threshold for reliability.</p></li><li><p><strong>Risk Tolerance</strong>: If a misclassification is extremely costly, your domain might require a narrower confidence interval or a higher confidence level (e.g., 99.9%) to ensure performance is sufficiently proven.</p></li></ul><p>Pitfalls and Edge Cases</p><ul><li><p>Overly strict thresholds combined with wide intervals can render an otherwise high-performing model unacceptable for deployment.</p></li><li><p>Real-world distribution changes might invalidate your intervals, so you cannot claim domain compliance if the data environment shifts.</p></li><li><p>In some domains, accuracy alone might be insufficient if certain classes carry dramatically higher risk when misclassified.</p></li></ul><h2><strong>Could you describe practical scenarios where a confidence interval for accuracy is insufficient on its own?</strong></h2><p>While confidence intervals for accuracy are important, certain real-world scenarios demand additional or alternative analyses:</p><ol><li><p><strong>High-Risk Applications</strong>: In autonomous vehicles, aviation, or medical interventions, you may need reliability measures that exceed typical 95% confidence intervals, or you might focus on worst-case scenarios (e.g., guaranteeing no more than 1 misclassification in 1000 for a certain condition).</p></li><li><p><strong>Explainability or Accountability</strong>: Some contexts require understanding why errors occur. A single interval for accuracy does not explain which subpopulation or scenario is causing failures.</p></li><li><p><strong>Continuous Deployment</strong>: If the model is updated weekly, you might need a robust mechanism for tracking performance drift and re-validating intervals frequently.</p></li><li><p><strong>Cost-Sensitive or Utility-Based Settings</strong>: Accuracy might not reflect the true cost or utility. For example, in fraud detection, a single missed fraudulent case could be extremely costly, so you might rely more on recall or precision in the minority class.</p></li></ol><p>Pitfalls and Edge Cases</p><ul><li><p>Focusing solely on an accuracy interval can lead to neglect of model biases or ethical concerns in certain subgroups.</p></li><li><p>In large-scale systems, an accuracy interval might be narrow, yet small error rates can still affect thousands or millions of users, so operational risk can be significant.</p></li><li><p>Some domains measure success not by raw accuracy but by cost savings, revenue impact, or user satisfaction, requiring different metrics and intervals.</p></li></ul><h2><strong>How can domain knowledge be leveraged to refine data collection and thus narrow the confidence interval for accuracy?</strong></h2><p>Domain knowledge can inform better data collection strategies, improving the representativeness and size of the test sample. A more representative and larger test sample can lead to:</p><ul><li><p><strong>Reduced Variance</strong>: If your domain knowledge helps ensure test data covers typical real-world use cases and edge cases, the estimate of accuracy can be more robust, potentially yielding a tighter interval.</p></li><li><p><strong>Targeted Sampling</strong>: Collecting more samples specifically from known challenging conditions or from subpopulations underrepresented in the training data can clarify the model&#8217;s strengths and weaknesses.</p></li><li><p><strong>Focused Budget Allocation</strong>: Instead of randomly collecting data, domain experts can guide sampling to maximize the value of new test points, ensuring that each additional sample helps clarify performance in critical areas.</p></li></ul><p>Pitfalls and Edge Cases</p><ul><li><p>Over-targeting specific scenarios can bias the distribution of the test set, inflating or deflating overall accuracy artificially.</p></li><li><p>Relying too heavily on domain knowledge might exclude unknown novel cases.</p></li><li><p>Domain-driven data collection might be costly or time-consuming, so practical trade-offs must be made.</p></li></ul><h2><strong>How would you approach explaining these intervals and their interpretation to non-technical stakeholders?</strong></h2><p>While the mathematics behind confidence intervals can be intricate, especially in the presence of advanced methods or correlation, you can still convey the essence:</p><ul><li><p><strong>Focus on the Range</strong>: Emphasize that &#8220;We believe the model&#8217;s accuracy on this type of data lies roughly between X% and Y%, given our current sample.&#8221;</p></li><li><p><strong>Probability vs. Procedure</strong>: Caution that &#8220;This does not mean there is an X% chance that the true accuracy is in this range, but rather if we repeated this testing approach many times, about 95% of the intervals computed would capture the true accuracy.&#8221;</p></li><li><p><strong>Implications for Risk</strong>: Translate the interval width into a statement about how stable or uncertain the model&#8217;s performance might be. A wide interval indicates &#8220;We are not fully sure how well the model performs; more data or further analysis is needed.&#8221;</p></li><li><p><strong>Contextualize with Business or Real-World Outcomes</strong>: For example, &#8220;If the lower bound of 78% accuracy is still acceptable for our application, we can proceed. Otherwise, we may need to gather more data or improve the model.&#8221;</p></li></ul><p>Pitfalls and Edge Cases</p><ul><li><p>Non-technical audiences often interpret intervals incorrectly as &#8220;We are 95% sure that the true accuracy is in this range.&#8221; While often used colloquially, it is not strictly correct in the frequentist sense.</p></li><li><p>If the confidence interval is small, there can still be domain drift or mismatch with real-world usage that is not captured.</p></li><li><p>Over-simplifying or overselling the meaning of the interval can lead decision-makers to place unwarranted trust in the model&#8217;s performance.</p></li></ul>]]></content:encoded></item><item><title><![CDATA[ML Interview Q Series: Time on Site & Purchases: Establishing Causality with A/B Testing and Confounder Analysis.]]></title><description><![CDATA[&#128218; Browse the full ML Interview series here.]]></description><link>https://www.rohan-paul.com/p/ml-interview-q-series-time-on-site</link><guid isPermaLink="false">https://www.rohan-paul.com/p/ml-interview-q-series-time-on-site</guid><pubDate>Fri, 13 Jun 2025 10:11:08 GMT</pubDate><enclosure url="https://substackcdn.com/image/fetch/$s_!YrPe!,f_auto,q_auto:good,fl_progressive:steep/https%3A%2F%2Fsubstack-post-media.s3.amazonaws.com%2Fpublic%2Fimages%2F8d390a79-c7bf-4ca2-9b0c-1e396c62e506_1024x510.png" length="0" type="image/jpeg"/><content:encoded><![CDATA[<div class="captioned-image-container"><figure><a class="image-link image2 is-viewable-img" target="_blank" href="https://substackcdn.com/image/fetch/$s_!YrPe!,f_auto,q_auto:good,fl_progressive:steep/https%3A%2F%2Fsubstack-post-media.s3.amazonaws.com%2Fpublic%2Fimages%2F8d390a79-c7bf-4ca2-9b0c-1e396c62e506_1024x510.png" data-component-name="Image2ToDOM"><div class="image2-inset"><picture><source type="image/webp" srcset="https://substackcdn.com/image/fetch/$s_!YrPe!,w_424,c_limit,f_webp,q_auto:good,fl_progressive:steep/https%3A%2F%2Fsubstack-post-media.s3.amazonaws.com%2Fpublic%2Fimages%2F8d390a79-c7bf-4ca2-9b0c-1e396c62e506_1024x510.png 424w, https://substackcdn.com/image/fetch/$s_!YrPe!,w_848,c_limit,f_webp,q_auto:good,fl_progressive:steep/https%3A%2F%2Fsubstack-post-media.s3.amazonaws.com%2Fpublic%2Fimages%2F8d390a79-c7bf-4ca2-9b0c-1e396c62e506_1024x510.png 848w, https://substackcdn.com/image/fetch/$s_!YrPe!,w_1272,c_limit,f_webp,q_auto:good,fl_progressive:steep/https%3A%2F%2Fsubstack-post-media.s3.amazonaws.com%2Fpublic%2Fimages%2F8d390a79-c7bf-4ca2-9b0c-1e396c62e506_1024x510.png 1272w, https://substackcdn.com/image/fetch/$s_!YrPe!,w_1456,c_limit,f_webp,q_auto:good,fl_progressive:steep/https%3A%2F%2Fsubstack-post-media.s3.amazonaws.com%2Fpublic%2Fimages%2F8d390a79-c7bf-4ca2-9b0c-1e396c62e506_1024x510.png 1456w" sizes="100vw"><img src="https://substackcdn.com/image/fetch/$s_!YrPe!,w_1456,c_limit,f_auto,q_auto:good,fl_progressive:steep/https%3A%2F%2Fsubstack-post-media.s3.amazonaws.com%2Fpublic%2Fimages%2F8d390a79-c7bf-4ca2-9b0c-1e396c62e506_1024x510.png" width="1024" height="510" data-attrs="{&quot;src&quot;:&quot;https://substack-post-media.s3.amazonaws.com/public/images/8d390a79-c7bf-4ca2-9b0c-1e396c62e506_1024x510.png&quot;,&quot;srcNoWatermark&quot;:null,&quot;fullscreen&quot;:null,&quot;imageSize&quot;:null,&quot;height&quot;:510,&quot;width&quot;:1024,&quot;resizeWidth&quot;:null,&quot;bytes&quot;:906644,&quot;alt&quot;:null,&quot;title&quot;:null,&quot;type&quot;:&quot;image/png&quot;,&quot;href&quot;:null,&quot;belowTheFold&quot;:false,&quot;topImage&quot;:true,&quot;internalRedirect&quot;:&quot;https://www.rohan-paul.com/i/165854983?img=https%3A%2F%2Fsubstack-post-media.s3.amazonaws.com%2Fpublic%2Fimages%2F8d390a79-c7bf-4ca2-9b0c-1e396c62e506_1024x510.png&quot;,&quot;isProcessing&quot;:false,&quot;align&quot;:null,&quot;offset&quot;:false}" class="sizing-normal" alt="" srcset="https://substackcdn.com/image/fetch/$s_!YrPe!,w_424,c_limit,f_auto,q_auto:good,fl_progressive:steep/https%3A%2F%2Fsubstack-post-media.s3.amazonaws.com%2Fpublic%2Fimages%2F8d390a79-c7bf-4ca2-9b0c-1e396c62e506_1024x510.png 424w, https://substackcdn.com/image/fetch/$s_!YrPe!,w_848,c_limit,f_auto,q_auto:good,fl_progressive:steep/https%3A%2F%2Fsubstack-post-media.s3.amazonaws.com%2Fpublic%2Fimages%2F8d390a79-c7bf-4ca2-9b0c-1e396c62e506_1024x510.png 848w, https://substackcdn.com/image/fetch/$s_!YrPe!,w_1272,c_limit,f_auto,q_auto:good,fl_progressive:steep/https%3A%2F%2Fsubstack-post-media.s3.amazonaws.com%2Fpublic%2Fimages%2F8d390a79-c7bf-4ca2-9b0c-1e396c62e506_1024x510.png 1272w, https://substackcdn.com/image/fetch/$s_!YrPe!,w_1456,c_limit,f_auto,q_auto:good,fl_progressive:steep/https%3A%2F%2Fsubstack-post-media.s3.amazonaws.com%2Fpublic%2Fimages%2F8d390a79-c7bf-4ca2-9b0c-1e396c62e506_1024x510.png 1456w" sizes="100vw" fetchpriority="high"></picture><div class="image-link-expand"><div class="pencraft pc-display-flex pc-gap-8 pc-reset"><button tabindex="0" type="button" class="pencraft pc-reset pencraft icon-container restack-image"><svg role="img" width="20" height="20" viewBox="0 0 20 20" fill="none" stroke-width="1.5" stroke="var(--color-fg-primary)" stroke-linecap="round" stroke-linejoin="round" xmlns="http://www.w3.org/2000/svg"><g><title></title><path d="M2.53001 7.81595C3.49179 4.73911 6.43281 2.5 9.91173 2.5C13.1684 2.5 15.9537 4.46214 17.0852 7.23684L17.6179 8.67647M17.6179 8.67647L18.5002 4.26471M17.6179 8.67647L13.6473 6.91176M17.4995 12.1841C16.5378 15.2609 13.5967 17.5 10.1178 17.5C6.86118 17.5 4.07589 15.5379 2.94432 12.7632L2.41165 11.3235M2.41165 11.3235L1.5293 15.7353M2.41165 11.3235L6.38224 13.0882"></path></g></svg></button><button tabindex="0" type="button" class="pencraft pc-reset pencraft icon-container view-image"><svg xmlns="http://www.w3.org/2000/svg" width="20" height="20" viewBox="0 0 24 24" fill="none" stroke="currentColor" stroke-width="2" stroke-linecap="round" stroke-linejoin="round" class="lucide lucide-maximize2 lucide-maximize-2"><polyline points="15 3 21 3 21 9"></polyline><polyline points="9 21 3 21 3 15"></polyline><line x1="21" x2="14" y1="3" y2="10"></line><line x1="3" x2="10" y1="21" y2="14"></line></svg></button></div></div></div></a></figure></div><p>&#128218; Browse <strong><a href="https://rohanpaul.substack.com/s/ml-interview-series/archive?sort=new">the full ML Interview series here</a></strong>.</p><h2><strong>Correlation vs Causation (Scenario): Suppose a dataset shows that users who spend more time on a website tend to make more purchases. Does this imply that increasing a user&#8217;s time on site will cause them to buy more? Discuss how you would investigate causality, and what confounding factors or experiments you would consider to validate the relationship.</strong></h2><p class="button-wrapper" data-attrs="{&quot;url&quot;:&quot;https://x.com/rohanpaul_ai&quot;,&quot;text&quot;:&quot;Connect with me on X (Twitter)&quot;,&quot;action&quot;:null,&quot;class&quot;:&quot;button-wrapper&quot;}" data-component-name="ButtonCreateButton"><a class="button primary button-wrapper" href="https://x.com/rohanpaul_ai"><span>Connect with me on X (Twitter)</span></a></p><p>Understanding Why Correlation Alone Does Not Imply Causation Correlation indicates the degree to which two variables move together. If users who spend more time on a site also purchase more, these two factors are correlated. However, correlation by itself does not tell us whether one variable directly causes changes in the other. It could be that users who are already highly motivated to buy will naturally linger longer, or that a third variable (like site personalization or user demographics) drives both extended browsing and higher purchase rates.</p><p>Investigating Causality One cannot simply conclude that pushing users to stay longer will directly lead to more purchases. To demonstrate that time spent on the site causes an increase in conversion, one should conduct studies or experiments designed to reduce biases and control for confounding variables.</p><p>Potential Confounders Confounders are factors that affect both time on site and purchasing behavior. Some examples:</p><p>User Engagement Level Highly interested or loyal users might spend more time reading product details or exploring reviews before making purchases. Their inherent engagement level drives both the time-on-site metric and the purchasing decision.</p><p>User Demographics Certain demographics (e.g., younger tech-savvy users) might naturally spend more time exploring websites and also have a tendency to convert at higher rates. Demographic differences could influence both variables without a direct causal link between them.</p><p>Content Quality or Website Experience If the site is easier to navigate or has engaging content in certain product categories, users might stay longer and also be more likely to convert. That means improvements in site design or content quality drive both time on site and conversion rather than one causing the other.</p><p>Investigating Causality Through Observational Analysis In observational datasets, one may look for ways to tease out confounders. Statistical techniques help to isolate the relationship between time on site and purchase likelihood. One might attempt:</p><p>Propensity Score Matching Group users with similar characteristics (e.g., demographics, prior purchase history, device used) so that the main difference between groups is their time on site. If the matched groups show different purchase rates, it becomes more plausible that time on site has a causal role. However, this depends on the extent to which we can measure and include all relevant confounders. Unmeasured confounders can still bias the results.</p><p>Multivariable Regression One might use a regression approach controlling for many features that affect purchase. A simplified expression could be:</p><div class="captioned-image-container"><figure><a class="image-link image2" target="_blank" href="https://substackcdn.com/image/fetch/$s_!GznN!,f_auto,q_auto:good,fl_progressive:steep/https%3A%2F%2Fsubstack-post-media.s3.amazonaws.com%2Fpublic%2Fimages%2F095c81bb-b084-47c9-85fd-0b3c2395610b_1191x190.png" data-component-name="Image2ToDOM"><div class="image2-inset"><picture><source type="image/webp" srcset="https://substackcdn.com/image/fetch/$s_!GznN!,w_424,c_limit,f_webp,q_auto:good,fl_progressive:steep/https%3A%2F%2Fsubstack-post-media.s3.amazonaws.com%2Fpublic%2Fimages%2F095c81bb-b084-47c9-85fd-0b3c2395610b_1191x190.png 424w, https://substackcdn.com/image/fetch/$s_!GznN!,w_848,c_limit,f_webp,q_auto:good,fl_progressive:steep/https%3A%2F%2Fsubstack-post-media.s3.amazonaws.com%2Fpublic%2Fimages%2F095c81bb-b084-47c9-85fd-0b3c2395610b_1191x190.png 848w, https://substackcdn.com/image/fetch/$s_!GznN!,w_1272,c_limit,f_webp,q_auto:good,fl_progressive:steep/https%3A%2F%2Fsubstack-post-media.s3.amazonaws.com%2Fpublic%2Fimages%2F095c81bb-b084-47c9-85fd-0b3c2395610b_1191x190.png 1272w, https://substackcdn.com/image/fetch/$s_!GznN!,w_1456,c_limit,f_webp,q_auto:good,fl_progressive:steep/https%3A%2F%2Fsubstack-post-media.s3.amazonaws.com%2Fpublic%2Fimages%2F095c81bb-b084-47c9-85fd-0b3c2395610b_1191x190.png 1456w" sizes="100vw"><img src="https://substackcdn.com/image/fetch/$s_!GznN!,w_1456,c_limit,f_auto,q_auto:good,fl_progressive:steep/https%3A%2F%2Fsubstack-post-media.s3.amazonaws.com%2Fpublic%2Fimages%2F095c81bb-b084-47c9-85fd-0b3c2395610b_1191x190.png" width="1191" height="190" data-attrs="{&quot;src&quot;:&quot;https://substack-post-media.s3.amazonaws.com/public/images/095c81bb-b084-47c9-85fd-0b3c2395610b_1191x190.png&quot;,&quot;srcNoWatermark&quot;:null,&quot;fullscreen&quot;:null,&quot;imageSize&quot;:null,&quot;height&quot;:190,&quot;width&quot;:1191,&quot;resizeWidth&quot;:null,&quot;bytes&quot;:25537,&quot;alt&quot;:null,&quot;title&quot;:null,&quot;type&quot;:&quot;image/png&quot;,&quot;href&quot;:null,&quot;belowTheFold&quot;:true,&quot;topImage&quot;:false,&quot;internalRedirect&quot;:&quot;https://www.rohan-paul.com/i/165854983?img=https%3A%2F%2Fsubstack-post-media.s3.amazonaws.com%2Fpublic%2Fimages%2F095c81bb-b084-47c9-85fd-0b3c2395610b_1191x190.png&quot;,&quot;isProcessing&quot;:false,&quot;align&quot;:null,&quot;offset&quot;:false}" class="sizing-normal" alt="" srcset="https://substackcdn.com/image/fetch/$s_!GznN!,w_424,c_limit,f_auto,q_auto:good,fl_progressive:steep/https%3A%2F%2Fsubstack-post-media.s3.amazonaws.com%2Fpublic%2Fimages%2F095c81bb-b084-47c9-85fd-0b3c2395610b_1191x190.png 424w, https://substackcdn.com/image/fetch/$s_!GznN!,w_848,c_limit,f_auto,q_auto:good,fl_progressive:steep/https%3A%2F%2Fsubstack-post-media.s3.amazonaws.com%2Fpublic%2Fimages%2F095c81bb-b084-47c9-85fd-0b3c2395610b_1191x190.png 848w, https://substackcdn.com/image/fetch/$s_!GznN!,w_1272,c_limit,f_auto,q_auto:good,fl_progressive:steep/https%3A%2F%2Fsubstack-post-media.s3.amazonaws.com%2Fpublic%2Fimages%2F095c81bb-b084-47c9-85fd-0b3c2395610b_1191x190.png 1272w, https://substackcdn.com/image/fetch/$s_!GznN!,w_1456,c_limit,f_auto,q_auto:good,fl_progressive:steep/https%3A%2F%2Fsubstack-post-media.s3.amazonaws.com%2Fpublic%2Fimages%2F095c81bb-b084-47c9-85fd-0b3c2395610b_1191x190.png 1456w" sizes="100vw" loading="lazy"></picture><div></div></div></a></figure></div><p>Here, ( x_i ) are other variables such as demographics or previous purchases that might confound the relationship. Even then, regression alone does not guarantee causality. It only improves our confidence by reducing the omitted variable bias if we have measured the confounders correctly.</p><p>Experimental Approach for Validating Causality In practice, experiments are usually the most reliable way to infer causality:</p><p>Randomized A/B Testing One can split users randomly into two groups. In the experimental group, the website design might be subtly modified to encourage longer browsing sessions (for instance, adding interactive product tours or personalized suggestions). The control group experiences the usual interface. If the experimental group truly ends up with significantly higher purchase rates, we gain direct evidence that increased time on site causes the lift in purchases. By randomizing users, most confounders balance across the two groups.</p><p>Ethical and Practical Considerations In attempting to force users to stay on a site, user experience might degrade if the intervention is too intrusive. One must balance user satisfaction with the desire to see if increased site time drives higher revenue. Also, the tested mechanism for increasing time should be realistic&#8212;perhaps more personalized recommendations or better product content&#8212;rather than artificially locking navigation.</p><p>Potential Pitfalls in Experimentation If the experiment is not carefully designed, confounders can remain. For instance, power users might be more likely to notice new website features. If the new feature inadvertently targets certain kinds of users, the results may be skewed. Additionally, large sample sizes are needed to detect differences in purchase behavior, especially if the baseline rate is low. The duration of the experiment should be long enough to capture typical user behavior patterns and any delayed effects.</p><p>Summary of the Overall Approach A simple correlation does not establish that increasing time on site causes an increase in purchases. To investigate, one should:</p><p>&#8226; Identify relevant confounders such as user engagement, demographics, and site design features. &#8226; Use observational techniques (like propensity score matching or regression with comprehensive controls) to look for robust relationships, while recognizing residual confounding might remain. &#8226; Conduct an A/B test or a well-defined experiment that randomly manipulates the amount of time users spend on the site (or manipulates features known to prolong session duration) and measure differences in purchase rates. &#8226; Evaluate the experiment carefully to ensure randomization is done properly, sample sizes are sufficient, and any changes in user experience are understood.</p><div class="subscription-widget-wrap-editor" data-attrs="{&quot;url&quot;:&quot;https://www.rohan-paul.com/subscribe?&quot;,&quot;text&quot;:&quot;Subscribe&quot;,&quot;language&quot;:&quot;en&quot;}" data-component-name="SubscribeWidgetToDOM"><div class="subscription-widget show-subscribe"><div class="preamble"><p class="cta-caption">I write everyday for my readers on actionable AI. Subscribe and instantly get a 1300+ page Python book.</p></div><form class="subscription-widget-subscribe"><input type="email" class="email-input" name="email" placeholder="Type your email&#8230;" tabindex="-1"><input type="submit" class="button primary" value="Subscribe"><div class="fake-input-wrapper"><div class="fake-input"></div><div class="fake-button"></div></div></form></div></div><h2><strong>How might you deal with users who are forced to stay longer artificially?</strong></h2><p>One approach is to create an experience or feature that organically encourages a longer session, rather than forcing it. For example, you might introduce product recommendation widgets or more informative content. By deploying this feature only in a randomized set of sessions, you can gauge whether the additional content (which should logically increase session length) also leads to higher conversion. If the only systematic difference between the control and test groups is the presence of that new feature, then any difference in purchases can be attributed, with some level of confidence, to that feature and thus potentially to longer session times (though the precise mechanism might be richer product information, rather than just &#8220;longer time&#8221; per se).</p><h2><strong>What if the experiment shows a short-term increase in purchases but no long-term effect?</strong></h2><p>Sometimes, short-term novelty effects&#8212;such as a new design&#8212;attract user attention and thus inflate metrics. In the long term, users may revert to their typical browsing patterns. To investigate this, run the experiment for an extended period. Track user behavior over time to distinguish a sustained causal effect from a temporary bump. Also, analyze user-level effects (e.g., repeat purchasers) to see if longer on-site sessions lead to lasting changes in buying habits.</p><h2><strong>How would you ensure that you are capturing the correct confounding factors in an observational setting?</strong></h2><p>First, brainstorm all the plausible variables that might relate to both session time and purchase behavior, such as user income bracket, purchase history, brand familiarity, device type, time of day, site or product category, referral source, and so on. Then, include those variables in a model or matching strategy. However, no matter how exhaustive the list, there is always a risk of unobserved confounders&#8212;factors you have not measured or cannot measure. That limitation is why an experiment is preferable if feasible. If not, advanced causal-inference approaches (e.g., instrumental variables or difference-in-differences) can be employed when relevant instruments or natural experiments exist.</p><h2><strong>How can you apply instrumental variables to this type of problem?</strong></h2><p>An instrumental variable (IV) is a variable that influences the time on site but does not directly influence the probability of purchase (except through time on site). If, for instance, the website experiences random traffic spikes due to external events (e.g., an unpredictable mention on social media), that might cause more prolonged sessions in a way that is uncorrelated with user purchase intent. One could use that external event as an instrument to estimate the causal effect of session duration on purchases. However, finding a valid instrumental variable can be challenging. It must satisfy the condition of affecting purchase only through the variable of interest (session time) and not directly.</p><h2><strong>Are there scenarios where increasing time on site might reduce purchases?</strong></h2><p>Yes. An overly complicated browsing experience or forced engagement might frustrate users. A design that simply prolongs the path to purchase without adding value can lead to cart abandonment. This highlights the importance of testing the actual mechanism that influences session time. If the changes that increase browsing time make the experience cumbersome, you could see negative outcomes.</p><h2><strong>How do you distinguish the effect of user intent from the effect of UI changes that prolong session time?</strong></h2><p>In many causal inference settings, user intent is a critical confounder: a highly motivated user may linger longer simply because they are already inclined to buy. We want to see if, given the same level of intent, an intervention that causes a longer session actually yields more purchases. The typical strategy involves random assignment to ensure that both highly motivated and less motivated users are evenly distributed. In a well-designed A/B test, each group should have roughly equal representation of users with varying intent levels. By then comparing purchase rates, one hopes to isolate the incremental benefit of the new design (or extra site time). Observationally, you might measure proxy variables of user intent (e.g., prior site visits or cart additions) and control for them.</p><h2><strong>How do you address noisy data where time on site might be inaccurately recorded?</strong></h2><p>Time-on-site measurements can suffer from inactivity timeouts, multiple tabs, background sessions, or abrupt disconnections. Strategies to mitigate noise:</p><p>Use event-based tracking Rather than relying purely on session start and end, log user interactions (clicks, scroll depth, time of last activity). This gives more precise estimates of engaged time.</p><p>Ignore extremely long idle sessions Set a reasonable idle timeout that resets the clock when there is no user activity. If a user leaves a tab open for an hour without interaction, it should not inflate the session time meaningfully.</p><p>Uniform data processing Ensure both the control and experimental groups have session times computed identically, so that any measurement inaccuracies affect them equally and do not systematically bias the results.</p><p>By carefully cleaning and validating time-on-site data and by using randomization, you reduce the chances that inaccurate time metrics drive incorrect conclusions about causality.</p><h2><strong>How would you measure success in an A/B test aimed at exploring causality in this scenario?</strong></h2><p>Common metrics to track:</p><p>Conversion Rate or Average Revenue per User If the primary hypothesis is that longer sessions cause higher purchases, then a direct increase in conversion rate or revenue is the most critical outcome measure.</p><p>Engagement Metrics Session length itself may be a secondary metric (the manipulated factor). Track not only total time on site but also engaged time, number of interactions, or pages viewed.</p><p>User Experience Metrics Monitor bounce rates, exit rates, and user feedback. An intervention that artificially inflates session length might degrade user satisfaction if it&#8217;s not done thoughtfully.</p><p>Practical Implementation Choose a representative user population, randomly assign them to control vs. experimental variations, track metrics over enough time to obtain robust statistics. Conduct statistical significance testing, ensuring that any observed difference in purchase rates or revenue is unlikely to be due to chance.</p><h2><strong>What if your experimental results differ from observational findings?</strong></h2><p>This discrepancy often indicates hidden or inadequately measured confounders in the observational data. Observational analysis might have suggested a strong correlation, but the actual A/B test results show minimal or no causal effect. In such cases, the best practice is typically to trust the randomized experiment, since it controls for confounders in a way observational data cannot. The difference highlights the importance of validating correlations experimentally whenever possible.</p><h2><strong>How do real-world constraints impact your ability to run experiments?</strong></h2><p>There are times when running an experiment is expensive, time-consuming, or risky. For example, extensively changing the website might disrupt the user experience or brand image. In such cases, smaller pilot tests or feature-based rollouts might mitigate risk. If even that is not possible, advanced observational methods (like quasi-experimental designs) or partial testing (like testing on smaller user segments) can be used, though these have more potential biases than fully randomized experiments.</p><h2><strong>How would you finally conclude if time on site truly causes higher purchases?</strong></h2><p>Gather the evidence from multiple sources:</p><p>&#8226; Observe the correlation and replicate it with careful observational methods controlling for confounders. &#8226; Conduct randomized experiments if possible (e.g., via feature changes that encourage longer sessions). &#8226; Confirm that the difference in purchases between experimental and control groups is statistically significant and that the effect persists over time without harming user experience.</p><p>A consistent pattern of evidence from rigorous analysis leads to a strong causal inference. On the other hand, if rigorous tests show no real causal effect, then the observed correlation was likely due to user intent, demographic differences, or other confounding factors.</p><div><hr></div><h2><strong>Below are additional follow-up questions</strong></h2><h2><strong>How would you address differences in user acquisition channels that might confound the relationship between time on site and purchases?</strong></h2><p>In many real-world scenarios, the way a user arrives at your website can significantly shape their intent and behavior. For example, users coming from a targeted search ad might already be further along in the purchase funnel compared to users who click a casual social media link. If those arriving via high-intent channels naturally stay longer (researching final details, exploring bundles) and purchase more frequently, it could create a spurious correlation between session duration and conversions.</p><p>To address this, you can: &#8226; Segment the data by acquisition channel, analyzing how time on site relates to purchases in each separate channel. This often reveals whether the correlation is channel-dependent. &#8226; Incorporate channel data into your regression or propensity score matching, ensuring that users with similar acquisition sources are matched or controlled for. &#8226; In experiments, randomize your treatment (e.g., a feature that extends session length) across different acquisition channels so that each channel sees both control and treatment. If the channel mix is the same in both groups, it&#8217;s less likely to bias causal conclusions.</p><p>A potential pitfall is that channels can shift unpredictably. For instance, a sudden surge of users from a highly motivated channel&#8212;like an influencer&#8217;s product endorsement&#8212;may skew your time-on-site and conversion metrics. Hence, continuous monitoring of channel composition is critical throughout any experimental or observational study.</p><h2><strong>How do you handle multi-touch attribution issues when trying to measure causality?</strong></h2><p>In many online businesses, a user&#8217;s journey involves multiple interactions: ads on different platforms, product page visits, abandoned carts, email reminders, etc. When analyzing time on site versus purchases, a single session&#8217;s duration might not capture the influence of previous touches or the user&#8217;s entire research cycle.</p><p>Potential strategies: &#8226; Combine data across touchpoints: Build a multi-touch attribution model that accounts for each interaction. Even if a user has multiple sessions, the aggregated view helps you see the bigger picture. &#8226; Track user-level histories: Instead of session-level features alone, collect user-level data (e.g., whether they clicked an email campaign or were exposed to a retargeting ad). That way, you see if your &#8220;time on site&#8221; metric is part of a broader funnel of repeated visits. &#8226; Experimental design for funnel steps: If you run an A/B test, ensure randomization is consistent across multiple touches. For instance, the same user sees the experimental variant each time they visit, reducing the confusion of switching experiences mid-funnel.</p><p>A subtle pitfall is that different touches might confound the effect of session duration on purchase. If a particular ad is extremely effective at attracting high-intent customers, that alone might drive longer browsing sessions and higher conversion. Controlling for or randomizing exposure to each touchpoint is crucial to isolate the role of session time.</p><h2><strong>Can time on site be detrimental in certain scenarios, and how do you detect when a longer session might reduce purchases?</strong></h2><p>While increased time on site often correlates with deeper engagement, there are contexts in which forcing users to spend more time can backfire. Some examples: &#8226; Users on a mission: If visitors want to make a quick purchase (e.g., replenishing a known item), unnecessary friction or forced interactions can frustrate them, potentially lowering conversions. &#8226; Complex or confusing UX: If a user is stuck searching for product information or dealing with slow-loading pages, they&#8217;re spending more time involuntarily, which might lead to abandonment. &#8226; Indecision loops: Providing too many choices or too much content might lead some customers to experience decision fatigue and leave.</p><p>Detection strategies: &#8226; Monitor user feedback, bounce rates, and session recordings: If a new site feature is introduced to increase engagement but you see higher bounce rates or negative feedback, it might be harming conversions. &#8226; Watch for changes in average order value vs. session time: If session duration is going up but purchase rates or order values are dropping, it could mean you&#8217;re adding friction rather than beneficial engagement. &#8226; Segment by user intent: Evaluate the feature for first-time visitors, repeat customers, or existing subscribers. Users with different intents might respond differently to extended session lengths.</p><p>A potential pitfall arises if you only look at overall average time on site. Some users might stay longer productively, while others are stuck or frustrated. Always segment or explore deeper engagement metrics (e.g., depth of scroll, search queries made) to confirm that increased time is purposeful.</p><h2><strong>What challenges occur when the site caters to different use cases or product categories?</strong></h2><p>If your website has multiple distinct product categories or use cases, time on site can mean very different things across user segments. For instance: &#8226; Users browsing electronics might linger to compare specifications, watch product demos, or read multiple reviews. &#8226; Users shopping for groceries or daily essentials might want a rapid and frictionless checkout.</p><p>When analyzing time on site vs. purchases, these differences can confound the overall relationship if you pool all categories together. A few considerations: &#8226; Category-based segmentation: Evaluate correlation and conduct experiments within each product category. If you find that more browsing time strongly correlates with higher purchases only in high-involvement categories (e.g., electronics), you can target interventions more effectively. &#8226; Category-specific user flows: Some product lines might benefit from more in-depth content (videos, comparison tools), while others thrive on speed. Make sure to customize any &#8220;time-extension&#8221; strategies to the context of each category. &#8226; Mixed-cart scenarios: A user might browse electronics but also add quick household items to the same cart. In that case, you want to ensure you&#8217;re capturing the overall effect of time spent across multiple sections, rather than attributing conversion solely to one category.</p><p>A tricky edge case arises if you have &#8220;loss-leader&#8221; categories that users spend a lot of time exploring but rarely convert. Those might inflate time on site without improving overall purchases, skewing naive analyses.</p><h2><strong>In what ways could seasonality or external factors skew the correlation?</strong></h2><p>Seasonality can dramatically change buying behavior, and external economic factors (e.g., recession, holidays, new competitor launches) can alter both session duration and conversion patterns. Examples: &#8226; Holiday seasons: Users may be motivated to compare more products and spend more time on the site due to gift shopping. Purchases often rise with or without extended session times. &#8226; Economic downturns: If spending power decreases, even users who browse extensively might be hesitant to buy. &#8226; Competitor campaigns: If a competitor runs a massive discount promotion, your site&#8217;s visitors might be comparing prices across multiple tabs, leading to longer sessions without guaranteed conversions.</p><p>To mitigate: &#8226; Incorporate time windows into your analysis: Compare the same seasonal periods across different years, or compare pre- and post-season periods. &#8226; Use separate models or controls for different seasons: A regression approach can include seasonal dummy variables. In an A/B test, ensure random assignment is balanced throughout the season so that each variant experiences similar external influences. &#8226; Continuously monitor macro trends: If an unforeseen event (like a major competitor sale) spikes traffic or changes user behavior, consider pausing or adjusting your experiment or observational study to avoid mixing data from abnormal conditions.</p><p>A subtle issue is that random fluctuations can be mistaken for treatment effects if the experiment is not carefully monitored. For instance, if you observe an uptick in purchases the same week you implement a feature to extend session time, it could simply be coinciding with a seasonal shift in consumer behavior.</p><h2><strong>How do you separate the effect of a new feature from general site improvements that also influence user behavior?</strong></h2><p>Over time, websites frequently make various improvements, like optimizing loading speeds, simplifying navigation, or improving the checkout funnel. These changes might also increase session duration (because users spend more time exploring new features) or speed up purchases (shortening session duration). If you are testing an intervention specifically aimed at prolonging sessions, those parallel modifications can blur the effect.</p><p>Ways to disentangle: &#8226; Controlled release: Only release the new &#8220;time-extension&#8221; feature to the experimental group and ensure other site changes roll out equally to control and experiment. &#8226; Feature flags: Use feature flagging systems to carefully manage who sees which changes, ensuring only the variable of interest differs across groups. &#8226; Historical baseline: If you have a stable, weeks-long baseline before the new feature, you can compare the shift in metrics between the control and experimental groups relative to that baseline.</p><p>A major pitfall is if you release a performance improvement that reduces page load times at the same time as your experiment. Users might ironically spend more time on the site because it&#8217;s now more engaging, or they might spend less time because checkout is smoother. This overlap makes it difficult to parse out the specific causal impact of your time-on-site intervention unless you carefully manage the rollout.</p><h2><strong>What if you discover that only a small subset of users exhibit the &#8220;more time = more purchases&#8221; pattern?</strong></h2><p>Sometimes, the relationship may hold strongly for a particular subgroup but not the broader user population. Perhaps advanced hobbyists or enthusiasts in a certain niche are more likely to read detailed content and ultimately buy. General users might just want quick access to key facts.</p><p>Investigatory steps: &#8226; Identify user segments or clusters based on behavior or demographics to see where the correlation is strongest. &#8226; In your causal experiment, stratify randomization to ensure that each segment has both control and treatment. Then measure the effect by segment. &#8226; If the correlation is meaningful only for a niche group, consider targeted strategies. For example, you might serve deeper content or product reviews only to those who have shown interest in advanced details, while keeping the process streamlined for casual buyers.</p><p>A nuanced pitfall is automatically assuming that a strong relationship in a small but engaged segment generalizes to all users. This could lead to sitewide changes that alienate the majority of visitors who do not appreciate the extra content or steps.</p><h2><strong>How do you assess whether confounding arises from user context, such as time of day or location?</strong></h2><p>A user&#8217;s environment (time of day, day of week, geographic location, local events) can influence both how long they stay on the site and whether they buy. For instance, late-evening shoppers might be more deliberate and spend more time browsing, or they might be rushing to place an order before next-day shipping cutoff.</p><p>Possible approaches: &#8226; Incorporate time-of-day or location indicators into your regression or matching models. &#8226; Segment the experiment by region or time slot so that randomization occurs within each slice, ensuring that both control and experimental groups have similar distributions of these contextual factors. &#8226; Analyze heatmaps of user activity across different times or places to see if there are consistent patterns in session duration and purchase rates that might explain the observed correlation.</p><p>Edge cases: &#8226; Some regions might have slower internet speeds, artificially inflating time on site without increasing purchase likelihood. &#8226; Certain time slots might correspond to impulse buying (e.g., late-night &#8220;shopping sprees&#8221;) where time on site is short but purchase rates are high.</p><p>Recognizing these context-driven behaviors helps refine the causal analysis and avoids overgeneralizing from data that may be heavily skewed by time or location effects.</p><h2><strong>How would you handle a scenario where purchase decisions span multiple sessions over several days?</strong></h2><p>In many product categories, users research over multiple sessions. A high-value purchase such as a car, a home appliance, or expensive electronics often involves reading product specs, comparing prices, and returning to the site multiple times before buying. A single session&#8217;s duration might not capture the total effort leading to a conversion.</p><p>Strategies to address multi-session journeys: &#8226; Combine sessions at the user level: Sum or average time across all sessions in a defined period (e.g., 30 days). Look at total engaged time vs. ultimate purchase decision. &#8226; Funnel analysis with time gating: Track how long it takes from the first session to purchase. If users who eventually buy have collectively more total time on site over multiple visits, that might be the real correlation rather than any single session length. &#8226; Experimental approach across sessions: If your experiment is about site design changes aimed at increasing total browsing time, ensure returning users always see the same variant. That way, you can accumulate their session time consistently in either the control or experimental condition.</p><p>A key pitfall is attributing a later purchase solely to the final session&#8217;s duration, when in reality the user formed their purchase intent during prior visits. Failing to account for these multi-visit paths can lead to misleading conclusions about the causal effect of session length in the final step.</p><h2><strong>How do you handle users who visit the site repeatedly without purchasing?</strong></h2><p>Some users might be &#8220;researchers&#8221; who frequently return to the site to compare prices or read reviews but never actually buy. Others might be driven to the site by promotions or curiosity but have no real intention of purchasing. These users can inflate your session duration metrics without contributing to revenue.</p><p>Possible approaches: &#8226; Thresholding based on purchase likelihood: You might exclude or separately analyze users who have never purchased or who have visited many times without buying. This can isolate the effect of session time on those who have some track record or indication of purchase intent. &#8226; Labeling &#8220;chronic browsers&#8221;: If you have a user who visited 20 times over three months with zero conversions, treat them as a different segment from typical one-time or occasional visitors. &#8226; Using predictions of user intent: Build a predictive model (e.g., with logistic regression or a gradient boosting approach) that estimates how likely a user is to purchase based on early session activity. Then, stratify or match based on that predicted intent to compare &#8220;similar-likelihood&#8221; users who differ in session duration.</p><p>An edge case occurs when these &#8220;repeat non-buyers&#8221; eventually convert after a very long cycle. By discarding them prematurely, you might miss late conversions. Balancing how to segment these users is crucial for robust analysis.</p><h2><strong>Could a causal relationship hold for one type of site layout but not another?</strong></h2><p>Website layout and user flow can drastically change how session duration and conversions interact. If your site is structured in a way that places relevant purchase information up front, users might quickly convert. On a different site with a more exploratory layout, users spend time searching for that same information.</p><p>In investigating this: &#8226; Test layout variations: Run an experiment comparing two different site layouts. In one variant, critical info is immediately visible; in the other, users need to navigate more deeply. If the layout that naturally leads to longer sessions also increases conversions, it suggests a potential causal effect, but you also want to ensure that you&#8217;re not just relocating where the purchase trigger resides on the page. &#8226; Track user path data: Identify the steps users take before checking out. If a certain path leads to more time but also more consistent purchases, see if it&#8217;s the structure of the path or the added time that matters. &#8226; Evaluate user satisfaction: A site layout might artificially extend session time (requiring more clicks to get key details) yet annoy customers. Another layout might boost time because it offers deeper content that genuinely informs the purchase decision.</p><p>The main pitfall here is conflating cause and effect: a layout requiring more clicks might correlate with longer sessions and slightly higher conversion, but the real driver could be that only extremely motivated customers are willing to go through extra steps. This is why randomizing the layout is crucial for causal claims.</p><h2><strong>How do you handle model drift or changes in user behavior over time when investigating a potential causal relationship?</strong></h2><p>User behavior can shift for reasons unrelated to your experiment: new trends, changes in competitor offerings, shifts in preferences. If you build a model or run a test and then rely on it long-term, you risk &#8220;model drift,&#8221; where the underlying relationship changes.</p><p>Methods to manage this: &#8226; Continuous experimentation: Periodically re-run A/B tests or incorporate holdout groups so that you detect if the effect of extended session time changes. &#8226; Rolling data updates: Continuously update your observational models with new data, re-checking if time on site remains a strong predictor or driver of purchases. &#8226; Monitoring external variables: Keep track of relevant industry changes, consumer sentiment, or economic indicators that might shift user motivations independently of your site experience.</p><p>A subtle issue is that an approach that worked six months ago may no longer hold if competitor sites introduced new features or if user shopping habits evolved. Always keep testing and validating the assumption that longer site sessions cause more purchases, especially in rapidly changing industries.</p><h2><strong>How do you weigh the trade-off between data granularity and user privacy, especially if you want to track each moment of site engagement?</strong></h2><p>Capturing highly granular data (e.g., tracking individual mouse movements, all clicks, or eye-gaze for every user) can yield precise estimates of how engaged a user truly is, but it can conflict with user privacy expectations or legal regulations such as GDPR or CCPA.</p><p>Balancing strategies: &#8226; Use aggregated or anonymized metrics: Rather than storing raw event-level data for all users, aggregate at the session or user level without retaining personally identifiable information. &#8226; Implement strict consent and data handling policies: If advanced tracking is essential for your business, ensure users explicitly opt in and that you communicate the purpose and scope of data collection clearly. &#8226; Differential privacy: For large-scale analyses, incorporate noise or other methods so that individual user activity cannot be tied back to personal information.</p><p>A pitfall is losing valuable causal insight if you adopt overly coarse metrics. Conversely, collecting too much personal data without a clear plan for usage and protection can lead to regulatory and reputational risks. Ensuring compliance and building trust with users is vital, especially when investigating metrics like time on site.</p><h2><strong>How might you statistically validate that your experiment or observational study is robust against multiple comparisons?</strong></h2><p>When exploring the potential causal effect of session duration, you might run many tests (different layouts, different user segments, multiple features). The more tests you run, the higher the chance of finding a &#8220;significant&#8221; result by random chance.</p><p>Mitigation steps: &#8226; Correct for multiple comparisons: Use approaches like the Bonferroni correction, the Holm&#8211;Bonferroni method, or false discovery rate (FDR) controls to adjust your p-values or significance thresholds. &#8226; Pre-register hypotheses: Clearly define in advance the primary outcome and secondary outcomes, so you avoid data-dredging or p-hacking. &#8226; Use hierarchical or Bayesian methods: Instead of testing each segment independently, consider hierarchical models that pool information across segments while adjusting for multiple comparisons.</p><p>A subtle pitfall is that if you do not account for these multiple comparisons, you might erroneously conclude there&#8217;s a strong causal relationship for some segment or test variant, when in reality it&#8217;s just a statistical fluke.</p><h2><strong>If a causal link is established, how do you ensure scaling up the intervention does not introduce new confounding factors?</strong></h2><p>When scaling an intervention sitewide (e.g., a new feature to encourage deeper engagement), the user population might differ from the smaller group in your test. Also, you might need more servers, change site architecture, or introduce marketing campaigns to showcase the feature&#8212;these changes can alter user behavior in ways not captured in the initial experiment.</p><p>Key considerations: &#8226; Phased rollouts: Gradually expand the treatment group from a small subset to a larger fraction of traffic, observing if the purchase lift remains consistent. &#8226; Monitor performance metrics: As usage scales, site speed or reliability might degrade if the new feature is computationally heavy. Slower performance could counteract any gains from extended sessions. &#8226; Reassess confounders: If a large-scale marketing push accompanies the full release, that marketing effort might be the real driver of higher conversions, confounding the effect of session length.</p><p>A potential edge case is that enthusiastic early adopters respond differently than the general population. If your small-scale test was run primarily on these enthusiasts, the broader user base might not exhibit the same behavior. Continuously measure across the entire deployment to confirm the effect remains.</p>]]></content:encoded></item><item><title><![CDATA[ML Interview Q Series: Estimating Exponential Distribution Rate Parameter using Maximum Likelihood]]></title><description><![CDATA[&#128218; Browse the full ML Interview series here.]]></description><link>https://www.rohan-paul.com/p/ml-interview-q-series-estimating-86c</link><guid isPermaLink="false">https://www.rohan-paul.com/p/ml-interview-q-series-estimating-86c</guid><pubDate>Fri, 13 Jun 2025 10:07:28 GMT</pubDate><enclosure url="https://substackcdn.com/image/fetch/$s_!DfYg!,f_auto,q_auto:good,fl_progressive:steep/https%3A%2F%2Fsubstack-post-media.s3.amazonaws.com%2Fpublic%2Fimages%2F8201417c-cdc6-4886-aae6-96dfb435315c_1024x573.png" length="0" type="image/jpeg"/><content:encoded><![CDATA[<div class="captioned-image-container"><figure><a class="image-link image2 is-viewable-img" target="_blank" href="https://substackcdn.com/image/fetch/$s_!DfYg!,f_auto,q_auto:good,fl_progressive:steep/https%3A%2F%2Fsubstack-post-media.s3.amazonaws.com%2Fpublic%2Fimages%2F8201417c-cdc6-4886-aae6-96dfb435315c_1024x573.png" data-component-name="Image2ToDOM"><div class="image2-inset"><picture><source type="image/webp" srcset="https://substackcdn.com/image/fetch/$s_!DfYg!,w_424,c_limit,f_webp,q_auto:good,fl_progressive:steep/https%3A%2F%2Fsubstack-post-media.s3.amazonaws.com%2Fpublic%2Fimages%2F8201417c-cdc6-4886-aae6-96dfb435315c_1024x573.png 424w, https://substackcdn.com/image/fetch/$s_!DfYg!,w_848,c_limit,f_webp,q_auto:good,fl_progressive:steep/https%3A%2F%2Fsubstack-post-media.s3.amazonaws.com%2Fpublic%2Fimages%2F8201417c-cdc6-4886-aae6-96dfb435315c_1024x573.png 848w, https://substackcdn.com/image/fetch/$s_!DfYg!,w_1272,c_limit,f_webp,q_auto:good,fl_progressive:steep/https%3A%2F%2Fsubstack-post-media.s3.amazonaws.com%2Fpublic%2Fimages%2F8201417c-cdc6-4886-aae6-96dfb435315c_1024x573.png 1272w, https://substackcdn.com/image/fetch/$s_!DfYg!,w_1456,c_limit,f_webp,q_auto:good,fl_progressive:steep/https%3A%2F%2Fsubstack-post-media.s3.amazonaws.com%2Fpublic%2Fimages%2F8201417c-cdc6-4886-aae6-96dfb435315c_1024x573.png 1456w" sizes="100vw"><img src="https://substackcdn.com/image/fetch/$s_!DfYg!,w_1456,c_limit,f_auto,q_auto:good,fl_progressive:steep/https%3A%2F%2Fsubstack-post-media.s3.amazonaws.com%2Fpublic%2Fimages%2F8201417c-cdc6-4886-aae6-96dfb435315c_1024x573.png" width="1024" height="573" data-attrs="{&quot;src&quot;:&quot;https://substack-post-media.s3.amazonaws.com/public/images/8201417c-cdc6-4886-aae6-96dfb435315c_1024x573.png&quot;,&quot;srcNoWatermark&quot;:null,&quot;fullscreen&quot;:null,&quot;imageSize&quot;:null,&quot;height&quot;:573,&quot;width&quot;:1024,&quot;resizeWidth&quot;:null,&quot;bytes&quot;:944580,&quot;alt&quot;:null,&quot;title&quot;:null,&quot;type&quot;:&quot;image/png&quot;,&quot;href&quot;:null,&quot;belowTheFold&quot;:false,&quot;topImage&quot;:true,&quot;internalRedirect&quot;:&quot;https://www.rohan-paul.com/i/165853859?img=https%3A%2F%2Fsubstack-post-media.s3.amazonaws.com%2Fpublic%2Fimages%2F8201417c-cdc6-4886-aae6-96dfb435315c_1024x573.png&quot;,&quot;isProcessing&quot;:false,&quot;align&quot;:null,&quot;offset&quot;:false}" class="sizing-normal" alt="" srcset="https://substackcdn.com/image/fetch/$s_!DfYg!,w_424,c_limit,f_auto,q_auto:good,fl_progressive:steep/https%3A%2F%2Fsubstack-post-media.s3.amazonaws.com%2Fpublic%2Fimages%2F8201417c-cdc6-4886-aae6-96dfb435315c_1024x573.png 424w, https://substackcdn.com/image/fetch/$s_!DfYg!,w_848,c_limit,f_auto,q_auto:good,fl_progressive:steep/https%3A%2F%2Fsubstack-post-media.s3.amazonaws.com%2Fpublic%2Fimages%2F8201417c-cdc6-4886-aae6-96dfb435315c_1024x573.png 848w, https://substackcdn.com/image/fetch/$s_!DfYg!,w_1272,c_limit,f_auto,q_auto:good,fl_progressive:steep/https%3A%2F%2Fsubstack-post-media.s3.amazonaws.com%2Fpublic%2Fimages%2F8201417c-cdc6-4886-aae6-96dfb435315c_1024x573.png 1272w, https://substackcdn.com/image/fetch/$s_!DfYg!,w_1456,c_limit,f_auto,q_auto:good,fl_progressive:steep/https%3A%2F%2Fsubstack-post-media.s3.amazonaws.com%2Fpublic%2Fimages%2F8201417c-cdc6-4886-aae6-96dfb435315c_1024x573.png 1456w" sizes="100vw" fetchpriority="high"></picture><div class="image-link-expand"><div class="pencraft pc-display-flex pc-gap-8 pc-reset"><button tabindex="0" type="button" class="pencraft pc-reset pencraft icon-container restack-image"><svg role="img" width="20" height="20" viewBox="0 0 20 20" fill="none" stroke-width="1.5" stroke="var(--color-fg-primary)" stroke-linecap="round" stroke-linejoin="round" xmlns="http://www.w3.org/2000/svg"><g><title></title><path d="M2.53001 7.81595C3.49179 4.73911 6.43281 2.5 9.91173 2.5C13.1684 2.5 15.9537 4.46214 17.0852 7.23684L17.6179 8.67647M17.6179 8.67647L18.5002 4.26471M17.6179 8.67647L13.6473 6.91176M17.4995 12.1841C16.5378 15.2609 13.5967 17.5 10.1178 17.5C6.86118 17.5 4.07589 15.5379 2.94432 12.7632L2.41165 11.3235M2.41165 11.3235L1.5293 15.7353M2.41165 11.3235L6.38224 13.0882"></path></g></svg></button><button tabindex="0" type="button" class="pencraft pc-reset pencraft icon-container view-image"><svg xmlns="http://www.w3.org/2000/svg" width="20" height="20" viewBox="0 0 24 24" fill="none" stroke="currentColor" stroke-width="2" stroke-linecap="round" stroke-linejoin="round" class="lucide lucide-maximize2 lucide-maximize-2"><polyline points="15 3 21 3 21 9"></polyline><polyline points="9 21 3 21 3 15"></polyline><line x1="21" x2="14" y1="3" y2="10"></line><line x1="3" x2="10" y1="21" y2="14"></line></svg></button></div></div></div></a></figure></div><p>&#128218; Browse <strong><a href="https://rohanpaul.substack.com/s/ml-interview-series/archive?sort=new">the full ML Interview series here</a></strong>.</p><h2><strong>Maximum Likelihood Estimation (Derivation): You have a set of independent observations drawn from an exponential distribution with unknown rate parameter &#955;. How would you derive the maximum likelihood estimator (MLE) for &#955;? Show the formulation of the likelihood function and the steps to obtain the MLE.</strong></h2><p class="button-wrapper" data-attrs="{&quot;url&quot;:&quot;https://x.com/rohanpaul_ai&quot;,&quot;text&quot;:&quot;Connect with me on X (Twitter)&quot;,&quot;action&quot;:null,&quot;class&quot;:&quot;button-wrapper&quot;}" data-component-name="ButtonCreateButton"><a class="button primary button-wrapper" href="https://x.com/rohanpaul_ai"><span>Connect with me on X (Twitter)</span></a></p><p>Deriving the maximum likelihood estimator (MLE) for the rate parameter &#955; of an exponential distribution is a foundational topic in statistics and machine learning. An exponential distribution with parameter &#955; (sometimes referred to as the rate parameter) has the probability density function (PDF):</p><div class="captioned-image-container"><figure><a class="image-link image2" target="_blank" href="https://substackcdn.com/image/fetch/$s_!RCRS!,f_auto,q_auto:good,fl_progressive:steep/https%3A%2F%2Fsubstack-post-media.s3.amazonaws.com%2Fpublic%2Fimages%2F5e754d80-aec1-4106-9948-b075696b1214_408x64.png" data-component-name="Image2ToDOM"><div class="image2-inset"><picture><source type="image/webp" srcset="https://substackcdn.com/image/fetch/$s_!RCRS!,w_424,c_limit,f_webp,q_auto:good,fl_progressive:steep/https%3A%2F%2Fsubstack-post-media.s3.amazonaws.com%2Fpublic%2Fimages%2F5e754d80-aec1-4106-9948-b075696b1214_408x64.png 424w, https://substackcdn.com/image/fetch/$s_!RCRS!,w_848,c_limit,f_webp,q_auto:good,fl_progressive:steep/https%3A%2F%2Fsubstack-post-media.s3.amazonaws.com%2Fpublic%2Fimages%2F5e754d80-aec1-4106-9948-b075696b1214_408x64.png 848w, https://substackcdn.com/image/fetch/$s_!RCRS!,w_1272,c_limit,f_webp,q_auto:good,fl_progressive:steep/https%3A%2F%2Fsubstack-post-media.s3.amazonaws.com%2Fpublic%2Fimages%2F5e754d80-aec1-4106-9948-b075696b1214_408x64.png 1272w, https://substackcdn.com/image/fetch/$s_!RCRS!,w_1456,c_limit,f_webp,q_auto:good,fl_progressive:steep/https%3A%2F%2Fsubstack-post-media.s3.amazonaws.com%2Fpublic%2Fimages%2F5e754d80-aec1-4106-9948-b075696b1214_408x64.png 1456w" sizes="100vw"><img src="https://substackcdn.com/image/fetch/$s_!RCRS!,w_1456,c_limit,f_auto,q_auto:good,fl_progressive:steep/https%3A%2F%2Fsubstack-post-media.s3.amazonaws.com%2Fpublic%2Fimages%2F5e754d80-aec1-4106-9948-b075696b1214_408x64.png" width="408" height="64" data-attrs="{&quot;src&quot;:&quot;https://substack-post-media.s3.amazonaws.com/public/images/5e754d80-aec1-4106-9948-b075696b1214_408x64.png&quot;,&quot;srcNoWatermark&quot;:null,&quot;fullscreen&quot;:null,&quot;imageSize&quot;:null,&quot;height&quot;:64,&quot;width&quot;:408,&quot;resizeWidth&quot;:null,&quot;bytes&quot;:6481,&quot;alt&quot;:null,&quot;title&quot;:null,&quot;type&quot;:&quot;image/png&quot;,&quot;href&quot;:null,&quot;belowTheFold&quot;:false,&quot;topImage&quot;:false,&quot;internalRedirect&quot;:&quot;https://www.rohan-paul.com/i/165853859?img=https%3A%2F%2Fsubstack-post-media.s3.amazonaws.com%2Fpublic%2Fimages%2F5e754d80-aec1-4106-9948-b075696b1214_408x64.png&quot;,&quot;isProcessing&quot;:false,&quot;align&quot;:null,&quot;offset&quot;:false}" class="sizing-normal" alt="" srcset="https://substackcdn.com/image/fetch/$s_!RCRS!,w_424,c_limit,f_auto,q_auto:good,fl_progressive:steep/https%3A%2F%2Fsubstack-post-media.s3.amazonaws.com%2Fpublic%2Fimages%2F5e754d80-aec1-4106-9948-b075696b1214_408x64.png 424w, https://substackcdn.com/image/fetch/$s_!RCRS!,w_848,c_limit,f_auto,q_auto:good,fl_progressive:steep/https%3A%2F%2Fsubstack-post-media.s3.amazonaws.com%2Fpublic%2Fimages%2F5e754d80-aec1-4106-9948-b075696b1214_408x64.png 848w, https://substackcdn.com/image/fetch/$s_!RCRS!,w_1272,c_limit,f_auto,q_auto:good,fl_progressive:steep/https%3A%2F%2Fsubstack-post-media.s3.amazonaws.com%2Fpublic%2Fimages%2F5e754d80-aec1-4106-9948-b075696b1214_408x64.png 1272w, https://substackcdn.com/image/fetch/$s_!RCRS!,w_1456,c_limit,f_auto,q_auto:good,fl_progressive:steep/https%3A%2F%2Fsubstack-post-media.s3.amazonaws.com%2Fpublic%2Fimages%2F5e754d80-aec1-4106-9948-b075696b1214_408x64.png 1456w" sizes="100vw"></picture><div></div></div></a></figure></div><p>Below is a detailed explanation of how to derive the MLE, with step-by-step reasoning of the formulation of the likelihood function, the log-likelihood, taking derivatives, and solving for &#955;. This step-by-step approach helps ensure we understand every aspect of the derivation thoroughly.</p><p>ML ESTIMATION OF &#955;</p><div class="captioned-image-container"><figure><a class="image-link image2" target="_blank" href="https://substackcdn.com/image/fetch/$s_!CMMF!,f_auto,q_auto:good,fl_progressive:steep/https%3A%2F%2Fsubstack-post-media.s3.amazonaws.com%2Fpublic%2Fimages%2F13cad8f4-f4e2-401a-8d1f-815c4f441f70_937x238.png" data-component-name="Image2ToDOM"><div class="image2-inset"><picture><source type="image/webp" srcset="https://substackcdn.com/image/fetch/$s_!CMMF!,w_424,c_limit,f_webp,q_auto:good,fl_progressive:steep/https%3A%2F%2Fsubstack-post-media.s3.amazonaws.com%2Fpublic%2Fimages%2F13cad8f4-f4e2-401a-8d1f-815c4f441f70_937x238.png 424w, https://substackcdn.com/image/fetch/$s_!CMMF!,w_848,c_limit,f_webp,q_auto:good,fl_progressive:steep/https%3A%2F%2Fsubstack-post-media.s3.amazonaws.com%2Fpublic%2Fimages%2F13cad8f4-f4e2-401a-8d1f-815c4f441f70_937x238.png 848w, https://substackcdn.com/image/fetch/$s_!CMMF!,w_1272,c_limit,f_webp,q_auto:good,fl_progressive:steep/https%3A%2F%2Fsubstack-post-media.s3.amazonaws.com%2Fpublic%2Fimages%2F13cad8f4-f4e2-401a-8d1f-815c4f441f70_937x238.png 1272w, https://substackcdn.com/image/fetch/$s_!CMMF!,w_1456,c_limit,f_webp,q_auto:good,fl_progressive:steep/https%3A%2F%2Fsubstack-post-media.s3.amazonaws.com%2Fpublic%2Fimages%2F13cad8f4-f4e2-401a-8d1f-815c4f441f70_937x238.png 1456w" sizes="100vw"><img src="https://substackcdn.com/image/fetch/$s_!CMMF!,w_1456,c_limit,f_auto,q_auto:good,fl_progressive:steep/https%3A%2F%2Fsubstack-post-media.s3.amazonaws.com%2Fpublic%2Fimages%2F13cad8f4-f4e2-401a-8d1f-815c4f441f70_937x238.png" width="937" height="238" data-attrs="{&quot;src&quot;:&quot;https://substack-post-media.s3.amazonaws.com/public/images/13cad8f4-f4e2-401a-8d1f-815c4f441f70_937x238.png&quot;,&quot;srcNoWatermark&quot;:null,&quot;fullscreen&quot;:null,&quot;imageSize&quot;:null,&quot;height&quot;:238,&quot;width&quot;:937,&quot;resizeWidth&quot;:null,&quot;bytes&quot;:52319,&quot;alt&quot;:null,&quot;title&quot;:null,&quot;type&quot;:&quot;image/png&quot;,&quot;href&quot;:null,&quot;belowTheFold&quot;:false,&quot;topImage&quot;:false,&quot;internalRedirect&quot;:&quot;https://www.rohan-paul.com/i/165853859?img=https%3A%2F%2Fsubstack-post-media.s3.amazonaws.com%2Fpublic%2Fimages%2F13cad8f4-f4e2-401a-8d1f-815c4f441f70_937x238.png&quot;,&quot;isProcessing&quot;:false,&quot;align&quot;:null,&quot;offset&quot;:false}" class="sizing-normal" alt="" srcset="https://substackcdn.com/image/fetch/$s_!CMMF!,w_424,c_limit,f_auto,q_auto:good,fl_progressive:steep/https%3A%2F%2Fsubstack-post-media.s3.amazonaws.com%2Fpublic%2Fimages%2F13cad8f4-f4e2-401a-8d1f-815c4f441f70_937x238.png 424w, https://substackcdn.com/image/fetch/$s_!CMMF!,w_848,c_limit,f_auto,q_auto:good,fl_progressive:steep/https%3A%2F%2Fsubstack-post-media.s3.amazonaws.com%2Fpublic%2Fimages%2F13cad8f4-f4e2-401a-8d1f-815c4f441f70_937x238.png 848w, https://substackcdn.com/image/fetch/$s_!CMMF!,w_1272,c_limit,f_auto,q_auto:good,fl_progressive:steep/https%3A%2F%2Fsubstack-post-media.s3.amazonaws.com%2Fpublic%2Fimages%2F13cad8f4-f4e2-401a-8d1f-815c4f441f70_937x238.png 1272w, https://substackcdn.com/image/fetch/$s_!CMMF!,w_1456,c_limit,f_auto,q_auto:good,fl_progressive:steep/https%3A%2F%2Fsubstack-post-media.s3.amazonaws.com%2Fpublic%2Fimages%2F13cad8f4-f4e2-401a-8d1f-815c4f441f70_937x238.png 1456w" sizes="100vw"></picture><div></div></div></a></figure></div><p>Likelihood Function</p><div class="captioned-image-container"><figure><a class="image-link image2 is-viewable-img" target="_blank" href="https://substackcdn.com/image/fetch/$s_!TLmq!,f_auto,q_auto:good,fl_progressive:steep/https%3A%2F%2Fsubstack-post-media.s3.amazonaws.com%2Fpublic%2Fimages%2F8823ccf8-ed90-413d-a4c4-022a5646b55e_912x339.png" data-component-name="Image2ToDOM"><div class="image2-inset"><picture><source type="image/webp" srcset="https://substackcdn.com/image/fetch/$s_!TLmq!,w_424,c_limit,f_webp,q_auto:good,fl_progressive:steep/https%3A%2F%2Fsubstack-post-media.s3.amazonaws.com%2Fpublic%2Fimages%2F8823ccf8-ed90-413d-a4c4-022a5646b55e_912x339.png 424w, https://substackcdn.com/image/fetch/$s_!TLmq!,w_848,c_limit,f_webp,q_auto:good,fl_progressive:steep/https%3A%2F%2Fsubstack-post-media.s3.amazonaws.com%2Fpublic%2Fimages%2F8823ccf8-ed90-413d-a4c4-022a5646b55e_912x339.png 848w, https://substackcdn.com/image/fetch/$s_!TLmq!,w_1272,c_limit,f_webp,q_auto:good,fl_progressive:steep/https%3A%2F%2Fsubstack-post-media.s3.amazonaws.com%2Fpublic%2Fimages%2F8823ccf8-ed90-413d-a4c4-022a5646b55e_912x339.png 1272w, https://substackcdn.com/image/fetch/$s_!TLmq!,w_1456,c_limit,f_webp,q_auto:good,fl_progressive:steep/https%3A%2F%2Fsubstack-post-media.s3.amazonaws.com%2Fpublic%2Fimages%2F8823ccf8-ed90-413d-a4c4-022a5646b55e_912x339.png 1456w" sizes="100vw"><img src="https://substackcdn.com/image/fetch/$s_!TLmq!,w_1456,c_limit,f_auto,q_auto:good,fl_progressive:steep/https%3A%2F%2Fsubstack-post-media.s3.amazonaws.com%2Fpublic%2Fimages%2F8823ccf8-ed90-413d-a4c4-022a5646b55e_912x339.png" width="912" height="339" data-attrs="{&quot;src&quot;:&quot;https://substack-post-media.s3.amazonaws.com/public/images/8823ccf8-ed90-413d-a4c4-022a5646b55e_912x339.png&quot;,&quot;srcNoWatermark&quot;:null,&quot;fullscreen&quot;:null,&quot;imageSize&quot;:null,&quot;height&quot;:339,&quot;width&quot;:912,&quot;resizeWidth&quot;:null,&quot;bytes&quot;:47232,&quot;alt&quot;:null,&quot;title&quot;:null,&quot;type&quot;:&quot;image/png&quot;,&quot;href&quot;:null,&quot;belowTheFold&quot;:true,&quot;topImage&quot;:false,&quot;internalRedirect&quot;:&quot;https://www.rohan-paul.com/i/165853859?img=https%3A%2F%2Fsubstack-post-media.s3.amazonaws.com%2Fpublic%2Fimages%2F8823ccf8-ed90-413d-a4c4-022a5646b55e_912x339.png&quot;,&quot;isProcessing&quot;:false,&quot;align&quot;:null,&quot;offset&quot;:false}" class="sizing-normal" alt="" srcset="https://substackcdn.com/image/fetch/$s_!TLmq!,w_424,c_limit,f_auto,q_auto:good,fl_progressive:steep/https%3A%2F%2Fsubstack-post-media.s3.amazonaws.com%2Fpublic%2Fimages%2F8823ccf8-ed90-413d-a4c4-022a5646b55e_912x339.png 424w, https://substackcdn.com/image/fetch/$s_!TLmq!,w_848,c_limit,f_auto,q_auto:good,fl_progressive:steep/https%3A%2F%2Fsubstack-post-media.s3.amazonaws.com%2Fpublic%2Fimages%2F8823ccf8-ed90-413d-a4c4-022a5646b55e_912x339.png 848w, https://substackcdn.com/image/fetch/$s_!TLmq!,w_1272,c_limit,f_auto,q_auto:good,fl_progressive:steep/https%3A%2F%2Fsubstack-post-media.s3.amazonaws.com%2Fpublic%2Fimages%2F8823ccf8-ed90-413d-a4c4-022a5646b55e_912x339.png 1272w, https://substackcdn.com/image/fetch/$s_!TLmq!,w_1456,c_limit,f_auto,q_auto:good,fl_progressive:steep/https%3A%2F%2Fsubstack-post-media.s3.amazonaws.com%2Fpublic%2Fimages%2F8823ccf8-ed90-413d-a4c4-022a5646b55e_912x339.png 1456w" sizes="100vw" loading="lazy"></picture><div class="image-link-expand"><div class="pencraft pc-display-flex pc-gap-8 pc-reset"><button tabindex="0" type="button" class="pencraft pc-reset pencraft icon-container restack-image"><svg role="img" width="20" height="20" viewBox="0 0 20 20" fill="none" stroke-width="1.5" stroke="var(--color-fg-primary)" stroke-linecap="round" stroke-linejoin="round" xmlns="http://www.w3.org/2000/svg"><g><title></title><path d="M2.53001 7.81595C3.49179 4.73911 6.43281 2.5 9.91173 2.5C13.1684 2.5 15.9537 4.46214 17.0852 7.23684L17.6179 8.67647M17.6179 8.67647L18.5002 4.26471M17.6179 8.67647L13.6473 6.91176M17.4995 12.1841C16.5378 15.2609 13.5967 17.5 10.1178 17.5C6.86118 17.5 4.07589 15.5379 2.94432 12.7632L2.41165 11.3235M2.41165 11.3235L1.5293 15.7353M2.41165 11.3235L6.38224 13.0882"></path></g></svg></button><button tabindex="0" type="button" class="pencraft pc-reset pencraft icon-container view-image"><svg xmlns="http://www.w3.org/2000/svg" width="20" height="20" viewBox="0 0 24 24" fill="none" stroke="currentColor" stroke-width="2" stroke-linecap="round" stroke-linejoin="round" class="lucide lucide-maximize2 lucide-maximize-2"><polyline points="15 3 21 3 21 9"></polyline><polyline points="9 21 3 21 3 15"></polyline><line x1="21" x2="14" y1="3" y2="10"></line><line x1="3" x2="10" y1="21" y2="14"></line></svg></button></div></div></div></a></figure></div><p>Log-Likelihood Function</p><p>To make calculations and differentiation more convenient, we work with the log-likelihood function &#8467;(&#955;)=ln&#8289;L(&#955;). This transformation is strictly increasing, so maximizing the log-likelihood yields the same solution as maximizing the likelihood:</p><div class="captioned-image-container"><figure><a class="image-link image2" target="_blank" href="https://substackcdn.com/image/fetch/$s_!TgGQ!,f_auto,q_auto:good,fl_progressive:steep/https%3A%2F%2Fsubstack-post-media.s3.amazonaws.com%2Fpublic%2Fimages%2Fb3939cdf-7499-4db2-8294-6decb585a620_1140x219.png" data-component-name="Image2ToDOM"><div class="image2-inset"><picture><source type="image/webp" srcset="https://substackcdn.com/image/fetch/$s_!TgGQ!,w_424,c_limit,f_webp,q_auto:good,fl_progressive:steep/https%3A%2F%2Fsubstack-post-media.s3.amazonaws.com%2Fpublic%2Fimages%2Fb3939cdf-7499-4db2-8294-6decb585a620_1140x219.png 424w, https://substackcdn.com/image/fetch/$s_!TgGQ!,w_848,c_limit,f_webp,q_auto:good,fl_progressive:steep/https%3A%2F%2Fsubstack-post-media.s3.amazonaws.com%2Fpublic%2Fimages%2Fb3939cdf-7499-4db2-8294-6decb585a620_1140x219.png 848w, https://substackcdn.com/image/fetch/$s_!TgGQ!,w_1272,c_limit,f_webp,q_auto:good,fl_progressive:steep/https%3A%2F%2Fsubstack-post-media.s3.amazonaws.com%2Fpublic%2Fimages%2Fb3939cdf-7499-4db2-8294-6decb585a620_1140x219.png 1272w, https://substackcdn.com/image/fetch/$s_!TgGQ!,w_1456,c_limit,f_webp,q_auto:good,fl_progressive:steep/https%3A%2F%2Fsubstack-post-media.s3.amazonaws.com%2Fpublic%2Fimages%2Fb3939cdf-7499-4db2-8294-6decb585a620_1140x219.png 1456w" sizes="100vw"><img src="https://substackcdn.com/image/fetch/$s_!TgGQ!,w_1456,c_limit,f_auto,q_auto:good,fl_progressive:steep/https%3A%2F%2Fsubstack-post-media.s3.amazonaws.com%2Fpublic%2Fimages%2Fb3939cdf-7499-4db2-8294-6decb585a620_1140x219.png" width="1140" height="219" data-attrs="{&quot;src&quot;:&quot;https://substack-post-media.s3.amazonaws.com/public/images/b3939cdf-7499-4db2-8294-6decb585a620_1140x219.png&quot;,&quot;srcNoWatermark&quot;:null,&quot;fullscreen&quot;:null,&quot;imageSize&quot;:null,&quot;height&quot;:219,&quot;width&quot;:1140,&quot;resizeWidth&quot;:null,&quot;bytes&quot;:22684,&quot;alt&quot;:null,&quot;title&quot;:null,&quot;type&quot;:&quot;image/png&quot;,&quot;href&quot;:null,&quot;belowTheFold&quot;:true,&quot;topImage&quot;:false,&quot;internalRedirect&quot;:&quot;https://www.rohan-paul.com/i/165853859?img=https%3A%2F%2Fsubstack-post-media.s3.amazonaws.com%2Fpublic%2Fimages%2Fb3939cdf-7499-4db2-8294-6decb585a620_1140x219.png&quot;,&quot;isProcessing&quot;:false,&quot;align&quot;:null,&quot;offset&quot;:false}" class="sizing-normal" alt="" srcset="https://substackcdn.com/image/fetch/$s_!TgGQ!,w_424,c_limit,f_auto,q_auto:good,fl_progressive:steep/https%3A%2F%2Fsubstack-post-media.s3.amazonaws.com%2Fpublic%2Fimages%2Fb3939cdf-7499-4db2-8294-6decb585a620_1140x219.png 424w, https://substackcdn.com/image/fetch/$s_!TgGQ!,w_848,c_limit,f_auto,q_auto:good,fl_progressive:steep/https%3A%2F%2Fsubstack-post-media.s3.amazonaws.com%2Fpublic%2Fimages%2Fb3939cdf-7499-4db2-8294-6decb585a620_1140x219.png 848w, https://substackcdn.com/image/fetch/$s_!TgGQ!,w_1272,c_limit,f_auto,q_auto:good,fl_progressive:steep/https%3A%2F%2Fsubstack-post-media.s3.amazonaws.com%2Fpublic%2Fimages%2Fb3939cdf-7499-4db2-8294-6decb585a620_1140x219.png 1272w, https://substackcdn.com/image/fetch/$s_!TgGQ!,w_1456,c_limit,f_auto,q_auto:good,fl_progressive:steep/https%3A%2F%2Fsubstack-post-media.s3.amazonaws.com%2Fpublic%2Fimages%2Fb3939cdf-7499-4db2-8294-6decb585a620_1140x219.png 1456w" sizes="100vw" loading="lazy"></picture><div></div></div></a></figure></div><p>Taking the Derivative and Setting It to Zero</p><p>To find the maximum with respect to &#955;, we take the derivative of &#8467;(&#955;) with respect to &#955; and set it equal to zero:</p><div class="captioned-image-container"><figure><a class="image-link image2" target="_blank" href="https://substackcdn.com/image/fetch/$s_!MvrT!,f_auto,q_auto:good,fl_progressive:steep/https%3A%2F%2Fsubstack-post-media.s3.amazonaws.com%2Fpublic%2Fimages%2F6ed3fd22-fa15-4122-89bb-a9a533dc15da_286x69.png" data-component-name="Image2ToDOM"><div class="image2-inset"><picture><source type="image/webp" srcset="https://substackcdn.com/image/fetch/$s_!MvrT!,w_424,c_limit,f_webp,q_auto:good,fl_progressive:steep/https%3A%2F%2Fsubstack-post-media.s3.amazonaws.com%2Fpublic%2Fimages%2F6ed3fd22-fa15-4122-89bb-a9a533dc15da_286x69.png 424w, https://substackcdn.com/image/fetch/$s_!MvrT!,w_848,c_limit,f_webp,q_auto:good,fl_progressive:steep/https%3A%2F%2Fsubstack-post-media.s3.amazonaws.com%2Fpublic%2Fimages%2F6ed3fd22-fa15-4122-89bb-a9a533dc15da_286x69.png 848w, https://substackcdn.com/image/fetch/$s_!MvrT!,w_1272,c_limit,f_webp,q_auto:good,fl_progressive:steep/https%3A%2F%2Fsubstack-post-media.s3.amazonaws.com%2Fpublic%2Fimages%2F6ed3fd22-fa15-4122-89bb-a9a533dc15da_286x69.png 1272w, https://substackcdn.com/image/fetch/$s_!MvrT!,w_1456,c_limit,f_webp,q_auto:good,fl_progressive:steep/https%3A%2F%2Fsubstack-post-media.s3.amazonaws.com%2Fpublic%2Fimages%2F6ed3fd22-fa15-4122-89bb-a9a533dc15da_286x69.png 1456w" sizes="100vw"><img src="https://substackcdn.com/image/fetch/$s_!MvrT!,w_1456,c_limit,f_auto,q_auto:good,fl_progressive:steep/https%3A%2F%2Fsubstack-post-media.s3.amazonaws.com%2Fpublic%2Fimages%2F6ed3fd22-fa15-4122-89bb-a9a533dc15da_286x69.png" width="286" height="69" data-attrs="{&quot;src&quot;:&quot;https://substack-post-media.s3.amazonaws.com/public/images/6ed3fd22-fa15-4122-89bb-a9a533dc15da_286x69.png&quot;,&quot;srcNoWatermark&quot;:null,&quot;fullscreen&quot;:null,&quot;imageSize&quot;:null,&quot;height&quot;:69,&quot;width&quot;:286,&quot;resizeWidth&quot;:null,&quot;bytes&quot;:5372,&quot;alt&quot;:null,&quot;title&quot;:null,&quot;type&quot;:&quot;image/png&quot;,&quot;href&quot;:null,&quot;belowTheFold&quot;:true,&quot;topImage&quot;:false,&quot;internalRedirect&quot;:&quot;https://www.rohan-paul.com/i/165853859?img=https%3A%2F%2Fsubstack-post-media.s3.amazonaws.com%2Fpublic%2Fimages%2F6ed3fd22-fa15-4122-89bb-a9a533dc15da_286x69.png&quot;,&quot;isProcessing&quot;:false,&quot;align&quot;:null,&quot;offset&quot;:false}" class="sizing-normal" alt="" srcset="https://substackcdn.com/image/fetch/$s_!MvrT!,w_424,c_limit,f_auto,q_auto:good,fl_progressive:steep/https%3A%2F%2Fsubstack-post-media.s3.amazonaws.com%2Fpublic%2Fimages%2F6ed3fd22-fa15-4122-89bb-a9a533dc15da_286x69.png 424w, https://substackcdn.com/image/fetch/$s_!MvrT!,w_848,c_limit,f_auto,q_auto:good,fl_progressive:steep/https%3A%2F%2Fsubstack-post-media.s3.amazonaws.com%2Fpublic%2Fimages%2F6ed3fd22-fa15-4122-89bb-a9a533dc15da_286x69.png 848w, https://substackcdn.com/image/fetch/$s_!MvrT!,w_1272,c_limit,f_auto,q_auto:good,fl_progressive:steep/https%3A%2F%2Fsubstack-post-media.s3.amazonaws.com%2Fpublic%2Fimages%2F6ed3fd22-fa15-4122-89bb-a9a533dc15da_286x69.png 1272w, https://substackcdn.com/image/fetch/$s_!MvrT!,w_1456,c_limit,f_auto,q_auto:good,fl_progressive:steep/https%3A%2F%2Fsubstack-post-media.s3.amazonaws.com%2Fpublic%2Fimages%2F6ed3fd22-fa15-4122-89bb-a9a533dc15da_286x69.png 1456w" sizes="100vw" loading="lazy"></picture><div></div></div></a></figure></div><p>Setting this derivative to zero:</p><div class="captioned-image-container"><figure><a class="image-link image2" target="_blank" href="https://substackcdn.com/image/fetch/$s_!q8zi!,f_auto,q_auto:good,fl_progressive:steep/https%3A%2F%2Fsubstack-post-media.s3.amazonaws.com%2Fpublic%2Fimages%2Fd19ec962-5b16-4380-9c51-0a17529c50b8_444x226.png" data-component-name="Image2ToDOM"><div class="image2-inset"><picture><source type="image/webp" srcset="https://substackcdn.com/image/fetch/$s_!q8zi!,w_424,c_limit,f_webp,q_auto:good,fl_progressive:steep/https%3A%2F%2Fsubstack-post-media.s3.amazonaws.com%2Fpublic%2Fimages%2Fd19ec962-5b16-4380-9c51-0a17529c50b8_444x226.png 424w, https://substackcdn.com/image/fetch/$s_!q8zi!,w_848,c_limit,f_webp,q_auto:good,fl_progressive:steep/https%3A%2F%2Fsubstack-post-media.s3.amazonaws.com%2Fpublic%2Fimages%2Fd19ec962-5b16-4380-9c51-0a17529c50b8_444x226.png 848w, https://substackcdn.com/image/fetch/$s_!q8zi!,w_1272,c_limit,f_webp,q_auto:good,fl_progressive:steep/https%3A%2F%2Fsubstack-post-media.s3.amazonaws.com%2Fpublic%2Fimages%2Fd19ec962-5b16-4380-9c51-0a17529c50b8_444x226.png 1272w, https://substackcdn.com/image/fetch/$s_!q8zi!,w_1456,c_limit,f_webp,q_auto:good,fl_progressive:steep/https%3A%2F%2Fsubstack-post-media.s3.amazonaws.com%2Fpublic%2Fimages%2Fd19ec962-5b16-4380-9c51-0a17529c50b8_444x226.png 1456w" sizes="100vw"><img src="https://substackcdn.com/image/fetch/$s_!q8zi!,w_1456,c_limit,f_auto,q_auto:good,fl_progressive:steep/https%3A%2F%2Fsubstack-post-media.s3.amazonaws.com%2Fpublic%2Fimages%2Fd19ec962-5b16-4380-9c51-0a17529c50b8_444x226.png" width="444" height="226" data-attrs="{&quot;src&quot;:&quot;https://substack-post-media.s3.amazonaws.com/public/images/d19ec962-5b16-4380-9c51-0a17529c50b8_444x226.png&quot;,&quot;srcNoWatermark&quot;:null,&quot;fullscreen&quot;:null,&quot;imageSize&quot;:null,&quot;height&quot;:226,&quot;width&quot;:444,&quot;resizeWidth&quot;:null,&quot;bytes&quot;:11046,&quot;alt&quot;:null,&quot;title&quot;:null,&quot;type&quot;:&quot;image/png&quot;,&quot;href&quot;:null,&quot;belowTheFold&quot;:true,&quot;topImage&quot;:false,&quot;internalRedirect&quot;:&quot;https://www.rohan-paul.com/i/165853859?img=https%3A%2F%2Fsubstack-post-media.s3.amazonaws.com%2Fpublic%2Fimages%2Fd19ec962-5b16-4380-9c51-0a17529c50b8_444x226.png&quot;,&quot;isProcessing&quot;:false,&quot;align&quot;:null,&quot;offset&quot;:false}" class="sizing-normal" alt="" srcset="https://substackcdn.com/image/fetch/$s_!q8zi!,w_424,c_limit,f_auto,q_auto:good,fl_progressive:steep/https%3A%2F%2Fsubstack-post-media.s3.amazonaws.com%2Fpublic%2Fimages%2Fd19ec962-5b16-4380-9c51-0a17529c50b8_444x226.png 424w, https://substackcdn.com/image/fetch/$s_!q8zi!,w_848,c_limit,f_auto,q_auto:good,fl_progressive:steep/https%3A%2F%2Fsubstack-post-media.s3.amazonaws.com%2Fpublic%2Fimages%2Fd19ec962-5b16-4380-9c51-0a17529c50b8_444x226.png 848w, https://substackcdn.com/image/fetch/$s_!q8zi!,w_1272,c_limit,f_auto,q_auto:good,fl_progressive:steep/https%3A%2F%2Fsubstack-post-media.s3.amazonaws.com%2Fpublic%2Fimages%2Fd19ec962-5b16-4380-9c51-0a17529c50b8_444x226.png 1272w, https://substackcdn.com/image/fetch/$s_!q8zi!,w_1456,c_limit,f_auto,q_auto:good,fl_progressive:steep/https%3A%2F%2Fsubstack-post-media.s3.amazonaws.com%2Fpublic%2Fimages%2Fd19ec962-5b16-4380-9c51-0a17529c50b8_444x226.png 1456w" sizes="100vw" loading="lazy"></picture><div></div></div></a></figure></div><p>Solving for &#955;</p><p>Rearranging the above equation, we get:</p><div class="captioned-image-container"><figure><a class="image-link image2" target="_blank" href="https://substackcdn.com/image/fetch/$s_!fOoq!,f_auto,q_auto:good,fl_progressive:steep/https%3A%2F%2Fsubstack-post-media.s3.amazonaws.com%2Fpublic%2Fimages%2F59de2624-046a-4834-9c07-0de1e3992e87_353x208.png" data-component-name="Image2ToDOM"><div class="image2-inset"><picture><source type="image/webp" srcset="https://substackcdn.com/image/fetch/$s_!fOoq!,w_424,c_limit,f_webp,q_auto:good,fl_progressive:steep/https%3A%2F%2Fsubstack-post-media.s3.amazonaws.com%2Fpublic%2Fimages%2F59de2624-046a-4834-9c07-0de1e3992e87_353x208.png 424w, https://substackcdn.com/image/fetch/$s_!fOoq!,w_848,c_limit,f_webp,q_auto:good,fl_progressive:steep/https%3A%2F%2Fsubstack-post-media.s3.amazonaws.com%2Fpublic%2Fimages%2F59de2624-046a-4834-9c07-0de1e3992e87_353x208.png 848w, https://substackcdn.com/image/fetch/$s_!fOoq!,w_1272,c_limit,f_webp,q_auto:good,fl_progressive:steep/https%3A%2F%2Fsubstack-post-media.s3.amazonaws.com%2Fpublic%2Fimages%2F59de2624-046a-4834-9c07-0de1e3992e87_353x208.png 1272w, https://substackcdn.com/image/fetch/$s_!fOoq!,w_1456,c_limit,f_webp,q_auto:good,fl_progressive:steep/https%3A%2F%2Fsubstack-post-media.s3.amazonaws.com%2Fpublic%2Fimages%2F59de2624-046a-4834-9c07-0de1e3992e87_353x208.png 1456w" sizes="100vw"><img src="https://substackcdn.com/image/fetch/$s_!fOoq!,w_1456,c_limit,f_auto,q_auto:good,fl_progressive:steep/https%3A%2F%2Fsubstack-post-media.s3.amazonaws.com%2Fpublic%2Fimages%2F59de2624-046a-4834-9c07-0de1e3992e87_353x208.png" width="353" height="208" data-attrs="{&quot;src&quot;:&quot;https://substack-post-media.s3.amazonaws.com/public/images/59de2624-046a-4834-9c07-0de1e3992e87_353x208.png&quot;,&quot;srcNoWatermark&quot;:null,&quot;fullscreen&quot;:null,&quot;imageSize&quot;:null,&quot;height&quot;:208,&quot;width&quot;:353,&quot;resizeWidth&quot;:null,&quot;bytes&quot;:9521,&quot;alt&quot;:null,&quot;title&quot;:null,&quot;type&quot;:&quot;image/png&quot;,&quot;href&quot;:null,&quot;belowTheFold&quot;:true,&quot;topImage&quot;:false,&quot;internalRedirect&quot;:&quot;https://www.rohan-paul.com/i/165853859?img=https%3A%2F%2Fsubstack-post-media.s3.amazonaws.com%2Fpublic%2Fimages%2F59de2624-046a-4834-9c07-0de1e3992e87_353x208.png&quot;,&quot;isProcessing&quot;:false,&quot;align&quot;:null,&quot;offset&quot;:false}" class="sizing-normal" alt="" srcset="https://substackcdn.com/image/fetch/$s_!fOoq!,w_424,c_limit,f_auto,q_auto:good,fl_progressive:steep/https%3A%2F%2Fsubstack-post-media.s3.amazonaws.com%2Fpublic%2Fimages%2F59de2624-046a-4834-9c07-0de1e3992e87_353x208.png 424w, https://substackcdn.com/image/fetch/$s_!fOoq!,w_848,c_limit,f_auto,q_auto:good,fl_progressive:steep/https%3A%2F%2Fsubstack-post-media.s3.amazonaws.com%2Fpublic%2Fimages%2F59de2624-046a-4834-9c07-0de1e3992e87_353x208.png 848w, https://substackcdn.com/image/fetch/$s_!fOoq!,w_1272,c_limit,f_auto,q_auto:good,fl_progressive:steep/https%3A%2F%2Fsubstack-post-media.s3.amazonaws.com%2Fpublic%2Fimages%2F59de2624-046a-4834-9c07-0de1e3992e87_353x208.png 1272w, https://substackcdn.com/image/fetch/$s_!fOoq!,w_1456,c_limit,f_auto,q_auto:good,fl_progressive:steep/https%3A%2F%2Fsubstack-post-media.s3.amazonaws.com%2Fpublic%2Fimages%2F59de2624-046a-4834-9c07-0de1e3992e87_353x208.png 1456w" sizes="100vw" loading="lazy"></picture><div></div></div></a></figure></div><p>Therefore,</p><div class="captioned-image-container"><figure><a class="image-link image2" target="_blank" href="https://substackcdn.com/image/fetch/$s_!Tllq!,f_auto,q_auto:good,fl_progressive:steep/https%3A%2F%2Fsubstack-post-media.s3.amazonaws.com%2Fpublic%2Fimages%2F7d045f8a-9753-425b-a79e-637c3c7539ba_422x181.png" data-component-name="Image2ToDOM"><div class="image2-inset"><picture><source type="image/webp" srcset="https://substackcdn.com/image/fetch/$s_!Tllq!,w_424,c_limit,f_webp,q_auto:good,fl_progressive:steep/https%3A%2F%2Fsubstack-post-media.s3.amazonaws.com%2Fpublic%2Fimages%2F7d045f8a-9753-425b-a79e-637c3c7539ba_422x181.png 424w, https://substackcdn.com/image/fetch/$s_!Tllq!,w_848,c_limit,f_webp,q_auto:good,fl_progressive:steep/https%3A%2F%2Fsubstack-post-media.s3.amazonaws.com%2Fpublic%2Fimages%2F7d045f8a-9753-425b-a79e-637c3c7539ba_422x181.png 848w, https://substackcdn.com/image/fetch/$s_!Tllq!,w_1272,c_limit,f_webp,q_auto:good,fl_progressive:steep/https%3A%2F%2Fsubstack-post-media.s3.amazonaws.com%2Fpublic%2Fimages%2F7d045f8a-9753-425b-a79e-637c3c7539ba_422x181.png 1272w, https://substackcdn.com/image/fetch/$s_!Tllq!,w_1456,c_limit,f_webp,q_auto:good,fl_progressive:steep/https%3A%2F%2Fsubstack-post-media.s3.amazonaws.com%2Fpublic%2Fimages%2F7d045f8a-9753-425b-a79e-637c3c7539ba_422x181.png 1456w" sizes="100vw"><img src="https://substackcdn.com/image/fetch/$s_!Tllq!,w_1456,c_limit,f_auto,q_auto:good,fl_progressive:steep/https%3A%2F%2Fsubstack-post-media.s3.amazonaws.com%2Fpublic%2Fimages%2F7d045f8a-9753-425b-a79e-637c3c7539ba_422x181.png" width="422" height="181" data-attrs="{&quot;src&quot;:&quot;https://substack-post-media.s3.amazonaws.com/public/images/7d045f8a-9753-425b-a79e-637c3c7539ba_422x181.png&quot;,&quot;srcNoWatermark&quot;:null,&quot;fullscreen&quot;:null,&quot;imageSize&quot;:null,&quot;height&quot;:181,&quot;width&quot;:422,&quot;resizeWidth&quot;:null,&quot;bytes&quot;:9243,&quot;alt&quot;:null,&quot;title&quot;:null,&quot;type&quot;:&quot;image/png&quot;,&quot;href&quot;:null,&quot;belowTheFold&quot;:true,&quot;topImage&quot;:false,&quot;internalRedirect&quot;:&quot;https://www.rohan-paul.com/i/165853859?img=https%3A%2F%2Fsubstack-post-media.s3.amazonaws.com%2Fpublic%2Fimages%2F7d045f8a-9753-425b-a79e-637c3c7539ba_422x181.png&quot;,&quot;isProcessing&quot;:false,&quot;align&quot;:null,&quot;offset&quot;:false}" class="sizing-normal" alt="" srcset="https://substackcdn.com/image/fetch/$s_!Tllq!,w_424,c_limit,f_auto,q_auto:good,fl_progressive:steep/https%3A%2F%2Fsubstack-post-media.s3.amazonaws.com%2Fpublic%2Fimages%2F7d045f8a-9753-425b-a79e-637c3c7539ba_422x181.png 424w, https://substackcdn.com/image/fetch/$s_!Tllq!,w_848,c_limit,f_auto,q_auto:good,fl_progressive:steep/https%3A%2F%2Fsubstack-post-media.s3.amazonaws.com%2Fpublic%2Fimages%2F7d045f8a-9753-425b-a79e-637c3c7539ba_422x181.png 848w, https://substackcdn.com/image/fetch/$s_!Tllq!,w_1272,c_limit,f_auto,q_auto:good,fl_progressive:steep/https%3A%2F%2Fsubstack-post-media.s3.amazonaws.com%2Fpublic%2Fimages%2F7d045f8a-9753-425b-a79e-637c3c7539ba_422x181.png 1272w, https://substackcdn.com/image/fetch/$s_!Tllq!,w_1456,c_limit,f_auto,q_auto:good,fl_progressive:steep/https%3A%2F%2Fsubstack-post-media.s3.amazonaws.com%2Fpublic%2Fimages%2F7d045f8a-9753-425b-a79e-637c3c7539ba_422x181.png 1456w" sizes="100vw" loading="lazy"></picture><div></div></div></a></figure></div><p>Second Derivative Check</p><p>For completeness, we check that this critical point corresponds to a maximum. The second derivative of the log-likelihood with respect to &#955; is:</p><div class="captioned-image-container"><figure><a class="image-link image2" target="_blank" href="https://substackcdn.com/image/fetch/$s_!oYqd!,f_auto,q_auto:good,fl_progressive:steep/https%3A%2F%2Fsubstack-post-media.s3.amazonaws.com%2Fpublic%2Fimages%2F655a3bd3-f94f-4a1f-8c70-04067c826e9d_180x75.png" data-component-name="Image2ToDOM"><div class="image2-inset"><picture><source type="image/webp" srcset="https://substackcdn.com/image/fetch/$s_!oYqd!,w_424,c_limit,f_webp,q_auto:good,fl_progressive:steep/https%3A%2F%2Fsubstack-post-media.s3.amazonaws.com%2Fpublic%2Fimages%2F655a3bd3-f94f-4a1f-8c70-04067c826e9d_180x75.png 424w, https://substackcdn.com/image/fetch/$s_!oYqd!,w_848,c_limit,f_webp,q_auto:good,fl_progressive:steep/https%3A%2F%2Fsubstack-post-media.s3.amazonaws.com%2Fpublic%2Fimages%2F655a3bd3-f94f-4a1f-8c70-04067c826e9d_180x75.png 848w, https://substackcdn.com/image/fetch/$s_!oYqd!,w_1272,c_limit,f_webp,q_auto:good,fl_progressive:steep/https%3A%2F%2Fsubstack-post-media.s3.amazonaws.com%2Fpublic%2Fimages%2F655a3bd3-f94f-4a1f-8c70-04067c826e9d_180x75.png 1272w, https://substackcdn.com/image/fetch/$s_!oYqd!,w_1456,c_limit,f_webp,q_auto:good,fl_progressive:steep/https%3A%2F%2Fsubstack-post-media.s3.amazonaws.com%2Fpublic%2Fimages%2F655a3bd3-f94f-4a1f-8c70-04067c826e9d_180x75.png 1456w" sizes="100vw"><img src="https://substackcdn.com/image/fetch/$s_!oYqd!,w_1456,c_limit,f_auto,q_auto:good,fl_progressive:steep/https%3A%2F%2Fsubstack-post-media.s3.amazonaws.com%2Fpublic%2Fimages%2F655a3bd3-f94f-4a1f-8c70-04067c826e9d_180x75.png" width="180" height="75" data-attrs="{&quot;src&quot;:&quot;https://substack-post-media.s3.amazonaws.com/public/images/655a3bd3-f94f-4a1f-8c70-04067c826e9d_180x75.png&quot;,&quot;srcNoWatermark&quot;:null,&quot;fullscreen&quot;:null,&quot;imageSize&quot;:null,&quot;height&quot;:75,&quot;width&quot;:180,&quot;resizeWidth&quot;:null,&quot;bytes&quot;:3588,&quot;alt&quot;:null,&quot;title&quot;:null,&quot;type&quot;:&quot;image/png&quot;,&quot;href&quot;:null,&quot;belowTheFold&quot;:true,&quot;topImage&quot;:false,&quot;internalRedirect&quot;:&quot;https://www.rohan-paul.com/i/165853859?img=https%3A%2F%2Fsubstack-post-media.s3.amazonaws.com%2Fpublic%2Fimages%2F655a3bd3-f94f-4a1f-8c70-04067c826e9d_180x75.png&quot;,&quot;isProcessing&quot;:false,&quot;align&quot;:null,&quot;offset&quot;:false}" class="sizing-normal" alt="" srcset="https://substackcdn.com/image/fetch/$s_!oYqd!,w_424,c_limit,f_auto,q_auto:good,fl_progressive:steep/https%3A%2F%2Fsubstack-post-media.s3.amazonaws.com%2Fpublic%2Fimages%2F655a3bd3-f94f-4a1f-8c70-04067c826e9d_180x75.png 424w, https://substackcdn.com/image/fetch/$s_!oYqd!,w_848,c_limit,f_auto,q_auto:good,fl_progressive:steep/https%3A%2F%2Fsubstack-post-media.s3.amazonaws.com%2Fpublic%2Fimages%2F655a3bd3-f94f-4a1f-8c70-04067c826e9d_180x75.png 848w, https://substackcdn.com/image/fetch/$s_!oYqd!,w_1272,c_limit,f_auto,q_auto:good,fl_progressive:steep/https%3A%2F%2Fsubstack-post-media.s3.amazonaws.com%2Fpublic%2Fimages%2F655a3bd3-f94f-4a1f-8c70-04067c826e9d_180x75.png 1272w, https://substackcdn.com/image/fetch/$s_!oYqd!,w_1456,c_limit,f_auto,q_auto:good,fl_progressive:steep/https%3A%2F%2Fsubstack-post-media.s3.amazonaws.com%2Fpublic%2Fimages%2F655a3bd3-f94f-4a1f-8c70-04067c826e9d_180x75.png 1456w" sizes="100vw" loading="lazy"></picture><div></div></div></a></figure></div><p>For &#955;&gt;0, this is negative, indicating that &#8467;(&#955;) is concave and the critical point we found is indeed a maximum. Thus,</p><div class="captioned-image-container"><figure><a class="image-link image2" target="_blank" href="https://substackcdn.com/image/fetch/$s_!xcn3!,f_auto,q_auto:good,fl_progressive:steep/https%3A%2F%2Fsubstack-post-media.s3.amazonaws.com%2Fpublic%2Fimages%2F458c41c6-55e1-4895-81de-2b3bca26866e_434x199.png" data-component-name="Image2ToDOM"><div class="image2-inset"><picture><source type="image/webp" srcset="https://substackcdn.com/image/fetch/$s_!xcn3!,w_424,c_limit,f_webp,q_auto:good,fl_progressive:steep/https%3A%2F%2Fsubstack-post-media.s3.amazonaws.com%2Fpublic%2Fimages%2F458c41c6-55e1-4895-81de-2b3bca26866e_434x199.png 424w, https://substackcdn.com/image/fetch/$s_!xcn3!,w_848,c_limit,f_webp,q_auto:good,fl_progressive:steep/https%3A%2F%2Fsubstack-post-media.s3.amazonaws.com%2Fpublic%2Fimages%2F458c41c6-55e1-4895-81de-2b3bca26866e_434x199.png 848w, https://substackcdn.com/image/fetch/$s_!xcn3!,w_1272,c_limit,f_webp,q_auto:good,fl_progressive:steep/https%3A%2F%2Fsubstack-post-media.s3.amazonaws.com%2Fpublic%2Fimages%2F458c41c6-55e1-4895-81de-2b3bca26866e_434x199.png 1272w, https://substackcdn.com/image/fetch/$s_!xcn3!,w_1456,c_limit,f_webp,q_auto:good,fl_progressive:steep/https%3A%2F%2Fsubstack-post-media.s3.amazonaws.com%2Fpublic%2Fimages%2F458c41c6-55e1-4895-81de-2b3bca26866e_434x199.png 1456w" sizes="100vw"><img src="https://substackcdn.com/image/fetch/$s_!xcn3!,w_1456,c_limit,f_auto,q_auto:good,fl_progressive:steep/https%3A%2F%2Fsubstack-post-media.s3.amazonaws.com%2Fpublic%2Fimages%2F458c41c6-55e1-4895-81de-2b3bca26866e_434x199.png" width="434" height="199" data-attrs="{&quot;src&quot;:&quot;https://substack-post-media.s3.amazonaws.com/public/images/458c41c6-55e1-4895-81de-2b3bca26866e_434x199.png&quot;,&quot;srcNoWatermark&quot;:null,&quot;fullscreen&quot;:null,&quot;imageSize&quot;:null,&quot;height&quot;:199,&quot;width&quot;:434,&quot;resizeWidth&quot;:null,&quot;bytes&quot;:9228,&quot;alt&quot;:null,&quot;title&quot;:null,&quot;type&quot;:&quot;image/png&quot;,&quot;href&quot;:null,&quot;belowTheFold&quot;:true,&quot;topImage&quot;:false,&quot;internalRedirect&quot;:&quot;https://www.rohan-paul.com/i/165853859?img=https%3A%2F%2Fsubstack-post-media.s3.amazonaws.com%2Fpublic%2Fimages%2F458c41c6-55e1-4895-81de-2b3bca26866e_434x199.png&quot;,&quot;isProcessing&quot;:false,&quot;align&quot;:null,&quot;offset&quot;:false}" class="sizing-normal" alt="" srcset="https://substackcdn.com/image/fetch/$s_!xcn3!,w_424,c_limit,f_auto,q_auto:good,fl_progressive:steep/https%3A%2F%2Fsubstack-post-media.s3.amazonaws.com%2Fpublic%2Fimages%2F458c41c6-55e1-4895-81de-2b3bca26866e_434x199.png 424w, https://substackcdn.com/image/fetch/$s_!xcn3!,w_848,c_limit,f_auto,q_auto:good,fl_progressive:steep/https%3A%2F%2Fsubstack-post-media.s3.amazonaws.com%2Fpublic%2Fimages%2F458c41c6-55e1-4895-81de-2b3bca26866e_434x199.png 848w, https://substackcdn.com/image/fetch/$s_!xcn3!,w_1272,c_limit,f_auto,q_auto:good,fl_progressive:steep/https%3A%2F%2Fsubstack-post-media.s3.amazonaws.com%2Fpublic%2Fimages%2F458c41c6-55e1-4895-81de-2b3bca26866e_434x199.png 1272w, https://substackcdn.com/image/fetch/$s_!xcn3!,w_1456,c_limit,f_auto,q_auto:good,fl_progressive:steep/https%3A%2F%2Fsubstack-post-media.s3.amazonaws.com%2Fpublic%2Fimages%2F458c41c6-55e1-4895-81de-2b3bca26866e_434x199.png 1456w" sizes="100vw" loading="lazy"></picture><div></div></div></a></figure></div><p>is the MLE for &#955; under the exponential distribution.</p><p>PRACTICAL EXAMPLE WITH PYTHON CODE</p><p>Below is a quick illustration in Python on how one might compute the MLE for &#955; given a dataset. This snippet shows both a direct analytical solution and an example using a likelihood-based approach (though typically you would just apply the closed-form solution in practice).</p><pre><code><code>import numpy as np
from scipy.optimize import minimize

# Suppose we have data drawn from an exponential with unknown rate
data = np.array([0.2, 0.5, 1.3, 0.7, 0.9, 1.1, 0.4])

# Analytical MLE solution
lambda_mle_analytical = len(data) / np.sum(data)

# Numerical approach to confirm
def negative_log_likelihood(lmbda, observations):
    # lmbda must be positive
    if lmbda[0] &lt;= 0:
        return np.inf
    return - ( len(observations) * np.log(lmbda[0])
               - lmbda[0] * np.sum(observations) )

initial_guess = [1.0]  # some initial guess for lambda
result = minimize(negative_log_likelihood, initial_guess,
                  args=(data,), method='L-BFGS-B', bounds=[(1e-6, None)])
lambda_mle_numerical = result.x[0]

print("Analytical MLE for lambda:", lambda_mle_analytical)
print("Numerical MLE for lambda:", lambda_mle_numerical)
</code></code></pre><p>In almost all cases, using the closed-form solution is both exact and more efficient. However, if the model were more complicated or lacked a closed-form solution, a numerical optimization approach would be necessary.</p><p>COMMON INSIGHTS</p><p>When dealing with the exponential distribution&#8217;s parameter estimation:</p><div class="captioned-image-container"><figure><a class="image-link image2 is-viewable-img" target="_blank" href="https://substackcdn.com/image/fetch/$s_!SVmJ!,f_auto,q_auto:good,fl_progressive:steep/https%3A%2F%2Fsubstack-post-media.s3.amazonaws.com%2Fpublic%2Fimages%2F3edcea01-5d6c-4296-8b37-5dc38678986e_879x318.png" data-component-name="Image2ToDOM"><div class="image2-inset"><picture><source type="image/webp" srcset="https://substackcdn.com/image/fetch/$s_!SVmJ!,w_424,c_limit,f_webp,q_auto:good,fl_progressive:steep/https%3A%2F%2Fsubstack-post-media.s3.amazonaws.com%2Fpublic%2Fimages%2F3edcea01-5d6c-4296-8b37-5dc38678986e_879x318.png 424w, https://substackcdn.com/image/fetch/$s_!SVmJ!,w_848,c_limit,f_webp,q_auto:good,fl_progressive:steep/https%3A%2F%2Fsubstack-post-media.s3.amazonaws.com%2Fpublic%2Fimages%2F3edcea01-5d6c-4296-8b37-5dc38678986e_879x318.png 848w, https://substackcdn.com/image/fetch/$s_!SVmJ!,w_1272,c_limit,f_webp,q_auto:good,fl_progressive:steep/https%3A%2F%2Fsubstack-post-media.s3.amazonaws.com%2Fpublic%2Fimages%2F3edcea01-5d6c-4296-8b37-5dc38678986e_879x318.png 1272w, https://substackcdn.com/image/fetch/$s_!SVmJ!,w_1456,c_limit,f_webp,q_auto:good,fl_progressive:steep/https%3A%2F%2Fsubstack-post-media.s3.amazonaws.com%2Fpublic%2Fimages%2F3edcea01-5d6c-4296-8b37-5dc38678986e_879x318.png 1456w" sizes="100vw"><img src="https://substackcdn.com/image/fetch/$s_!SVmJ!,w_1456,c_limit,f_auto,q_auto:good,fl_progressive:steep/https%3A%2F%2Fsubstack-post-media.s3.amazonaws.com%2Fpublic%2Fimages%2F3edcea01-5d6c-4296-8b37-5dc38678986e_879x318.png" width="879" height="318" data-attrs="{&quot;src&quot;:&quot;https://substack-post-media.s3.amazonaws.com/public/images/3edcea01-5d6c-4296-8b37-5dc38678986e_879x318.png&quot;,&quot;srcNoWatermark&quot;:null,&quot;fullscreen&quot;:null,&quot;imageSize&quot;:null,&quot;height&quot;:318,&quot;width&quot;:879,&quot;resizeWidth&quot;:null,&quot;bytes&quot;:68426,&quot;alt&quot;:null,&quot;title&quot;:null,&quot;type&quot;:&quot;image/png&quot;,&quot;href&quot;:null,&quot;belowTheFold&quot;:true,&quot;topImage&quot;:false,&quot;internalRedirect&quot;:&quot;https://www.rohan-paul.com/i/165853859?img=https%3A%2F%2Fsubstack-post-media.s3.amazonaws.com%2Fpublic%2Fimages%2F3edcea01-5d6c-4296-8b37-5dc38678986e_879x318.png&quot;,&quot;isProcessing&quot;:false,&quot;align&quot;:null,&quot;offset&quot;:false}" class="sizing-normal" alt="" srcset="https://substackcdn.com/image/fetch/$s_!SVmJ!,w_424,c_limit,f_auto,q_auto:good,fl_progressive:steep/https%3A%2F%2Fsubstack-post-media.s3.amazonaws.com%2Fpublic%2Fimages%2F3edcea01-5d6c-4296-8b37-5dc38678986e_879x318.png 424w, https://substackcdn.com/image/fetch/$s_!SVmJ!,w_848,c_limit,f_auto,q_auto:good,fl_progressive:steep/https%3A%2F%2Fsubstack-post-media.s3.amazonaws.com%2Fpublic%2Fimages%2F3edcea01-5d6c-4296-8b37-5dc38678986e_879x318.png 848w, https://substackcdn.com/image/fetch/$s_!SVmJ!,w_1272,c_limit,f_auto,q_auto:good,fl_progressive:steep/https%3A%2F%2Fsubstack-post-media.s3.amazonaws.com%2Fpublic%2Fimages%2F3edcea01-5d6c-4296-8b37-5dc38678986e_879x318.png 1272w, https://substackcdn.com/image/fetch/$s_!SVmJ!,w_1456,c_limit,f_auto,q_auto:good,fl_progressive:steep/https%3A%2F%2Fsubstack-post-media.s3.amazonaws.com%2Fpublic%2Fimages%2F3edcea01-5d6c-4296-8b37-5dc38678986e_879x318.png 1456w" sizes="100vw" loading="lazy"></picture><div class="image-link-expand"><div class="pencraft pc-display-flex pc-gap-8 pc-reset"><button tabindex="0" type="button" class="pencraft pc-reset pencraft icon-container restack-image"><svg role="img" width="20" height="20" viewBox="0 0 20 20" fill="none" stroke-width="1.5" stroke="var(--color-fg-primary)" stroke-linecap="round" stroke-linejoin="round" xmlns="http://www.w3.org/2000/svg"><g><title></title><path d="M2.53001 7.81595C3.49179 4.73911 6.43281 2.5 9.91173 2.5C13.1684 2.5 15.9537 4.46214 17.0852 7.23684L17.6179 8.67647M17.6179 8.67647L18.5002 4.26471M17.6179 8.67647L13.6473 6.91176M17.4995 12.1841C16.5378 15.2609 13.5967 17.5 10.1178 17.5C6.86118 17.5 4.07589 15.5379 2.94432 12.7632L2.41165 11.3235M2.41165 11.3235L1.5293 15.7353M2.41165 11.3235L6.38224 13.0882"></path></g></svg></button><button tabindex="0" type="button" class="pencraft pc-reset pencraft icon-container view-image"><svg xmlns="http://www.w3.org/2000/svg" width="20" height="20" viewBox="0 0 24 24" fill="none" stroke="currentColor" stroke-width="2" stroke-linecap="round" stroke-linejoin="round" class="lucide lucide-maximize2 lucide-maximize-2"><polyline points="15 3 21 3 21 9"></polyline><polyline points="9 21 3 21 3 15"></polyline><line x1="21" x2="14" y1="3" y2="10"></line><line x1="3" x2="10" y1="21" y2="14"></line></svg></button></div></div></div></a></figure></div><div class="subscription-widget-wrap-editor" data-attrs="{&quot;url&quot;:&quot;https://www.rohan-paul.com/subscribe?&quot;,&quot;text&quot;:&quot;Subscribe&quot;,&quot;language&quot;:&quot;en&quot;}" data-component-name="SubscribeWidgetToDOM"><div class="subscription-widget show-subscribe"><div class="preamble"><p class="cta-caption">I write everyday for my readers on actionable AI. Subscribe and instantly get a 1300+ page Python book.</p></div><form class="subscription-widget-subscribe"><input type="email" class="email-input" name="email" placeholder="Type your email&#8230;" tabindex="-1"><input type="submit" class="button primary" value="Subscribe"><div class="fake-input-wrapper"><div class="fake-input"></div><div class="fake-button"></div></div></form></div></div><p>Below are some follow-up questions and their thorough answers, exploring potential pitfalls and deeper concepts.</p><h2><strong>What if some of the observed data values are zero?</strong></h2><div class="captioned-image-container"><figure><a class="image-link image2 is-viewable-img" target="_blank" href="https://substackcdn.com/image/fetch/$s_!kvMX!,f_auto,q_auto:good,fl_progressive:steep/https%3A%2F%2Fsubstack-post-media.s3.amazonaws.com%2Fpublic%2Fimages%2Fc590518f-4f71-4b6b-a793-4ae821634915_981x765.png" data-component-name="Image2ToDOM"><div class="image2-inset"><picture><source type="image/webp" srcset="https://substackcdn.com/image/fetch/$s_!kvMX!,w_424,c_limit,f_webp,q_auto:good,fl_progressive:steep/https%3A%2F%2Fsubstack-post-media.s3.amazonaws.com%2Fpublic%2Fimages%2Fc590518f-4f71-4b6b-a793-4ae821634915_981x765.png 424w, https://substackcdn.com/image/fetch/$s_!kvMX!,w_848,c_limit,f_webp,q_auto:good,fl_progressive:steep/https%3A%2F%2Fsubstack-post-media.s3.amazonaws.com%2Fpublic%2Fimages%2Fc590518f-4f71-4b6b-a793-4ae821634915_981x765.png 848w, https://substackcdn.com/image/fetch/$s_!kvMX!,w_1272,c_limit,f_webp,q_auto:good,fl_progressive:steep/https%3A%2F%2Fsubstack-post-media.s3.amazonaws.com%2Fpublic%2Fimages%2Fc590518f-4f71-4b6b-a793-4ae821634915_981x765.png 1272w, https://substackcdn.com/image/fetch/$s_!kvMX!,w_1456,c_limit,f_webp,q_auto:good,fl_progressive:steep/https%3A%2F%2Fsubstack-post-media.s3.amazonaws.com%2Fpublic%2Fimages%2Fc590518f-4f71-4b6b-a793-4ae821634915_981x765.png 1456w" sizes="100vw"><img src="https://substackcdn.com/image/fetch/$s_!kvMX!,w_1456,c_limit,f_auto,q_auto:good,fl_progressive:steep/https%3A%2F%2Fsubstack-post-media.s3.amazonaws.com%2Fpublic%2Fimages%2Fc590518f-4f71-4b6b-a793-4ae821634915_981x765.png" width="981" height="765" data-attrs="{&quot;src&quot;:&quot;https://substack-post-media.s3.amazonaws.com/public/images/c590518f-4f71-4b6b-a793-4ae821634915_981x765.png&quot;,&quot;srcNoWatermark&quot;:null,&quot;fullscreen&quot;:null,&quot;imageSize&quot;:null,&quot;height&quot;:765,&quot;width&quot;:981,&quot;resizeWidth&quot;:null,&quot;bytes&quot;:125764,&quot;alt&quot;:null,&quot;title&quot;:null,&quot;type&quot;:&quot;image/png&quot;,&quot;href&quot;:null,&quot;belowTheFold&quot;:true,&quot;topImage&quot;:false,&quot;internalRedirect&quot;:&quot;https://www.rohan-paul.com/i/165853859?img=https%3A%2F%2Fsubstack-post-media.s3.amazonaws.com%2Fpublic%2Fimages%2Fc590518f-4f71-4b6b-a793-4ae821634915_981x765.png&quot;,&quot;isProcessing&quot;:false,&quot;align&quot;:null,&quot;offset&quot;:false}" class="sizing-normal" alt="" srcset="https://substackcdn.com/image/fetch/$s_!kvMX!,w_424,c_limit,f_auto,q_auto:good,fl_progressive:steep/https%3A%2F%2Fsubstack-post-media.s3.amazonaws.com%2Fpublic%2Fimages%2Fc590518f-4f71-4b6b-a793-4ae821634915_981x765.png 424w, https://substackcdn.com/image/fetch/$s_!kvMX!,w_848,c_limit,f_auto,q_auto:good,fl_progressive:steep/https%3A%2F%2Fsubstack-post-media.s3.amazonaws.com%2Fpublic%2Fimages%2Fc590518f-4f71-4b6b-a793-4ae821634915_981x765.png 848w, https://substackcdn.com/image/fetch/$s_!kvMX!,w_1272,c_limit,f_auto,q_auto:good,fl_progressive:steep/https%3A%2F%2Fsubstack-post-media.s3.amazonaws.com%2Fpublic%2Fimages%2Fc590518f-4f71-4b6b-a793-4ae821634915_981x765.png 1272w, https://substackcdn.com/image/fetch/$s_!kvMX!,w_1456,c_limit,f_auto,q_auto:good,fl_progressive:steep/https%3A%2F%2Fsubstack-post-media.s3.amazonaws.com%2Fpublic%2Fimages%2Fc590518f-4f71-4b6b-a793-4ae821634915_981x765.png 1456w" sizes="100vw" loading="lazy"></picture><div class="image-link-expand"><div class="pencraft pc-display-flex pc-gap-8 pc-reset"><button tabindex="0" type="button" class="pencraft pc-reset pencraft icon-container restack-image"><svg role="img" width="20" height="20" viewBox="0 0 20 20" fill="none" stroke-width="1.5" stroke="var(--color-fg-primary)" stroke-linecap="round" stroke-linejoin="round" xmlns="http://www.w3.org/2000/svg"><g><title></title><path d="M2.53001 7.81595C3.49179 4.73911 6.43281 2.5 9.91173 2.5C13.1684 2.5 15.9537 4.46214 17.0852 7.23684L17.6179 8.67647M17.6179 8.67647L18.5002 4.26471M17.6179 8.67647L13.6473 6.91176M17.4995 12.1841C16.5378 15.2609 13.5967 17.5 10.1178 17.5C6.86118 17.5 4.07589 15.5379 2.94432 12.7632L2.41165 11.3235M2.41165 11.3235L1.5293 15.7353M2.41165 11.3235L6.38224 13.0882"></path></g></svg></button><button tabindex="0" type="button" class="pencraft pc-reset pencraft icon-container view-image"><svg xmlns="http://www.w3.org/2000/svg" width="20" height="20" viewBox="0 0 24 24" fill="none" stroke="currentColor" stroke-width="2" stroke-linecap="round" stroke-linejoin="round" class="lucide lucide-maximize2 lucide-maximize-2"><polyline points="15 3 21 3 21 9"></polyline><polyline points="9 21 3 21 3 15"></polyline><line x1="21" x2="14" y1="3" y2="10"></line><line x1="3" x2="10" y1="21" y2="14"></line></svg></button></div></div></div></a></figure></div><h2><strong>How would this derivation change if the exponential distribution was parameterized by its mean (&#952; = 1 / &#955;) instead?</strong></h2><p>Instead of using the rate parameter &#955;, one can parameterize the exponential distribution in terms of its mean &#952; = 1 / &#955;. In that case, the PDF becomes:</p><div class="captioned-image-container"><figure><a class="image-link image2 is-viewable-img" target="_blank" href="https://substackcdn.com/image/fetch/$s_!SkRh!,f_auto,q_auto:good,fl_progressive:steep/https%3A%2F%2Fsubstack-post-media.s3.amazonaws.com%2Fpublic%2Fimages%2Fac28f655-86fd-4051-a1b5-3a46c86bbca3_914x701.png" data-component-name="Image2ToDOM"><div class="image2-inset"><picture><source type="image/webp" srcset="https://substackcdn.com/image/fetch/$s_!SkRh!,w_424,c_limit,f_webp,q_auto:good,fl_progressive:steep/https%3A%2F%2Fsubstack-post-media.s3.amazonaws.com%2Fpublic%2Fimages%2Fac28f655-86fd-4051-a1b5-3a46c86bbca3_914x701.png 424w, https://substackcdn.com/image/fetch/$s_!SkRh!,w_848,c_limit,f_webp,q_auto:good,fl_progressive:steep/https%3A%2F%2Fsubstack-post-media.s3.amazonaws.com%2Fpublic%2Fimages%2Fac28f655-86fd-4051-a1b5-3a46c86bbca3_914x701.png 848w, https://substackcdn.com/image/fetch/$s_!SkRh!,w_1272,c_limit,f_webp,q_auto:good,fl_progressive:steep/https%3A%2F%2Fsubstack-post-media.s3.amazonaws.com%2Fpublic%2Fimages%2Fac28f655-86fd-4051-a1b5-3a46c86bbca3_914x701.png 1272w, https://substackcdn.com/image/fetch/$s_!SkRh!,w_1456,c_limit,f_webp,q_auto:good,fl_progressive:steep/https%3A%2F%2Fsubstack-post-media.s3.amazonaws.com%2Fpublic%2Fimages%2Fac28f655-86fd-4051-a1b5-3a46c86bbca3_914x701.png 1456w" sizes="100vw"><img src="https://substackcdn.com/image/fetch/$s_!SkRh!,w_1456,c_limit,f_auto,q_auto:good,fl_progressive:steep/https%3A%2F%2Fsubstack-post-media.s3.amazonaws.com%2Fpublic%2Fimages%2Fac28f655-86fd-4051-a1b5-3a46c86bbca3_914x701.png" width="914" height="701" data-attrs="{&quot;src&quot;:&quot;https://substack-post-media.s3.amazonaws.com/public/images/ac28f655-86fd-4051-a1b5-3a46c86bbca3_914x701.png&quot;,&quot;srcNoWatermark&quot;:null,&quot;fullscreen&quot;:null,&quot;imageSize&quot;:null,&quot;height&quot;:701,&quot;width&quot;:914,&quot;resizeWidth&quot;:null,&quot;bytes&quot;:75459,&quot;alt&quot;:null,&quot;title&quot;:null,&quot;type&quot;:&quot;image/png&quot;,&quot;href&quot;:null,&quot;belowTheFold&quot;:true,&quot;topImage&quot;:false,&quot;internalRedirect&quot;:&quot;https://www.rohan-paul.com/i/165853859?img=https%3A%2F%2Fsubstack-post-media.s3.amazonaws.com%2Fpublic%2Fimages%2Fac28f655-86fd-4051-a1b5-3a46c86bbca3_914x701.png&quot;,&quot;isProcessing&quot;:false,&quot;align&quot;:null,&quot;offset&quot;:false}" class="sizing-normal" alt="" srcset="https://substackcdn.com/image/fetch/$s_!SkRh!,w_424,c_limit,f_auto,q_auto:good,fl_progressive:steep/https%3A%2F%2Fsubstack-post-media.s3.amazonaws.com%2Fpublic%2Fimages%2Fac28f655-86fd-4051-a1b5-3a46c86bbca3_914x701.png 424w, https://substackcdn.com/image/fetch/$s_!SkRh!,w_848,c_limit,f_auto,q_auto:good,fl_progressive:steep/https%3A%2F%2Fsubstack-post-media.s3.amazonaws.com%2Fpublic%2Fimages%2Fac28f655-86fd-4051-a1b5-3a46c86bbca3_914x701.png 848w, https://substackcdn.com/image/fetch/$s_!SkRh!,w_1272,c_limit,f_auto,q_auto:good,fl_progressive:steep/https%3A%2F%2Fsubstack-post-media.s3.amazonaws.com%2Fpublic%2Fimages%2Fac28f655-86fd-4051-a1b5-3a46c86bbca3_914x701.png 1272w, https://substackcdn.com/image/fetch/$s_!SkRh!,w_1456,c_limit,f_auto,q_auto:good,fl_progressive:steep/https%3A%2F%2Fsubstack-post-media.s3.amazonaws.com%2Fpublic%2Fimages%2Fac28f655-86fd-4051-a1b5-3a46c86bbca3_914x701.png 1456w" sizes="100vw" loading="lazy"></picture><div class="image-link-expand"><div class="pencraft pc-display-flex pc-gap-8 pc-reset"><button tabindex="0" type="button" class="pencraft pc-reset pencraft icon-container restack-image"><svg role="img" width="20" height="20" viewBox="0 0 20 20" fill="none" stroke-width="1.5" stroke="var(--color-fg-primary)" stroke-linecap="round" stroke-linejoin="round" xmlns="http://www.w3.org/2000/svg"><g><title></title><path d="M2.53001 7.81595C3.49179 4.73911 6.43281 2.5 9.91173 2.5C13.1684 2.5 15.9537 4.46214 17.0852 7.23684L17.6179 8.67647M17.6179 8.67647L18.5002 4.26471M17.6179 8.67647L13.6473 6.91176M17.4995 12.1841C16.5378 15.2609 13.5967 17.5 10.1178 17.5C6.86118 17.5 4.07589 15.5379 2.94432 12.7632L2.41165 11.3235M2.41165 11.3235L1.5293 15.7353M2.41165 11.3235L6.38224 13.0882"></path></g></svg></button><button tabindex="0" type="button" class="pencraft pc-reset pencraft icon-container view-image"><svg xmlns="http://www.w3.org/2000/svg" width="20" height="20" viewBox="0 0 24 24" fill="none" stroke="currentColor" stroke-width="2" stroke-linecap="round" stroke-linejoin="round" class="lucide lucide-maximize2 lucide-maximize-2"><polyline points="15 3 21 3 21 9"></polyline><polyline points="9 21 3 21 3 15"></polyline><line x1="21" x2="14" y1="3" y2="10"></line><line x1="3" x2="10" y1="21" y2="14"></line></svg></button></div></div></div></a></figure></div><h2><strong>How does the MLE compare with the method of moments for an exponential distribution?</strong></h2><p>For an exponential distribution with parameter &#955;, the first moment (mean) is 1/&#955;. The method-of-moments estimator sets the sample mean equal to the theoretical mean:</p><div class="captioned-image-container"><figure><a class="image-link image2" target="_blank" href="https://substackcdn.com/image/fetch/$s_!n4kO!,f_auto,q_auto:good,fl_progressive:steep/https%3A%2F%2Fsubstack-post-media.s3.amazonaws.com%2Fpublic%2Fimages%2F53678068-b81b-40b0-8d83-cf266e1c2d9e_366x229.png" data-component-name="Image2ToDOM"><div class="image2-inset"><picture><source type="image/webp" srcset="https://substackcdn.com/image/fetch/$s_!n4kO!,w_424,c_limit,f_webp,q_auto:good,fl_progressive:steep/https%3A%2F%2Fsubstack-post-media.s3.amazonaws.com%2Fpublic%2Fimages%2F53678068-b81b-40b0-8d83-cf266e1c2d9e_366x229.png 424w, https://substackcdn.com/image/fetch/$s_!n4kO!,w_848,c_limit,f_webp,q_auto:good,fl_progressive:steep/https%3A%2F%2Fsubstack-post-media.s3.amazonaws.com%2Fpublic%2Fimages%2F53678068-b81b-40b0-8d83-cf266e1c2d9e_366x229.png 848w, https://substackcdn.com/image/fetch/$s_!n4kO!,w_1272,c_limit,f_webp,q_auto:good,fl_progressive:steep/https%3A%2F%2Fsubstack-post-media.s3.amazonaws.com%2Fpublic%2Fimages%2F53678068-b81b-40b0-8d83-cf266e1c2d9e_366x229.png 1272w, https://substackcdn.com/image/fetch/$s_!n4kO!,w_1456,c_limit,f_webp,q_auto:good,fl_progressive:steep/https%3A%2F%2Fsubstack-post-media.s3.amazonaws.com%2Fpublic%2Fimages%2F53678068-b81b-40b0-8d83-cf266e1c2d9e_366x229.png 1456w" sizes="100vw"><img src="https://substackcdn.com/image/fetch/$s_!n4kO!,w_1456,c_limit,f_auto,q_auto:good,fl_progressive:steep/https%3A%2F%2Fsubstack-post-media.s3.amazonaws.com%2Fpublic%2Fimages%2F53678068-b81b-40b0-8d83-cf266e1c2d9e_366x229.png" width="366" height="229" data-attrs="{&quot;src&quot;:&quot;https://substack-post-media.s3.amazonaws.com/public/images/53678068-b81b-40b0-8d83-cf266e1c2d9e_366x229.png&quot;,&quot;srcNoWatermark&quot;:null,&quot;fullscreen&quot;:null,&quot;imageSize&quot;:null,&quot;height&quot;:229,&quot;width&quot;:366,&quot;resizeWidth&quot;:null,&quot;bytes&quot;:14105,&quot;alt&quot;:null,&quot;title&quot;:null,&quot;type&quot;:&quot;image/png&quot;,&quot;href&quot;:null,&quot;belowTheFold&quot;:true,&quot;topImage&quot;:false,&quot;internalRedirect&quot;:&quot;https://www.rohan-paul.com/i/165853859?img=https%3A%2F%2Fsubstack-post-media.s3.amazonaws.com%2Fpublic%2Fimages%2F53678068-b81b-40b0-8d83-cf266e1c2d9e_366x229.png&quot;,&quot;isProcessing&quot;:false,&quot;align&quot;:null,&quot;offset&quot;:false}" class="sizing-normal" alt="" srcset="https://substackcdn.com/image/fetch/$s_!n4kO!,w_424,c_limit,f_auto,q_auto:good,fl_progressive:steep/https%3A%2F%2Fsubstack-post-media.s3.amazonaws.com%2Fpublic%2Fimages%2F53678068-b81b-40b0-8d83-cf266e1c2d9e_366x229.png 424w, https://substackcdn.com/image/fetch/$s_!n4kO!,w_848,c_limit,f_auto,q_auto:good,fl_progressive:steep/https%3A%2F%2Fsubstack-post-media.s3.amazonaws.com%2Fpublic%2Fimages%2F53678068-b81b-40b0-8d83-cf266e1c2d9e_366x229.png 848w, https://substackcdn.com/image/fetch/$s_!n4kO!,w_1272,c_limit,f_auto,q_auto:good,fl_progressive:steep/https%3A%2F%2Fsubstack-post-media.s3.amazonaws.com%2Fpublic%2Fimages%2F53678068-b81b-40b0-8d83-cf266e1c2d9e_366x229.png 1272w, https://substackcdn.com/image/fetch/$s_!n4kO!,w_1456,c_limit,f_auto,q_auto:good,fl_progressive:steep/https%3A%2F%2Fsubstack-post-media.s3.amazonaws.com%2Fpublic%2Fimages%2F53678068-b81b-40b0-8d83-cf266e1c2d9e_366x229.png 1456w" sizes="100vw" loading="lazy"></picture><div></div></div></a></figure></div><p>which is exactly the same expression we got for the MLE. Thus, for the exponential distribution, the MLE and the method-of-moments estimator coincide. That is not always the case for other distributions, but for the exponential distribution, they match perfectly because the first moment directly gives us the parameter in a simple reciprocal relationship.</p><h2><strong>What are typical boundary or edge cases to consider?</strong></h2><div class="captioned-image-container"><figure><a class="image-link image2 is-viewable-img" target="_blank" href="https://substackcdn.com/image/fetch/$s_!gCD5!,f_auto,q_auto:good,fl_progressive:steep/https%3A%2F%2Fsubstack-post-media.s3.amazonaws.com%2Fpublic%2Fimages%2F2aef11a8-4558-43ef-beaa-ab4741110658_920x429.png" data-component-name="Image2ToDOM"><div class="image2-inset"><picture><source type="image/webp" srcset="https://substackcdn.com/image/fetch/$s_!gCD5!,w_424,c_limit,f_webp,q_auto:good,fl_progressive:steep/https%3A%2F%2Fsubstack-post-media.s3.amazonaws.com%2Fpublic%2Fimages%2F2aef11a8-4558-43ef-beaa-ab4741110658_920x429.png 424w, https://substackcdn.com/image/fetch/$s_!gCD5!,w_848,c_limit,f_webp,q_auto:good,fl_progressive:steep/https%3A%2F%2Fsubstack-post-media.s3.amazonaws.com%2Fpublic%2Fimages%2F2aef11a8-4558-43ef-beaa-ab4741110658_920x429.png 848w, https://substackcdn.com/image/fetch/$s_!gCD5!,w_1272,c_limit,f_webp,q_auto:good,fl_progressive:steep/https%3A%2F%2Fsubstack-post-media.s3.amazonaws.com%2Fpublic%2Fimages%2F2aef11a8-4558-43ef-beaa-ab4741110658_920x429.png 1272w, https://substackcdn.com/image/fetch/$s_!gCD5!,w_1456,c_limit,f_webp,q_auto:good,fl_progressive:steep/https%3A%2F%2Fsubstack-post-media.s3.amazonaws.com%2Fpublic%2Fimages%2F2aef11a8-4558-43ef-beaa-ab4741110658_920x429.png 1456w" sizes="100vw"><img src="https://substackcdn.com/image/fetch/$s_!gCD5!,w_1456,c_limit,f_auto,q_auto:good,fl_progressive:steep/https%3A%2F%2Fsubstack-post-media.s3.amazonaws.com%2Fpublic%2Fimages%2F2aef11a8-4558-43ef-beaa-ab4741110658_920x429.png" width="920" height="429" data-attrs="{&quot;src&quot;:&quot;https://substack-post-media.s3.amazonaws.com/public/images/2aef11a8-4558-43ef-beaa-ab4741110658_920x429.png&quot;,&quot;srcNoWatermark&quot;:null,&quot;fullscreen&quot;:null,&quot;imageSize&quot;:null,&quot;height&quot;:429,&quot;width&quot;:920,&quot;resizeWidth&quot;:null,&quot;bytes&quot;:90613,&quot;alt&quot;:null,&quot;title&quot;:null,&quot;type&quot;:&quot;image/png&quot;,&quot;href&quot;:null,&quot;belowTheFold&quot;:true,&quot;topImage&quot;:false,&quot;internalRedirect&quot;:&quot;https://www.rohan-paul.com/i/165853859?img=https%3A%2F%2Fsubstack-post-media.s3.amazonaws.com%2Fpublic%2Fimages%2F2aef11a8-4558-43ef-beaa-ab4741110658_920x429.png&quot;,&quot;isProcessing&quot;:false,&quot;align&quot;:null,&quot;offset&quot;:false}" class="sizing-normal" alt="" srcset="https://substackcdn.com/image/fetch/$s_!gCD5!,w_424,c_limit,f_auto,q_auto:good,fl_progressive:steep/https%3A%2F%2Fsubstack-post-media.s3.amazonaws.com%2Fpublic%2Fimages%2F2aef11a8-4558-43ef-beaa-ab4741110658_920x429.png 424w, https://substackcdn.com/image/fetch/$s_!gCD5!,w_848,c_limit,f_auto,q_auto:good,fl_progressive:steep/https%3A%2F%2Fsubstack-post-media.s3.amazonaws.com%2Fpublic%2Fimages%2F2aef11a8-4558-43ef-beaa-ab4741110658_920x429.png 848w, https://substackcdn.com/image/fetch/$s_!gCD5!,w_1272,c_limit,f_auto,q_auto:good,fl_progressive:steep/https%3A%2F%2Fsubstack-post-media.s3.amazonaws.com%2Fpublic%2Fimages%2F2aef11a8-4558-43ef-beaa-ab4741110658_920x429.png 1272w, https://substackcdn.com/image/fetch/$s_!gCD5!,w_1456,c_limit,f_auto,q_auto:good,fl_progressive:steep/https%3A%2F%2Fsubstack-post-media.s3.amazonaws.com%2Fpublic%2Fimages%2F2aef11a8-4558-43ef-beaa-ab4741110658_920x429.png 1456w" sizes="100vw" loading="lazy"></picture><div class="image-link-expand"><div class="pencraft pc-display-flex pc-gap-8 pc-reset"><button tabindex="0" type="button" class="pencraft pc-reset pencraft icon-container restack-image"><svg role="img" width="20" height="20" viewBox="0 0 20 20" fill="none" stroke-width="1.5" stroke="var(--color-fg-primary)" stroke-linecap="round" stroke-linejoin="round" xmlns="http://www.w3.org/2000/svg"><g><title></title><path d="M2.53001 7.81595C3.49179 4.73911 6.43281 2.5 9.91173 2.5C13.1684 2.5 15.9537 4.46214 17.0852 7.23684L17.6179 8.67647M17.6179 8.67647L18.5002 4.26471M17.6179 8.67647L13.6473 6.91176M17.4995 12.1841C16.5378 15.2609 13.5967 17.5 10.1178 17.5C6.86118 17.5 4.07589 15.5379 2.94432 12.7632L2.41165 11.3235M2.41165 11.3235L1.5293 15.7353M2.41165 11.3235L6.38224 13.0882"></path></g></svg></button><button tabindex="0" type="button" class="pencraft pc-reset pencraft icon-container view-image"><svg xmlns="http://www.w3.org/2000/svg" width="20" height="20" viewBox="0 0 24 24" fill="none" stroke="currentColor" stroke-width="2" stroke-linecap="round" stroke-linejoin="round" class="lucide lucide-maximize2 lucide-maximize-2"><polyline points="15 3 21 3 21 9"></polyline><polyline points="9 21 3 21 3 15"></polyline><line x1="21" x2="14" y1="3" y2="10"></line><line x1="3" x2="10" y1="21" y2="14"></line></svg></button></div></div></div></a></figure></div><ol start="3"><li><p><strong>Missing Data</strong>: If some observations are missing, one might need an EM algorithm or some imputation strategy. But under the standard complete-data scenario, the MLE formula remains straightforward.</p></li><li><p><strong>Censored Data</strong>: If data is censored (e.g., you only know some observations exceed a certain threshold but not their actual values), the likelihood changes accordingly. Then you no longer have the simple closed-form MLE. Instead, you might derive a partial-likelihood function and potentially solve numerically.</p></li></ol><h2><strong>Could you compare MLE and MAP (Maximum A Posteriori) estimation for &#955;?</strong></h2><p>While MLE uses only the likelihood of the observed data to find the parameter estimate, MAP incorporates a prior belief p(&#955;) into the estimation. For the exponential distribution:</p><div class="captioned-image-container"><figure><a class="image-link image2 is-viewable-img" target="_blank" href="https://substackcdn.com/image/fetch/$s_!EXH8!,f_auto,q_auto:good,fl_progressive:steep/https%3A%2F%2Fsubstack-post-media.s3.amazonaws.com%2Fpublic%2Fimages%2F9f381f80-8982-49fc-bbcb-c658e4fd8a43_948x460.png" data-component-name="Image2ToDOM"><div class="image2-inset"><picture><source type="image/webp" srcset="https://substackcdn.com/image/fetch/$s_!EXH8!,w_424,c_limit,f_webp,q_auto:good,fl_progressive:steep/https%3A%2F%2Fsubstack-post-media.s3.amazonaws.com%2Fpublic%2Fimages%2F9f381f80-8982-49fc-bbcb-c658e4fd8a43_948x460.png 424w, https://substackcdn.com/image/fetch/$s_!EXH8!,w_848,c_limit,f_webp,q_auto:good,fl_progressive:steep/https%3A%2F%2Fsubstack-post-media.s3.amazonaws.com%2Fpublic%2Fimages%2F9f381f80-8982-49fc-bbcb-c658e4fd8a43_948x460.png 848w, https://substackcdn.com/image/fetch/$s_!EXH8!,w_1272,c_limit,f_webp,q_auto:good,fl_progressive:steep/https%3A%2F%2Fsubstack-post-media.s3.amazonaws.com%2Fpublic%2Fimages%2F9f381f80-8982-49fc-bbcb-c658e4fd8a43_948x460.png 1272w, https://substackcdn.com/image/fetch/$s_!EXH8!,w_1456,c_limit,f_webp,q_auto:good,fl_progressive:steep/https%3A%2F%2Fsubstack-post-media.s3.amazonaws.com%2Fpublic%2Fimages%2F9f381f80-8982-49fc-bbcb-c658e4fd8a43_948x460.png 1456w" sizes="100vw"><img src="https://substackcdn.com/image/fetch/$s_!EXH8!,w_1456,c_limit,f_auto,q_auto:good,fl_progressive:steep/https%3A%2F%2Fsubstack-post-media.s3.amazonaws.com%2Fpublic%2Fimages%2F9f381f80-8982-49fc-bbcb-c658e4fd8a43_948x460.png" width="948" height="460" data-attrs="{&quot;src&quot;:&quot;https://substack-post-media.s3.amazonaws.com/public/images/9f381f80-8982-49fc-bbcb-c658e4fd8a43_948x460.png&quot;,&quot;srcNoWatermark&quot;:null,&quot;fullscreen&quot;:null,&quot;imageSize&quot;:null,&quot;height&quot;:460,&quot;width&quot;:948,&quot;resizeWidth&quot;:null,&quot;bytes&quot;:83404,&quot;alt&quot;:null,&quot;title&quot;:null,&quot;type&quot;:&quot;image/png&quot;,&quot;href&quot;:null,&quot;belowTheFold&quot;:true,&quot;topImage&quot;:false,&quot;internalRedirect&quot;:&quot;https://www.rohan-paul.com/i/165853859?img=https%3A%2F%2Fsubstack-post-media.s3.amazonaws.com%2Fpublic%2Fimages%2F9f381f80-8982-49fc-bbcb-c658e4fd8a43_948x460.png&quot;,&quot;isProcessing&quot;:false,&quot;align&quot;:null,&quot;offset&quot;:false}" class="sizing-normal" alt="" srcset="https://substackcdn.com/image/fetch/$s_!EXH8!,w_424,c_limit,f_auto,q_auto:good,fl_progressive:steep/https%3A%2F%2Fsubstack-post-media.s3.amazonaws.com%2Fpublic%2Fimages%2F9f381f80-8982-49fc-bbcb-c658e4fd8a43_948x460.png 424w, https://substackcdn.com/image/fetch/$s_!EXH8!,w_848,c_limit,f_auto,q_auto:good,fl_progressive:steep/https%3A%2F%2Fsubstack-post-media.s3.amazonaws.com%2Fpublic%2Fimages%2F9f381f80-8982-49fc-bbcb-c658e4fd8a43_948x460.png 848w, https://substackcdn.com/image/fetch/$s_!EXH8!,w_1272,c_limit,f_auto,q_auto:good,fl_progressive:steep/https%3A%2F%2Fsubstack-post-media.s3.amazonaws.com%2Fpublic%2Fimages%2F9f381f80-8982-49fc-bbcb-c658e4fd8a43_948x460.png 1272w, https://substackcdn.com/image/fetch/$s_!EXH8!,w_1456,c_limit,f_auto,q_auto:good,fl_progressive:steep/https%3A%2F%2Fsubstack-post-media.s3.amazonaws.com%2Fpublic%2Fimages%2F9f381f80-8982-49fc-bbcb-c658e4fd8a43_948x460.png 1456w" sizes="100vw" loading="lazy"></picture><div class="image-link-expand"><div class="pencraft pc-display-flex pc-gap-8 pc-reset"><button tabindex="0" type="button" class="pencraft pc-reset pencraft icon-container restack-image"><svg role="img" width="20" height="20" viewBox="0 0 20 20" fill="none" stroke-width="1.5" stroke="var(--color-fg-primary)" stroke-linecap="round" stroke-linejoin="round" xmlns="http://www.w3.org/2000/svg"><g><title></title><path d="M2.53001 7.81595C3.49179 4.73911 6.43281 2.5 9.91173 2.5C13.1684 2.5 15.9537 4.46214 17.0852 7.23684L17.6179 8.67647M17.6179 8.67647L18.5002 4.26471M17.6179 8.67647L13.6473 6.91176M17.4995 12.1841C16.5378 15.2609 13.5967 17.5 10.1178 17.5C6.86118 17.5 4.07589 15.5379 2.94432 12.7632L2.41165 11.3235M2.41165 11.3235L1.5293 15.7353M2.41165 11.3235L6.38224 13.0882"></path></g></svg></button><button tabindex="0" type="button" class="pencraft pc-reset pencraft icon-container view-image"><svg xmlns="http://www.w3.org/2000/svg" width="20" height="20" viewBox="0 0 24 24" fill="none" stroke="currentColor" stroke-width="2" stroke-linecap="round" stroke-linejoin="round" class="lucide lucide-maximize2 lucide-maximize-2"><polyline points="15 3 21 3 21 9"></polyline><polyline points="9 21 3 21 3 15"></polyline><line x1="21" x2="14" y1="3" y2="10"></line><line x1="3" x2="10" y1="21" y2="14"></line></svg></button></div></div></div></a></figure></div><h2><strong>How do we handle MLE for exponential distributions with incomplete or partially missing data?</strong></h2><p>If data is partially missing in a standard sense (e.g., some observations are known to be at least X but the exact values are not observed), you face a censored data problem. The solution involves:</p><div class="captioned-image-container"><figure><a class="image-link image2" target="_blank" href="https://substackcdn.com/image/fetch/$s_!UhnS!,f_auto,q_auto:good,fl_progressive:steep/https%3A%2F%2Fsubstack-post-media.s3.amazonaws.com%2Fpublic%2Fimages%2F55cf2876-a99c-4ec9-aad0-a5c3689ead4a_881x86.png" data-component-name="Image2ToDOM"><div class="image2-inset"><picture><source type="image/webp" srcset="https://substackcdn.com/image/fetch/$s_!UhnS!,w_424,c_limit,f_webp,q_auto:good,fl_progressive:steep/https%3A%2F%2Fsubstack-post-media.s3.amazonaws.com%2Fpublic%2Fimages%2F55cf2876-a99c-4ec9-aad0-a5c3689ead4a_881x86.png 424w, https://substackcdn.com/image/fetch/$s_!UhnS!,w_848,c_limit,f_webp,q_auto:good,fl_progressive:steep/https%3A%2F%2Fsubstack-post-media.s3.amazonaws.com%2Fpublic%2Fimages%2F55cf2876-a99c-4ec9-aad0-a5c3689ead4a_881x86.png 848w, https://substackcdn.com/image/fetch/$s_!UhnS!,w_1272,c_limit,f_webp,q_auto:good,fl_progressive:steep/https%3A%2F%2Fsubstack-post-media.s3.amazonaws.com%2Fpublic%2Fimages%2F55cf2876-a99c-4ec9-aad0-a5c3689ead4a_881x86.png 1272w, https://substackcdn.com/image/fetch/$s_!UhnS!,w_1456,c_limit,f_webp,q_auto:good,fl_progressive:steep/https%3A%2F%2Fsubstack-post-media.s3.amazonaws.com%2Fpublic%2Fimages%2F55cf2876-a99c-4ec9-aad0-a5c3689ead4a_881x86.png 1456w" sizes="100vw"><img src="https://substackcdn.com/image/fetch/$s_!UhnS!,w_1456,c_limit,f_auto,q_auto:good,fl_progressive:steep/https%3A%2F%2Fsubstack-post-media.s3.amazonaws.com%2Fpublic%2Fimages%2F55cf2876-a99c-4ec9-aad0-a5c3689ead4a_881x86.png" width="881" height="86" data-attrs="{&quot;src&quot;:&quot;https://substack-post-media.s3.amazonaws.com/public/images/55cf2876-a99c-4ec9-aad0-a5c3689ead4a_881x86.png&quot;,&quot;srcNoWatermark&quot;:null,&quot;fullscreen&quot;:null,&quot;imageSize&quot;:null,&quot;height&quot;:86,&quot;width&quot;:881,&quot;resizeWidth&quot;:null,&quot;bytes&quot;:12560,&quot;alt&quot;:null,&quot;title&quot;:null,&quot;type&quot;:&quot;image/png&quot;,&quot;href&quot;:null,&quot;belowTheFold&quot;:true,&quot;topImage&quot;:false,&quot;internalRedirect&quot;:&quot;https://www.rohan-paul.com/i/165853859?img=https%3A%2F%2Fsubstack-post-media.s3.amazonaws.com%2Fpublic%2Fimages%2F55cf2876-a99c-4ec9-aad0-a5c3689ead4a_881x86.png&quot;,&quot;isProcessing&quot;:false,&quot;align&quot;:null,&quot;offset&quot;:false}" class="sizing-normal" alt="" srcset="https://substackcdn.com/image/fetch/$s_!UhnS!,w_424,c_limit,f_auto,q_auto:good,fl_progressive:steep/https%3A%2F%2Fsubstack-post-media.s3.amazonaws.com%2Fpublic%2Fimages%2F55cf2876-a99c-4ec9-aad0-a5c3689ead4a_881x86.png 424w, https://substackcdn.com/image/fetch/$s_!UhnS!,w_848,c_limit,f_auto,q_auto:good,fl_progressive:steep/https%3A%2F%2Fsubstack-post-media.s3.amazonaws.com%2Fpublic%2Fimages%2F55cf2876-a99c-4ec9-aad0-a5c3689ead4a_881x86.png 848w, https://substackcdn.com/image/fetch/$s_!UhnS!,w_1272,c_limit,f_auto,q_auto:good,fl_progressive:steep/https%3A%2F%2Fsubstack-post-media.s3.amazonaws.com%2Fpublic%2Fimages%2F55cf2876-a99c-4ec9-aad0-a5c3689ead4a_881x86.png 1272w, https://substackcdn.com/image/fetch/$s_!UhnS!,w_1456,c_limit,f_auto,q_auto:good,fl_progressive:steep/https%3A%2F%2Fsubstack-post-media.s3.amazonaws.com%2Fpublic%2Fimages%2F55cf2876-a99c-4ec9-aad0-a5c3689ead4a_881x86.png 1456w" sizes="100vw" loading="lazy"></picture><div></div></div></a></figure></div><ul><li><p>For each partially observed or censored sample, incorporate the probability that the sample falls in the known range. For example, if you only know a data point X is &gt; 3, then the contribution to the likelihood is exp&#8289;(&#8722;&#955;&#8901;3) (the survival function at 3).</p></li><li><p>The resulting likelihood is then a product of a PDF term for fully observed data points and a survival function term for censored data points.</p></li><li><p>Typically, this combined likelihood no longer yields a simple closed-form MLE, so numeric methods or the EM algorithm can be applied.</p></li></ul><p>Hence, the main conceptual shift is in how the likelihood is formulated for partial information, but the principle of maximizing the log-likelihood remains the same.</p><div class="captioned-image-container"><figure><a class="image-link image2 is-viewable-img" target="_blank" href="https://substackcdn.com/image/fetch/$s_!nWnl!,f_auto,q_auto:good,fl_progressive:steep/https%3A%2F%2Fsubstack-post-media.s3.amazonaws.com%2Fpublic%2Fimages%2F113a79b0-e5a4-4880-9c40-fad1ff7db92d_956x701.png" data-component-name="Image2ToDOM"><div class="image2-inset"><picture><source type="image/webp" srcset="https://substackcdn.com/image/fetch/$s_!nWnl!,w_424,c_limit,f_webp,q_auto:good,fl_progressive:steep/https%3A%2F%2Fsubstack-post-media.s3.amazonaws.com%2Fpublic%2Fimages%2F113a79b0-e5a4-4880-9c40-fad1ff7db92d_956x701.png 424w, https://substackcdn.com/image/fetch/$s_!nWnl!,w_848,c_limit,f_webp,q_auto:good,fl_progressive:steep/https%3A%2F%2Fsubstack-post-media.s3.amazonaws.com%2Fpublic%2Fimages%2F113a79b0-e5a4-4880-9c40-fad1ff7db92d_956x701.png 848w, https://substackcdn.com/image/fetch/$s_!nWnl!,w_1272,c_limit,f_webp,q_auto:good,fl_progressive:steep/https%3A%2F%2Fsubstack-post-media.s3.amazonaws.com%2Fpublic%2Fimages%2F113a79b0-e5a4-4880-9c40-fad1ff7db92d_956x701.png 1272w, https://substackcdn.com/image/fetch/$s_!nWnl!,w_1456,c_limit,f_webp,q_auto:good,fl_progressive:steep/https%3A%2F%2Fsubstack-post-media.s3.amazonaws.com%2Fpublic%2Fimages%2F113a79b0-e5a4-4880-9c40-fad1ff7db92d_956x701.png 1456w" sizes="100vw"><img src="https://substackcdn.com/image/fetch/$s_!nWnl!,w_1456,c_limit,f_auto,q_auto:good,fl_progressive:steep/https%3A%2F%2Fsubstack-post-media.s3.amazonaws.com%2Fpublic%2Fimages%2F113a79b0-e5a4-4880-9c40-fad1ff7db92d_956x701.png" width="956" height="701" data-attrs="{&quot;src&quot;:&quot;https://substack-post-media.s3.amazonaws.com/public/images/113a79b0-e5a4-4880-9c40-fad1ff7db92d_956x701.png&quot;,&quot;srcNoWatermark&quot;:null,&quot;fullscreen&quot;:null,&quot;imageSize&quot;:null,&quot;height&quot;:701,&quot;width&quot;:956,&quot;resizeWidth&quot;:null,&quot;bytes&quot;:145058,&quot;alt&quot;:null,&quot;title&quot;:null,&quot;type&quot;:&quot;image/png&quot;,&quot;href&quot;:null,&quot;belowTheFold&quot;:true,&quot;topImage&quot;:false,&quot;internalRedirect&quot;:&quot;https://www.rohan-paul.com/i/165853859?img=https%3A%2F%2Fsubstack-post-media.s3.amazonaws.com%2Fpublic%2Fimages%2F113a79b0-e5a4-4880-9c40-fad1ff7db92d_956x701.png&quot;,&quot;isProcessing&quot;:false,&quot;align&quot;:null,&quot;offset&quot;:false}" class="sizing-normal" alt="" srcset="https://substackcdn.com/image/fetch/$s_!nWnl!,w_424,c_limit,f_auto,q_auto:good,fl_progressive:steep/https%3A%2F%2Fsubstack-post-media.s3.amazonaws.com%2Fpublic%2Fimages%2F113a79b0-e5a4-4880-9c40-fad1ff7db92d_956x701.png 424w, https://substackcdn.com/image/fetch/$s_!nWnl!,w_848,c_limit,f_auto,q_auto:good,fl_progressive:steep/https%3A%2F%2Fsubstack-post-media.s3.amazonaws.com%2Fpublic%2Fimages%2F113a79b0-e5a4-4880-9c40-fad1ff7db92d_956x701.png 848w, https://substackcdn.com/image/fetch/$s_!nWnl!,w_1272,c_limit,f_auto,q_auto:good,fl_progressive:steep/https%3A%2F%2Fsubstack-post-media.s3.amazonaws.com%2Fpublic%2Fimages%2F113a79b0-e5a4-4880-9c40-fad1ff7db92d_956x701.png 1272w, https://substackcdn.com/image/fetch/$s_!nWnl!,w_1456,c_limit,f_auto,q_auto:good,fl_progressive:steep/https%3A%2F%2Fsubstack-post-media.s3.amazonaws.com%2Fpublic%2Fimages%2F113a79b0-e5a4-4880-9c40-fad1ff7db92d_956x701.png 1456w" sizes="100vw" loading="lazy"></picture><div class="image-link-expand"><div class="pencraft pc-display-flex pc-gap-8 pc-reset"><button tabindex="0" type="button" class="pencraft pc-reset pencraft icon-container restack-image"><svg role="img" width="20" height="20" viewBox="0 0 20 20" fill="none" stroke-width="1.5" stroke="var(--color-fg-primary)" stroke-linecap="round" stroke-linejoin="round" xmlns="http://www.w3.org/2000/svg"><g><title></title><path d="M2.53001 7.81595C3.49179 4.73911 6.43281 2.5 9.91173 2.5C13.1684 2.5 15.9537 4.46214 17.0852 7.23684L17.6179 8.67647M17.6179 8.67647L18.5002 4.26471M17.6179 8.67647L13.6473 6.91176M17.4995 12.1841C16.5378 15.2609 13.5967 17.5 10.1178 17.5C6.86118 17.5 4.07589 15.5379 2.94432 12.7632L2.41165 11.3235M2.41165 11.3235L1.5293 15.7353M2.41165 11.3235L6.38224 13.0882"></path></g></svg></button><button tabindex="0" type="button" class="pencraft pc-reset pencraft icon-container view-image"><svg xmlns="http://www.w3.org/2000/svg" width="20" height="20" viewBox="0 0 24 24" fill="none" stroke="currentColor" stroke-width="2" stroke-linecap="round" stroke-linejoin="round" class="lucide lucide-maximize2 lucide-maximize-2"><polyline points="15 3 21 3 21 9"></polyline><polyline points="9 21 3 21 3 15"></polyline><line x1="21" x2="14" y1="3" y2="10"></line><line x1="3" x2="10" y1="21" y2="14"></line></svg></button></div></div></div></a></figure></div><h2><strong>How would you implement a quick check for correctness of your MLE code?</strong></h2><p>One typical approach is simulation:</p><div class="captioned-image-container"><figure><a class="image-link image2 is-viewable-img" target="_blank" href="https://substackcdn.com/image/fetch/$s_!QLnk!,f_auto,q_auto:good,fl_progressive:steep/https%3A%2F%2Fsubstack-post-media.s3.amazonaws.com%2Fpublic%2Fimages%2F334f32a9-afaa-439d-9ac9-62588adf84ef_885x284.png" data-component-name="Image2ToDOM"><div class="image2-inset"><picture><source type="image/webp" srcset="https://substackcdn.com/image/fetch/$s_!QLnk!,w_424,c_limit,f_webp,q_auto:good,fl_progressive:steep/https%3A%2F%2Fsubstack-post-media.s3.amazonaws.com%2Fpublic%2Fimages%2F334f32a9-afaa-439d-9ac9-62588adf84ef_885x284.png 424w, https://substackcdn.com/image/fetch/$s_!QLnk!,w_848,c_limit,f_webp,q_auto:good,fl_progressive:steep/https%3A%2F%2Fsubstack-post-media.s3.amazonaws.com%2Fpublic%2Fimages%2F334f32a9-afaa-439d-9ac9-62588adf84ef_885x284.png 848w, https://substackcdn.com/image/fetch/$s_!QLnk!,w_1272,c_limit,f_webp,q_auto:good,fl_progressive:steep/https%3A%2F%2Fsubstack-post-media.s3.amazonaws.com%2Fpublic%2Fimages%2F334f32a9-afaa-439d-9ac9-62588adf84ef_885x284.png 1272w, https://substackcdn.com/image/fetch/$s_!QLnk!,w_1456,c_limit,f_webp,q_auto:good,fl_progressive:steep/https%3A%2F%2Fsubstack-post-media.s3.amazonaws.com%2Fpublic%2Fimages%2F334f32a9-afaa-439d-9ac9-62588adf84ef_885x284.png 1456w" sizes="100vw"><img src="https://substackcdn.com/image/fetch/$s_!QLnk!,w_1456,c_limit,f_auto,q_auto:good,fl_progressive:steep/https%3A%2F%2Fsubstack-post-media.s3.amazonaws.com%2Fpublic%2Fimages%2F334f32a9-afaa-439d-9ac9-62588adf84ef_885x284.png" width="885" height="284" data-attrs="{&quot;src&quot;:&quot;https://substack-post-media.s3.amazonaws.com/public/images/334f32a9-afaa-439d-9ac9-62588adf84ef_885x284.png&quot;,&quot;srcNoWatermark&quot;:null,&quot;fullscreen&quot;:null,&quot;imageSize&quot;:null,&quot;height&quot;:284,&quot;width&quot;:885,&quot;resizeWidth&quot;:null,&quot;bytes&quot;:49426,&quot;alt&quot;:null,&quot;title&quot;:null,&quot;type&quot;:&quot;image/png&quot;,&quot;href&quot;:null,&quot;belowTheFold&quot;:true,&quot;topImage&quot;:false,&quot;internalRedirect&quot;:&quot;https://www.rohan-paul.com/i/165853859?img=https%3A%2F%2Fsubstack-post-media.s3.amazonaws.com%2Fpublic%2Fimages%2F334f32a9-afaa-439d-9ac9-62588adf84ef_885x284.png&quot;,&quot;isProcessing&quot;:false,&quot;align&quot;:null,&quot;offset&quot;:false}" class="sizing-normal" alt="" srcset="https://substackcdn.com/image/fetch/$s_!QLnk!,w_424,c_limit,f_auto,q_auto:good,fl_progressive:steep/https%3A%2F%2Fsubstack-post-media.s3.amazonaws.com%2Fpublic%2Fimages%2F334f32a9-afaa-439d-9ac9-62588adf84ef_885x284.png 424w, https://substackcdn.com/image/fetch/$s_!QLnk!,w_848,c_limit,f_auto,q_auto:good,fl_progressive:steep/https%3A%2F%2Fsubstack-post-media.s3.amazonaws.com%2Fpublic%2Fimages%2F334f32a9-afaa-439d-9ac9-62588adf84ef_885x284.png 848w, https://substackcdn.com/image/fetch/$s_!QLnk!,w_1272,c_limit,f_auto,q_auto:good,fl_progressive:steep/https%3A%2F%2Fsubstack-post-media.s3.amazonaws.com%2Fpublic%2Fimages%2F334f32a9-afaa-439d-9ac9-62588adf84ef_885x284.png 1272w, https://substackcdn.com/image/fetch/$s_!QLnk!,w_1456,c_limit,f_auto,q_auto:good,fl_progressive:steep/https%3A%2F%2Fsubstack-post-media.s3.amazonaws.com%2Fpublic%2Fimages%2F334f32a9-afaa-439d-9ac9-62588adf84ef_885x284.png 1456w" sizes="100vw" loading="lazy"></picture><div class="image-link-expand"><div class="pencraft pc-display-flex pc-gap-8 pc-reset"><button tabindex="0" type="button" class="pencraft pc-reset pencraft icon-container restack-image"><svg role="img" width="20" height="20" viewBox="0 0 20 20" fill="none" stroke-width="1.5" stroke="var(--color-fg-primary)" stroke-linecap="round" stroke-linejoin="round" xmlns="http://www.w3.org/2000/svg"><g><title></title><path d="M2.53001 7.81595C3.49179 4.73911 6.43281 2.5 9.91173 2.5C13.1684 2.5 15.9537 4.46214 17.0852 7.23684L17.6179 8.67647M17.6179 8.67647L18.5002 4.26471M17.6179 8.67647L13.6473 6.91176M17.4995 12.1841C16.5378 15.2609 13.5967 17.5 10.1178 17.5C6.86118 17.5 4.07589 15.5379 2.94432 12.7632L2.41165 11.3235M2.41165 11.3235L1.5293 15.7353M2.41165 11.3235L6.38224 13.0882"></path></g></svg></button><button tabindex="0" type="button" class="pencraft pc-reset pencraft icon-container view-image"><svg xmlns="http://www.w3.org/2000/svg" width="20" height="20" viewBox="0 0 24 24" fill="none" stroke="currentColor" stroke-width="2" stroke-linecap="round" stroke-linejoin="round" class="lucide lucide-maximize2 lucide-maximize-2"><polyline points="15 3 21 3 21 9"></polyline><polyline points="9 21 3 21 3 15"></polyline><line x1="21" x2="14" y1="3" y2="10"></line><line x1="3" x2="10" y1="21" y2="14"></line></svg></button></div></div></div></a></figure></div><p>In Python:</p><pre><code><code>import numpy as np

np.random.seed(42)
true_lambda = 2.0
n_samples = 10000

# Generate data
data = np.random.exponential(scale=1/true_lambda, size=n_samples)

# Estimate
lambda_est = n_samples / data.sum()

print("True lambda:", true_lambda)
print("Estimated lambda:", lambda_est)
</code></code></pre><p>For large n, you would expect <code>lambda_est</code> to be close to 2.0.</p><h2><strong>How can we extend this to other distributions, for instance the Gamma distribution?</strong></h2><p>For a Gamma distribution with shape k and rate &#952; (or scale &#946;=1/&#952;), there is generally no single closed-form solution for both parameters if both are unknown. Typically, you:</p><div class="captioned-image-container"><figure><a class="image-link image2" target="_blank" href="https://substackcdn.com/image/fetch/$s_!uD6h!,f_auto,q_auto:good,fl_progressive:steep/https%3A%2F%2Fsubstack-post-media.s3.amazonaws.com%2Fpublic%2Fimages%2Fc7f01769-f53f-4979-8afd-b3b7caadc4cb_844x206.png" data-component-name="Image2ToDOM"><div class="image2-inset"><picture><source type="image/webp" srcset="https://substackcdn.com/image/fetch/$s_!uD6h!,w_424,c_limit,f_webp,q_auto:good,fl_progressive:steep/https%3A%2F%2Fsubstack-post-media.s3.amazonaws.com%2Fpublic%2Fimages%2Fc7f01769-f53f-4979-8afd-b3b7caadc4cb_844x206.png 424w, https://substackcdn.com/image/fetch/$s_!uD6h!,w_848,c_limit,f_webp,q_auto:good,fl_progressive:steep/https%3A%2F%2Fsubstack-post-media.s3.amazonaws.com%2Fpublic%2Fimages%2Fc7f01769-f53f-4979-8afd-b3b7caadc4cb_844x206.png 848w, https://substackcdn.com/image/fetch/$s_!uD6h!,w_1272,c_limit,f_webp,q_auto:good,fl_progressive:steep/https%3A%2F%2Fsubstack-post-media.s3.amazonaws.com%2Fpublic%2Fimages%2Fc7f01769-f53f-4979-8afd-b3b7caadc4cb_844x206.png 1272w, https://substackcdn.com/image/fetch/$s_!uD6h!,w_1456,c_limit,f_webp,q_auto:good,fl_progressive:steep/https%3A%2F%2Fsubstack-post-media.s3.amazonaws.com%2Fpublic%2Fimages%2Fc7f01769-f53f-4979-8afd-b3b7caadc4cb_844x206.png 1456w" sizes="100vw"><img src="https://substackcdn.com/image/fetch/$s_!uD6h!,w_1456,c_limit,f_auto,q_auto:good,fl_progressive:steep/https%3A%2F%2Fsubstack-post-media.s3.amazonaws.com%2Fpublic%2Fimages%2Fc7f01769-f53f-4979-8afd-b3b7caadc4cb_844x206.png" width="844" height="206" data-attrs="{&quot;src&quot;:&quot;https://substack-post-media.s3.amazonaws.com/public/images/c7f01769-f53f-4979-8afd-b3b7caadc4cb_844x206.png&quot;,&quot;srcNoWatermark&quot;:null,&quot;fullscreen&quot;:null,&quot;imageSize&quot;:null,&quot;height&quot;:206,&quot;width&quot;:844,&quot;resizeWidth&quot;:null,&quot;bytes&quot;:43447,&quot;alt&quot;:null,&quot;title&quot;:null,&quot;type&quot;:&quot;image/png&quot;,&quot;href&quot;:null,&quot;belowTheFold&quot;:true,&quot;topImage&quot;:false,&quot;internalRedirect&quot;:&quot;https://www.rohan-paul.com/i/165853859?img=https%3A%2F%2Fsubstack-post-media.s3.amazonaws.com%2Fpublic%2Fimages%2Fc7f01769-f53f-4979-8afd-b3b7caadc4cb_844x206.png&quot;,&quot;isProcessing&quot;:false,&quot;align&quot;:null,&quot;offset&quot;:false}" class="sizing-normal" alt="" srcset="https://substackcdn.com/image/fetch/$s_!uD6h!,w_424,c_limit,f_auto,q_auto:good,fl_progressive:steep/https%3A%2F%2Fsubstack-post-media.s3.amazonaws.com%2Fpublic%2Fimages%2Fc7f01769-f53f-4979-8afd-b3b7caadc4cb_844x206.png 424w, https://substackcdn.com/image/fetch/$s_!uD6h!,w_848,c_limit,f_auto,q_auto:good,fl_progressive:steep/https%3A%2F%2Fsubstack-post-media.s3.amazonaws.com%2Fpublic%2Fimages%2Fc7f01769-f53f-4979-8afd-b3b7caadc4cb_844x206.png 848w, https://substackcdn.com/image/fetch/$s_!uD6h!,w_1272,c_limit,f_auto,q_auto:good,fl_progressive:steep/https%3A%2F%2Fsubstack-post-media.s3.amazonaws.com%2Fpublic%2Fimages%2Fc7f01769-f53f-4979-8afd-b3b7caadc4cb_844x206.png 1272w, https://substackcdn.com/image/fetch/$s_!uD6h!,w_1456,c_limit,f_auto,q_auto:good,fl_progressive:steep/https%3A%2F%2Fsubstack-post-media.s3.amazonaws.com%2Fpublic%2Fimages%2Fc7f01769-f53f-4979-8afd-b3b7caadc4cb_844x206.png 1456w" sizes="100vw" loading="lazy"></picture><div></div></div></a></figure></div><p>This underscores why the exponential distribution (a Gamma with shape = 1) is simpler, as it has that neat closed-form solution for the MLE.</p><h2><strong>Are there any constraints on &#955; beyond &#955; &gt; 0?</strong></h2><p>Yes, the exponential distribution requires &#955; &gt; 0. Aside from that, there is no upper limit: &#955; can be arbitrarily large, corresponding to extremely rapid decay in the distribution. If a negative or zero value for &#955; appears as a potential solution, it is invalid. In both theoretical derivation and practical code, one must ensure the parameter search domain is restricted to &#955; &gt; 0.</p><h2><strong>How might regularization be applied if we want to avoid extreme values of &#955; in the MLE estimate?</strong></h2><p>You could impose a prior on &#955; (e.g., Gamma prior) and perform MAP estimation. Alternatively, from a frequentist perspective, you might add a penalty term to the log-likelihood:</p><div class="captioned-image-container"><figure><a class="image-link image2 is-viewable-img" target="_blank" href="https://substackcdn.com/image/fetch/$s_!_h5I!,f_auto,q_auto:good,fl_progressive:steep/https%3A%2F%2Fsubstack-post-media.s3.amazonaws.com%2Fpublic%2Fimages%2Fb4d330de-a2a6-429c-bb84-3cf68873915f_978x324.png" data-component-name="Image2ToDOM"><div class="image2-inset"><picture><source type="image/webp" srcset="https://substackcdn.com/image/fetch/$s_!_h5I!,w_424,c_limit,f_webp,q_auto:good,fl_progressive:steep/https%3A%2F%2Fsubstack-post-media.s3.amazonaws.com%2Fpublic%2Fimages%2Fb4d330de-a2a6-429c-bb84-3cf68873915f_978x324.png 424w, https://substackcdn.com/image/fetch/$s_!_h5I!,w_848,c_limit,f_webp,q_auto:good,fl_progressive:steep/https%3A%2F%2Fsubstack-post-media.s3.amazonaws.com%2Fpublic%2Fimages%2Fb4d330de-a2a6-429c-bb84-3cf68873915f_978x324.png 848w, https://substackcdn.com/image/fetch/$s_!_h5I!,w_1272,c_limit,f_webp,q_auto:good,fl_progressive:steep/https%3A%2F%2Fsubstack-post-media.s3.amazonaws.com%2Fpublic%2Fimages%2Fb4d330de-a2a6-429c-bb84-3cf68873915f_978x324.png 1272w, https://substackcdn.com/image/fetch/$s_!_h5I!,w_1456,c_limit,f_webp,q_auto:good,fl_progressive:steep/https%3A%2F%2Fsubstack-post-media.s3.amazonaws.com%2Fpublic%2Fimages%2Fb4d330de-a2a6-429c-bb84-3cf68873915f_978x324.png 1456w" sizes="100vw"><img src="https://substackcdn.com/image/fetch/$s_!_h5I!,w_1456,c_limit,f_auto,q_auto:good,fl_progressive:steep/https%3A%2F%2Fsubstack-post-media.s3.amazonaws.com%2Fpublic%2Fimages%2Fb4d330de-a2a6-429c-bb84-3cf68873915f_978x324.png" width="978" height="324" data-attrs="{&quot;src&quot;:&quot;https://substack-post-media.s3.amazonaws.com/public/images/b4d330de-a2a6-429c-bb84-3cf68873915f_978x324.png&quot;,&quot;srcNoWatermark&quot;:null,&quot;fullscreen&quot;:null,&quot;imageSize&quot;:null,&quot;height&quot;:324,&quot;width&quot;:978,&quot;resizeWidth&quot;:null,&quot;bytes&quot;:63916,&quot;alt&quot;:null,&quot;title&quot;:null,&quot;type&quot;:&quot;image/png&quot;,&quot;href&quot;:null,&quot;belowTheFold&quot;:true,&quot;topImage&quot;:false,&quot;internalRedirect&quot;:&quot;https://www.rohan-paul.com/i/165853859?img=https%3A%2F%2Fsubstack-post-media.s3.amazonaws.com%2Fpublic%2Fimages%2Fb4d330de-a2a6-429c-bb84-3cf68873915f_978x324.png&quot;,&quot;isProcessing&quot;:false,&quot;align&quot;:null,&quot;offset&quot;:false}" class="sizing-normal" alt="" srcset="https://substackcdn.com/image/fetch/$s_!_h5I!,w_424,c_limit,f_auto,q_auto:good,fl_progressive:steep/https%3A%2F%2Fsubstack-post-media.s3.amazonaws.com%2Fpublic%2Fimages%2Fb4d330de-a2a6-429c-bb84-3cf68873915f_978x324.png 424w, https://substackcdn.com/image/fetch/$s_!_h5I!,w_848,c_limit,f_auto,q_auto:good,fl_progressive:steep/https%3A%2F%2Fsubstack-post-media.s3.amazonaws.com%2Fpublic%2Fimages%2Fb4d330de-a2a6-429c-bb84-3cf68873915f_978x324.png 848w, https://substackcdn.com/image/fetch/$s_!_h5I!,w_1272,c_limit,f_auto,q_auto:good,fl_progressive:steep/https%3A%2F%2Fsubstack-post-media.s3.amazonaws.com%2Fpublic%2Fimages%2Fb4d330de-a2a6-429c-bb84-3cf68873915f_978x324.png 1272w, https://substackcdn.com/image/fetch/$s_!_h5I!,w_1456,c_limit,f_auto,q_auto:good,fl_progressive:steep/https%3A%2F%2Fsubstack-post-media.s3.amazonaws.com%2Fpublic%2Fimages%2Fb4d330de-a2a6-429c-bb84-3cf68873915f_978x324.png 1456w" sizes="100vw" loading="lazy"></picture><div class="image-link-expand"><div class="pencraft pc-display-flex pc-gap-8 pc-reset"><button tabindex="0" type="button" class="pencraft pc-reset pencraft icon-container restack-image"><svg role="img" width="20" height="20" viewBox="0 0 20 20" fill="none" stroke-width="1.5" stroke="var(--color-fg-primary)" stroke-linecap="round" stroke-linejoin="round" xmlns="http://www.w3.org/2000/svg"><g><title></title><path d="M2.53001 7.81595C3.49179 4.73911 6.43281 2.5 9.91173 2.5C13.1684 2.5 15.9537 4.46214 17.0852 7.23684L17.6179 8.67647M17.6179 8.67647L18.5002 4.26471M17.6179 8.67647L13.6473 6.91176M17.4995 12.1841C16.5378 15.2609 13.5967 17.5 10.1178 17.5C6.86118 17.5 4.07589 15.5379 2.94432 12.7632L2.41165 11.3235M2.41165 11.3235L1.5293 15.7353M2.41165 11.3235L6.38224 13.0882"></path></g></svg></button><button tabindex="0" type="button" class="pencraft pc-reset pencraft icon-container view-image"><svg xmlns="http://www.w3.org/2000/svg" width="20" height="20" viewBox="0 0 24 24" fill="none" stroke="currentColor" stroke-width="2" stroke-linecap="round" stroke-linejoin="round" class="lucide lucide-maximize2 lucide-maximize-2"><polyline points="15 3 21 3 21 9"></polyline><polyline points="9 21 3 21 3 15"></polyline><line x1="21" x2="14" y1="3" y2="10"></line><line x1="3" x2="10" y1="21" y2="14"></line></svg></button></div></div></div></a></figure></div><h2><strong>Final Thoughts on Estimating &#955;</strong></h2><div class="captioned-image-container"><figure><a class="image-link image2 is-viewable-img" target="_blank" href="https://substackcdn.com/image/fetch/$s_!JFMA!,f_auto,q_auto:good,fl_progressive:steep/https%3A%2F%2Fsubstack-post-media.s3.amazonaws.com%2Fpublic%2Fimages%2F3c9051d6-95a4-4993-99cd-689f89019020_788x288.png" data-component-name="Image2ToDOM"><div class="image2-inset"><picture><source type="image/webp" srcset="https://substackcdn.com/image/fetch/$s_!JFMA!,w_424,c_limit,f_webp,q_auto:good,fl_progressive:steep/https%3A%2F%2Fsubstack-post-media.s3.amazonaws.com%2Fpublic%2Fimages%2F3c9051d6-95a4-4993-99cd-689f89019020_788x288.png 424w, https://substackcdn.com/image/fetch/$s_!JFMA!,w_848,c_limit,f_webp,q_auto:good,fl_progressive:steep/https%3A%2F%2Fsubstack-post-media.s3.amazonaws.com%2Fpublic%2Fimages%2F3c9051d6-95a4-4993-99cd-689f89019020_788x288.png 848w, https://substackcdn.com/image/fetch/$s_!JFMA!,w_1272,c_limit,f_webp,q_auto:good,fl_progressive:steep/https%3A%2F%2Fsubstack-post-media.s3.amazonaws.com%2Fpublic%2Fimages%2F3c9051d6-95a4-4993-99cd-689f89019020_788x288.png 1272w, https://substackcdn.com/image/fetch/$s_!JFMA!,w_1456,c_limit,f_webp,q_auto:good,fl_progressive:steep/https%3A%2F%2Fsubstack-post-media.s3.amazonaws.com%2Fpublic%2Fimages%2F3c9051d6-95a4-4993-99cd-689f89019020_788x288.png 1456w" sizes="100vw"><img src="https://substackcdn.com/image/fetch/$s_!JFMA!,w_1456,c_limit,f_auto,q_auto:good,fl_progressive:steep/https%3A%2F%2Fsubstack-post-media.s3.amazonaws.com%2Fpublic%2Fimages%2F3c9051d6-95a4-4993-99cd-689f89019020_788x288.png" width="788" height="288" data-attrs="{&quot;src&quot;:&quot;https://substack-post-media.s3.amazonaws.com/public/images/3c9051d6-95a4-4993-99cd-689f89019020_788x288.png&quot;,&quot;srcNoWatermark&quot;:null,&quot;fullscreen&quot;:null,&quot;imageSize&quot;:null,&quot;height&quot;:288,&quot;width&quot;:788,&quot;resizeWidth&quot;:null,&quot;bytes&quot;:25486,&quot;alt&quot;:null,&quot;title&quot;:null,&quot;type&quot;:&quot;image/png&quot;,&quot;href&quot;:null,&quot;belowTheFold&quot;:true,&quot;topImage&quot;:false,&quot;internalRedirect&quot;:&quot;https://www.rohan-paul.com/i/165853859?img=https%3A%2F%2Fsubstack-post-media.s3.amazonaws.com%2Fpublic%2Fimages%2F3c9051d6-95a4-4993-99cd-689f89019020_788x288.png&quot;,&quot;isProcessing&quot;:false,&quot;align&quot;:null,&quot;offset&quot;:false}" class="sizing-normal" alt="" srcset="https://substackcdn.com/image/fetch/$s_!JFMA!,w_424,c_limit,f_auto,q_auto:good,fl_progressive:steep/https%3A%2F%2Fsubstack-post-media.s3.amazonaws.com%2Fpublic%2Fimages%2F3c9051d6-95a4-4993-99cd-689f89019020_788x288.png 424w, https://substackcdn.com/image/fetch/$s_!JFMA!,w_848,c_limit,f_auto,q_auto:good,fl_progressive:steep/https%3A%2F%2Fsubstack-post-media.s3.amazonaws.com%2Fpublic%2Fimages%2F3c9051d6-95a4-4993-99cd-689f89019020_788x288.png 848w, https://substackcdn.com/image/fetch/$s_!JFMA!,w_1272,c_limit,f_auto,q_auto:good,fl_progressive:steep/https%3A%2F%2Fsubstack-post-media.s3.amazonaws.com%2Fpublic%2Fimages%2F3c9051d6-95a4-4993-99cd-689f89019020_788x288.png 1272w, https://substackcdn.com/image/fetch/$s_!JFMA!,w_1456,c_limit,f_auto,q_auto:good,fl_progressive:steep/https%3A%2F%2Fsubstack-post-media.s3.amazonaws.com%2Fpublic%2Fimages%2F3c9051d6-95a4-4993-99cd-689f89019020_788x288.png 1456w" sizes="100vw" loading="lazy"></picture><div class="image-link-expand"><div class="pencraft pc-display-flex pc-gap-8 pc-reset"><button tabindex="0" type="button" class="pencraft pc-reset pencraft icon-container restack-image"><svg role="img" width="20" height="20" viewBox="0 0 20 20" fill="none" stroke-width="1.5" stroke="var(--color-fg-primary)" stroke-linecap="round" stroke-linejoin="round" xmlns="http://www.w3.org/2000/svg"><g><title></title><path d="M2.53001 7.81595C3.49179 4.73911 6.43281 2.5 9.91173 2.5C13.1684 2.5 15.9537 4.46214 17.0852 7.23684L17.6179 8.67647M17.6179 8.67647L18.5002 4.26471M17.6179 8.67647L13.6473 6.91176M17.4995 12.1841C16.5378 15.2609 13.5967 17.5 10.1178 17.5C6.86118 17.5 4.07589 15.5379 2.94432 12.7632L2.41165 11.3235M2.41165 11.3235L1.5293 15.7353M2.41165 11.3235L6.38224 13.0882"></path></g></svg></button><button tabindex="0" type="button" class="pencraft pc-reset pencraft icon-container view-image"><svg xmlns="http://www.w3.org/2000/svg" width="20" height="20" viewBox="0 0 24 24" fill="none" stroke="currentColor" stroke-width="2" stroke-linecap="round" stroke-linejoin="round" class="lucide lucide-maximize2 lucide-maximize-2"><polyline points="15 3 21 3 21 9"></polyline><polyline points="9 21 3 21 3 15"></polyline><line x1="21" x2="14" y1="3" y2="10"></line><line x1="3" x2="10" y1="21" y2="14"></line></svg></button></div></div></div></a></figure></div><ul><li><p>The derivation is straightforward: write the likelihood, take the log, differentiate with respect to &#955;, and solve.</p></li><li><p>This estimator also matches the method-of-moments estimator for the exponential distribution.</p></li><li><p>Checking for boundary cases and distribution fit is essential for real-world practice.</p></li></ul><p>Once you have completed the derivation and verified that your formula or code is correct, you generally have a reliable estimate of the rate parameter under the exponential model.</p><div><hr></div><h2><strong>Below are additional follow-up questions</strong></h2><h2><strong>What if the sample size is extremely small, such as n=1 or n=2?</strong></h2><p>An extremely small sample size can pose challenges when applying MLE for the exponential distribution. In theory, the MLE formula</p><div class="captioned-image-container"><figure><a class="image-link image2" target="_blank" href="https://substackcdn.com/image/fetch/$s_!UotO!,f_auto,q_auto:good,fl_progressive:steep/https%3A%2F%2Fsubstack-post-media.s3.amazonaws.com%2Fpublic%2Fimages%2Fb75ad93f-4ad0-4af7-b1d3-c89fdfb80f36_373x193.png" data-component-name="Image2ToDOM"><div class="image2-inset"><picture><source type="image/webp" srcset="https://substackcdn.com/image/fetch/$s_!UotO!,w_424,c_limit,f_webp,q_auto:good,fl_progressive:steep/https%3A%2F%2Fsubstack-post-media.s3.amazonaws.com%2Fpublic%2Fimages%2Fb75ad93f-4ad0-4af7-b1d3-c89fdfb80f36_373x193.png 424w, https://substackcdn.com/image/fetch/$s_!UotO!,w_848,c_limit,f_webp,q_auto:good,fl_progressive:steep/https%3A%2F%2Fsubstack-post-media.s3.amazonaws.com%2Fpublic%2Fimages%2Fb75ad93f-4ad0-4af7-b1d3-c89fdfb80f36_373x193.png 848w, https://substackcdn.com/image/fetch/$s_!UotO!,w_1272,c_limit,f_webp,q_auto:good,fl_progressive:steep/https%3A%2F%2Fsubstack-post-media.s3.amazonaws.com%2Fpublic%2Fimages%2Fb75ad93f-4ad0-4af7-b1d3-c89fdfb80f36_373x193.png 1272w, https://substackcdn.com/image/fetch/$s_!UotO!,w_1456,c_limit,f_webp,q_auto:good,fl_progressive:steep/https%3A%2F%2Fsubstack-post-media.s3.amazonaws.com%2Fpublic%2Fimages%2Fb75ad93f-4ad0-4af7-b1d3-c89fdfb80f36_373x193.png 1456w" sizes="100vw"><img src="https://substackcdn.com/image/fetch/$s_!UotO!,w_1456,c_limit,f_auto,q_auto:good,fl_progressive:steep/https%3A%2F%2Fsubstack-post-media.s3.amazonaws.com%2Fpublic%2Fimages%2Fb75ad93f-4ad0-4af7-b1d3-c89fdfb80f36_373x193.png" width="373" height="193" data-attrs="{&quot;src&quot;:&quot;https://substack-post-media.s3.amazonaws.com/public/images/b75ad93f-4ad0-4af7-b1d3-c89fdfb80f36_373x193.png&quot;,&quot;srcNoWatermark&quot;:null,&quot;fullscreen&quot;:null,&quot;imageSize&quot;:null,&quot;height&quot;:193,&quot;width&quot;:373,&quot;resizeWidth&quot;:null,&quot;bytes&quot;:9054,&quot;alt&quot;:null,&quot;title&quot;:null,&quot;type&quot;:&quot;image/png&quot;,&quot;href&quot;:null,&quot;belowTheFold&quot;:true,&quot;topImage&quot;:false,&quot;internalRedirect&quot;:&quot;https://www.rohan-paul.com/i/165853859?img=https%3A%2F%2Fsubstack-post-media.s3.amazonaws.com%2Fpublic%2Fimages%2Fb75ad93f-4ad0-4af7-b1d3-c89fdfb80f36_373x193.png&quot;,&quot;isProcessing&quot;:false,&quot;align&quot;:null,&quot;offset&quot;:false}" class="sizing-normal" alt="" srcset="https://substackcdn.com/image/fetch/$s_!UotO!,w_424,c_limit,f_auto,q_auto:good,fl_progressive:steep/https%3A%2F%2Fsubstack-post-media.s3.amazonaws.com%2Fpublic%2Fimages%2Fb75ad93f-4ad0-4af7-b1d3-c89fdfb80f36_373x193.png 424w, https://substackcdn.com/image/fetch/$s_!UotO!,w_848,c_limit,f_auto,q_auto:good,fl_progressive:steep/https%3A%2F%2Fsubstack-post-media.s3.amazonaws.com%2Fpublic%2Fimages%2Fb75ad93f-4ad0-4af7-b1d3-c89fdfb80f36_373x193.png 848w, https://substackcdn.com/image/fetch/$s_!UotO!,w_1272,c_limit,f_auto,q_auto:good,fl_progressive:steep/https%3A%2F%2Fsubstack-post-media.s3.amazonaws.com%2Fpublic%2Fimages%2Fb75ad93f-4ad0-4af7-b1d3-c89fdfb80f36_373x193.png 1272w, https://substackcdn.com/image/fetch/$s_!UotO!,w_1456,c_limit,f_auto,q_auto:good,fl_progressive:steep/https%3A%2F%2Fsubstack-post-media.s3.amazonaws.com%2Fpublic%2Fimages%2Fb75ad93f-4ad0-4af7-b1d3-c89fdfb80f36_373x193.png 1456w" sizes="100vw" loading="lazy"></picture><div></div></div></a></figure></div><p>remains valid even for small n. However, there are some subtle practical and conceptual issues:</p><ul><li><p><strong>n=1</strong>: If you have a single observation ( x_1 ), the MLE becomes</p></li></ul><div class="captioned-image-container"><figure><a class="image-link image2" target="_blank" href="https://substackcdn.com/image/fetch/$s_!V17d!,f_auto,q_auto:good,fl_progressive:steep/https%3A%2F%2Fsubstack-post-media.s3.amazonaws.com%2Fpublic%2Fimages%2F7116a8f2-3f4f-4cd0-b7b7-c11de6de513f_269x173.png" data-component-name="Image2ToDOM"><div class="image2-inset"><picture><source type="image/webp" srcset="https://substackcdn.com/image/fetch/$s_!V17d!,w_424,c_limit,f_webp,q_auto:good,fl_progressive:steep/https%3A%2F%2Fsubstack-post-media.s3.amazonaws.com%2Fpublic%2Fimages%2F7116a8f2-3f4f-4cd0-b7b7-c11de6de513f_269x173.png 424w, https://substackcdn.com/image/fetch/$s_!V17d!,w_848,c_limit,f_webp,q_auto:good,fl_progressive:steep/https%3A%2F%2Fsubstack-post-media.s3.amazonaws.com%2Fpublic%2Fimages%2F7116a8f2-3f4f-4cd0-b7b7-c11de6de513f_269x173.png 848w, https://substackcdn.com/image/fetch/$s_!V17d!,w_1272,c_limit,f_webp,q_auto:good,fl_progressive:steep/https%3A%2F%2Fsubstack-post-media.s3.amazonaws.com%2Fpublic%2Fimages%2F7116a8f2-3f4f-4cd0-b7b7-c11de6de513f_269x173.png 1272w, https://substackcdn.com/image/fetch/$s_!V17d!,w_1456,c_limit,f_webp,q_auto:good,fl_progressive:steep/https%3A%2F%2Fsubstack-post-media.s3.amazonaws.com%2Fpublic%2Fimages%2F7116a8f2-3f4f-4cd0-b7b7-c11de6de513f_269x173.png 1456w" sizes="100vw"><img src="https://substackcdn.com/image/fetch/$s_!V17d!,w_1456,c_limit,f_auto,q_auto:good,fl_progressive:steep/https%3A%2F%2Fsubstack-post-media.s3.amazonaws.com%2Fpublic%2Fimages%2F7116a8f2-3f4f-4cd0-b7b7-c11de6de513f_269x173.png" width="269" height="173" data-attrs="{&quot;src&quot;:&quot;https://substack-post-media.s3.amazonaws.com/public/images/7116a8f2-3f4f-4cd0-b7b7-c11de6de513f_269x173.png&quot;,&quot;srcNoWatermark&quot;:null,&quot;fullscreen&quot;:null,&quot;imageSize&quot;:null,&quot;height&quot;:173,&quot;width&quot;:269,&quot;resizeWidth&quot;:null,&quot;bytes&quot;:4340,&quot;alt&quot;:null,&quot;title&quot;:null,&quot;type&quot;:&quot;image/png&quot;,&quot;href&quot;:null,&quot;belowTheFold&quot;:true,&quot;topImage&quot;:false,&quot;internalRedirect&quot;:&quot;https://www.rohan-paul.com/i/165853859?img=https%3A%2F%2Fsubstack-post-media.s3.amazonaws.com%2Fpublic%2Fimages%2F7116a8f2-3f4f-4cd0-b7b7-c11de6de513f_269x173.png&quot;,&quot;isProcessing&quot;:false,&quot;align&quot;:null,&quot;offset&quot;:false}" class="sizing-normal" alt="" srcset="https://substackcdn.com/image/fetch/$s_!V17d!,w_424,c_limit,f_auto,q_auto:good,fl_progressive:steep/https%3A%2F%2Fsubstack-post-media.s3.amazonaws.com%2Fpublic%2Fimages%2F7116a8f2-3f4f-4cd0-b7b7-c11de6de513f_269x173.png 424w, https://substackcdn.com/image/fetch/$s_!V17d!,w_848,c_limit,f_auto,q_auto:good,fl_progressive:steep/https%3A%2F%2Fsubstack-post-media.s3.amazonaws.com%2Fpublic%2Fimages%2F7116a8f2-3f4f-4cd0-b7b7-c11de6de513f_269x173.png 848w, https://substackcdn.com/image/fetch/$s_!V17d!,w_1272,c_limit,f_auto,q_auto:good,fl_progressive:steep/https%3A%2F%2Fsubstack-post-media.s3.amazonaws.com%2Fpublic%2Fimages%2F7116a8f2-3f4f-4cd0-b7b7-c11de6de513f_269x173.png 1272w, https://substackcdn.com/image/fetch/$s_!V17d!,w_1456,c_limit,f_auto,q_auto:good,fl_progressive:steep/https%3A%2F%2Fsubstack-post-media.s3.amazonaws.com%2Fpublic%2Fimages%2F7116a8f2-3f4f-4cd0-b7b7-c11de6de513f_269x173.png 1456w" sizes="100vw" loading="lazy"></picture><div></div></div></a></figure></div><div class="captioned-image-container"><figure><a class="image-link image2 is-viewable-img" target="_blank" href="https://substackcdn.com/image/fetch/$s_!eqAc!,f_auto,q_auto:good,fl_progressive:steep/https%3A%2F%2Fsubstack-post-media.s3.amazonaws.com%2Fpublic%2Fimages%2F3de907b0-f343-44f5-a396-445a26f1c1c4_912x426.png" data-component-name="Image2ToDOM"><div class="image2-inset"><picture><source type="image/webp" srcset="https://substackcdn.com/image/fetch/$s_!eqAc!,w_424,c_limit,f_webp,q_auto:good,fl_progressive:steep/https%3A%2F%2Fsubstack-post-media.s3.amazonaws.com%2Fpublic%2Fimages%2F3de907b0-f343-44f5-a396-445a26f1c1c4_912x426.png 424w, https://substackcdn.com/image/fetch/$s_!eqAc!,w_848,c_limit,f_webp,q_auto:good,fl_progressive:steep/https%3A%2F%2Fsubstack-post-media.s3.amazonaws.com%2Fpublic%2Fimages%2F3de907b0-f343-44f5-a396-445a26f1c1c4_912x426.png 848w, https://substackcdn.com/image/fetch/$s_!eqAc!,w_1272,c_limit,f_webp,q_auto:good,fl_progressive:steep/https%3A%2F%2Fsubstack-post-media.s3.amazonaws.com%2Fpublic%2Fimages%2F3de907b0-f343-44f5-a396-445a26f1c1c4_912x426.png 1272w, https://substackcdn.com/image/fetch/$s_!eqAc!,w_1456,c_limit,f_webp,q_auto:good,fl_progressive:steep/https%3A%2F%2Fsubstack-post-media.s3.amazonaws.com%2Fpublic%2Fimages%2F3de907b0-f343-44f5-a396-445a26f1c1c4_912x426.png 1456w" sizes="100vw"><img src="https://substackcdn.com/image/fetch/$s_!eqAc!,w_1456,c_limit,f_auto,q_auto:good,fl_progressive:steep/https%3A%2F%2Fsubstack-post-media.s3.amazonaws.com%2Fpublic%2Fimages%2F3de907b0-f343-44f5-a396-445a26f1c1c4_912x426.png" width="912" height="426" data-attrs="{&quot;src&quot;:&quot;https://substack-post-media.s3.amazonaws.com/public/images/3de907b0-f343-44f5-a396-445a26f1c1c4_912x426.png&quot;,&quot;srcNoWatermark&quot;:null,&quot;fullscreen&quot;:null,&quot;imageSize&quot;:null,&quot;height&quot;:426,&quot;width&quot;:912,&quot;resizeWidth&quot;:null,&quot;bytes&quot;:52617,&quot;alt&quot;:null,&quot;title&quot;:null,&quot;type&quot;:&quot;image/png&quot;,&quot;href&quot;:null,&quot;belowTheFold&quot;:true,&quot;topImage&quot;:false,&quot;internalRedirect&quot;:&quot;https://www.rohan-paul.com/i/165853859?img=https%3A%2F%2Fsubstack-post-media.s3.amazonaws.com%2Fpublic%2Fimages%2F3de907b0-f343-44f5-a396-445a26f1c1c4_912x426.png&quot;,&quot;isProcessing&quot;:false,&quot;align&quot;:null,&quot;offset&quot;:false}" class="sizing-normal" alt="" srcset="https://substackcdn.com/image/fetch/$s_!eqAc!,w_424,c_limit,f_auto,q_auto:good,fl_progressive:steep/https%3A%2F%2Fsubstack-post-media.s3.amazonaws.com%2Fpublic%2Fimages%2F3de907b0-f343-44f5-a396-445a26f1c1c4_912x426.png 424w, https://substackcdn.com/image/fetch/$s_!eqAc!,w_848,c_limit,f_auto,q_auto:good,fl_progressive:steep/https%3A%2F%2Fsubstack-post-media.s3.amazonaws.com%2Fpublic%2Fimages%2F3de907b0-f343-44f5-a396-445a26f1c1c4_912x426.png 848w, https://substackcdn.com/image/fetch/$s_!eqAc!,w_1272,c_limit,f_auto,q_auto:good,fl_progressive:steep/https%3A%2F%2Fsubstack-post-media.s3.amazonaws.com%2Fpublic%2Fimages%2F3de907b0-f343-44f5-a396-445a26f1c1c4_912x426.png 1272w, https://substackcdn.com/image/fetch/$s_!eqAc!,w_1456,c_limit,f_auto,q_auto:good,fl_progressive:steep/https%3A%2F%2Fsubstack-post-media.s3.amazonaws.com%2Fpublic%2Fimages%2F3de907b0-f343-44f5-a396-445a26f1c1c4_912x426.png 1456w" sizes="100vw" loading="lazy"></picture><div class="image-link-expand"><div class="pencraft pc-display-flex pc-gap-8 pc-reset"><button tabindex="0" type="button" class="pencraft pc-reset pencraft icon-container restack-image"><svg role="img" width="20" height="20" viewBox="0 0 20 20" fill="none" stroke-width="1.5" stroke="var(--color-fg-primary)" stroke-linecap="round" stroke-linejoin="round" xmlns="http://www.w3.org/2000/svg"><g><title></title><path d="M2.53001 7.81595C3.49179 4.73911 6.43281 2.5 9.91173 2.5C13.1684 2.5 15.9537 4.46214 17.0852 7.23684L17.6179 8.67647M17.6179 8.67647L18.5002 4.26471M17.6179 8.67647L13.6473 6.91176M17.4995 12.1841C16.5378 15.2609 13.5967 17.5 10.1178 17.5C6.86118 17.5 4.07589 15.5379 2.94432 12.7632L2.41165 11.3235M2.41165 11.3235L1.5293 15.7353M2.41165 11.3235L6.38224 13.0882"></path></g></svg></button><button tabindex="0" type="button" class="pencraft pc-reset pencraft icon-container view-image"><svg xmlns="http://www.w3.org/2000/svg" width="20" height="20" viewBox="0 0 24 24" fill="none" stroke="currentColor" stroke-width="2" stroke-linecap="round" stroke-linejoin="round" class="lucide lucide-maximize2 lucide-maximize-2"><polyline points="15 3 21 3 21 9"></polyline><polyline points="9 21 3 21 3 15"></polyline><line x1="21" x2="14" y1="3" y2="10"></line><line x1="3" x2="10" y1="21" y2="14"></line></svg></button></div></div></div></a></figure></div><ul><li><p>This is still valid but can be heavily influenced by outliers in either ( x_1 ) or ( x_2 ). One small measurement drastically raises ( \hat{\lambda} ).</p></li><li><p><strong>Interpretation and Variance</strong>: The MLE for (\lambda) with very small n has high uncertainty. A single or couple of data points do not robustly represent the underlying distribution. In practice, you might:</p><ul><li><p>Use Bayesian methods with a reasonable prior to stabilize estimates.</p></li><li><p>Collect more data if possible.</p></li><li><p>Provide confidence intervals or credible intervals, which often show that the uncertainty is large.</p></li></ul></li><li><p><strong>Edge Case</strong>: If either observation is 0 (in the n=2 scenario) or your single observation is 0 (in the n=1 scenario), the sum of observations can be 0, pushing ( \hat{\lambda} ) to infinity in a purely theoretical sense. This highlights how fragile the estimate can be for tiny samples.</p></li></ul><p>Hence, while mathematically valid, the MLE with extremely small n can be very unreliable. Additional data or prior knowledge is strongly recommended.</p><h2><strong>How does the MLE behave if the data is not truly exponential but we force an exponential assumption?</strong></h2><p>When the true underlying distribution is not exponential, forcing an exponential model can lead to systematic bias or poor predictive performance. Potential scenarios include:</p><ul><li><p><strong>Heavier-Tailed Data</strong>: If the true data is from a distribution with a heavier tail (e.g., a Pareto or some heavy-tailed mixture), the MLE for (\lambda) could underestimate the tail probability, because an exponential distribution decays faster than heavier-tailed distributions. Long, infrequent observations stretch the sum ( \sum x_i ), causing a smaller (\hat{\lambda}).</p></li><li><p><strong>Lighter-Tailed Data</strong>: If the true data distribution is short-tailed (e.g., bounded or sub-exponential), the exponential assumption may overestimate the frequency of large values. You might see a larger (\hat{\lambda}) than is consistent with the actual phenomenon.</p></li><li><p><strong>Mixture of Exponentials</strong>: Real processes can combine different rates. For instance, you might have a mixture of shorter waiting times and longer waiting times. A single-rate exponential might not fit well, and the MLE tries to find a compromise rate parameter that often doesn&#8217;t capture the multi-modal nature of the data.</p></li><li><p><strong>Model Diagnostics</strong>: In real applications, you should assess goodness-of-fit. For example:</p><ul><li><p><strong>Kolmogorov-Smirnov Test</strong> for exponential distribution.</p></li><li><p><strong>QQ-plots</strong> or <strong>PP-plots</strong> to visually check how well your data aligns with the exponential model.</p></li><li><p><strong>Likelihood ratio tests</strong> if you compare exponentials with more flexible distributions (e.g., Gamma).</p></li></ul></li></ul><p>Ultimately, if the data is not exponential, the MLE is simply maximizing the likelihood under the wrong model. It still yields a mathematical best-fit under that assumption, but the results and subsequent inferences could be misleading.</p><h2><strong>How do outliers or extreme values affect the exponential MLE?</strong></h2><p>In an exponential distribution, large observations (outliers) can significantly affect the sum of all observations and thereby reduce (\hat{\lambda}). Some real-world implications:</p><ul><li><p><strong>Long-Tail Sensitivity</strong>: Since (\hat{\lambda} = n / \sum x_i), even a single large ( x_i ) can increase ( \sum x_i ) substantially, leading to a smaller estimate of (\hat{\lambda}). This might create an unrealistic expectation that large observations are relatively common or that the average rate is slower.</p></li><li><p><strong>Robustness Concerns</strong>: The exponential MLE is not particularly robust to outliers because it weighs every data point equally in the sum. If outliers are truly part of the data-generating process, that&#8217;s appropriate. If outliers result from data entry errors or anomalies outside the normal scope, the MLE may become skewed.</p></li><li><p><strong>Practical Handling</strong>:</p><ul><li><p><strong>Data Cleaning</strong>: Verify that outliers are valid. If some are errors, correct or remove them.</p></li><li><p><strong>Alternative Distributions</strong>: If outliers are valid but frequent, consider heavier-tailed distributions (e.g., Pareto, Lognormal, Gamma with shape parameter &lt; 1).</p></li><li><p><strong>Robust Estimation</strong>: Alternatively, use robust procedures or incorporate prior knowledge (Bayesian) that moderates the effect of extreme values.</p></li></ul></li></ul><p>Thus, while the exponential MLE works well for data that genuinely follows an exponential distribution, outliers can heavily distort the parameter estimate if the data do not conform to that assumption.</p><h2><strong>How do we construct a confidence interval for the MLE of &#955;?</strong></h2><p>A common technique to derive a confidence interval for the exponential rate (\lambda) uses either the asymptotic normality of the MLE or direct transformations:</p><ol><li><p><strong>Asymptotic Normality</strong>: For large n, the MLE (\hat{\lambda}) is approximately normally distributed around the true (\lambda), with a variance given by the inverse of the Fisher information. For the exponential distribution, the Fisher information for (\lambda) with n samples is</p></li></ol><div class="captioned-image-container"><figure><a class="image-link image2" target="_blank" href="https://substackcdn.com/image/fetch/$s_!N0af!,f_auto,q_auto:good,fl_progressive:steep/https%3A%2F%2Fsubstack-post-media.s3.amazonaws.com%2Fpublic%2Fimages%2F4200adb6-8b0a-41af-bb94-4e9f721c13ec_319x164.png" data-component-name="Image2ToDOM"><div class="image2-inset"><picture><source type="image/webp" srcset="https://substackcdn.com/image/fetch/$s_!N0af!,w_424,c_limit,f_webp,q_auto:good,fl_progressive:steep/https%3A%2F%2Fsubstack-post-media.s3.amazonaws.com%2Fpublic%2Fimages%2F4200adb6-8b0a-41af-bb94-4e9f721c13ec_319x164.png 424w, https://substackcdn.com/image/fetch/$s_!N0af!,w_848,c_limit,f_webp,q_auto:good,fl_progressive:steep/https%3A%2F%2Fsubstack-post-media.s3.amazonaws.com%2Fpublic%2Fimages%2F4200adb6-8b0a-41af-bb94-4e9f721c13ec_319x164.png 848w, https://substackcdn.com/image/fetch/$s_!N0af!,w_1272,c_limit,f_webp,q_auto:good,fl_progressive:steep/https%3A%2F%2Fsubstack-post-media.s3.amazonaws.com%2Fpublic%2Fimages%2F4200adb6-8b0a-41af-bb94-4e9f721c13ec_319x164.png 1272w, https://substackcdn.com/image/fetch/$s_!N0af!,w_1456,c_limit,f_webp,q_auto:good,fl_progressive:steep/https%3A%2F%2Fsubstack-post-media.s3.amazonaws.com%2Fpublic%2Fimages%2F4200adb6-8b0a-41af-bb94-4e9f721c13ec_319x164.png 1456w" sizes="100vw"><img src="https://substackcdn.com/image/fetch/$s_!N0af!,w_1456,c_limit,f_auto,q_auto:good,fl_progressive:steep/https%3A%2F%2Fsubstack-post-media.s3.amazonaws.com%2Fpublic%2Fimages%2F4200adb6-8b0a-41af-bb94-4e9f721c13ec_319x164.png" width="319" height="164" data-attrs="{&quot;src&quot;:&quot;https://substack-post-media.s3.amazonaws.com/public/images/4200adb6-8b0a-41af-bb94-4e9f721c13ec_319x164.png&quot;,&quot;srcNoWatermark&quot;:null,&quot;fullscreen&quot;:null,&quot;imageSize&quot;:null,&quot;height&quot;:164,&quot;width&quot;:319,&quot;resizeWidth&quot;:null,&quot;bytes&quot;:7086,&quot;alt&quot;:null,&quot;title&quot;:null,&quot;type&quot;:&quot;image/png&quot;,&quot;href&quot;:null,&quot;belowTheFold&quot;:true,&quot;topImage&quot;:false,&quot;internalRedirect&quot;:&quot;https://www.rohan-paul.com/i/165853859?img=https%3A%2F%2Fsubstack-post-media.s3.amazonaws.com%2Fpublic%2Fimages%2F4200adb6-8b0a-41af-bb94-4e9f721c13ec_319x164.png&quot;,&quot;isProcessing&quot;:false,&quot;align&quot;:null,&quot;offset&quot;:false}" class="sizing-normal" alt="" srcset="https://substackcdn.com/image/fetch/$s_!N0af!,w_424,c_limit,f_auto,q_auto:good,fl_progressive:steep/https%3A%2F%2Fsubstack-post-media.s3.amazonaws.com%2Fpublic%2Fimages%2F4200adb6-8b0a-41af-bb94-4e9f721c13ec_319x164.png 424w, https://substackcdn.com/image/fetch/$s_!N0af!,w_848,c_limit,f_auto,q_auto:good,fl_progressive:steep/https%3A%2F%2Fsubstack-post-media.s3.amazonaws.com%2Fpublic%2Fimages%2F4200adb6-8b0a-41af-bb94-4e9f721c13ec_319x164.png 848w, https://substackcdn.com/image/fetch/$s_!N0af!,w_1272,c_limit,f_auto,q_auto:good,fl_progressive:steep/https%3A%2F%2Fsubstack-post-media.s3.amazonaws.com%2Fpublic%2Fimages%2F4200adb6-8b0a-41af-bb94-4e9f721c13ec_319x164.png 1272w, https://substackcdn.com/image/fetch/$s_!N0af!,w_1456,c_limit,f_auto,q_auto:good,fl_progressive:steep/https%3A%2F%2Fsubstack-post-media.s3.amazonaws.com%2Fpublic%2Fimages%2F4200adb6-8b0a-41af-bb94-4e9f721c13ec_319x164.png 1456w" sizes="100vw" loading="lazy"></picture><div></div></div></a></figure></div><p>Hence, the variance of (\hat{\lambda}) is</p><div class="captioned-image-container"><figure><a class="image-link image2" target="_blank" href="https://substackcdn.com/image/fetch/$s_!c3bt!,f_auto,q_auto:good,fl_progressive:steep/https%3A%2F%2Fsubstack-post-media.s3.amazonaws.com%2Fpublic%2Fimages%2Ff499c61f-6fd1-4327-84da-0902931573bb_121x188.png" data-component-name="Image2ToDOM"><div class="image2-inset"><picture><source type="image/webp" srcset="https://substackcdn.com/image/fetch/$s_!c3bt!,w_424,c_limit,f_webp,q_auto:good,fl_progressive:steep/https%3A%2F%2Fsubstack-post-media.s3.amazonaws.com%2Fpublic%2Fimages%2Ff499c61f-6fd1-4327-84da-0902931573bb_121x188.png 424w, https://substackcdn.com/image/fetch/$s_!c3bt!,w_848,c_limit,f_webp,q_auto:good,fl_progressive:steep/https%3A%2F%2Fsubstack-post-media.s3.amazonaws.com%2Fpublic%2Fimages%2Ff499c61f-6fd1-4327-84da-0902931573bb_121x188.png 848w, https://substackcdn.com/image/fetch/$s_!c3bt!,w_1272,c_limit,f_webp,q_auto:good,fl_progressive:steep/https%3A%2F%2Fsubstack-post-media.s3.amazonaws.com%2Fpublic%2Fimages%2Ff499c61f-6fd1-4327-84da-0902931573bb_121x188.png 1272w, https://substackcdn.com/image/fetch/$s_!c3bt!,w_1456,c_limit,f_webp,q_auto:good,fl_progressive:steep/https%3A%2F%2Fsubstack-post-media.s3.amazonaws.com%2Fpublic%2Fimages%2Ff499c61f-6fd1-4327-84da-0902931573bb_121x188.png 1456w" sizes="100vw"><img src="https://substackcdn.com/image/fetch/$s_!c3bt!,w_1456,c_limit,f_auto,q_auto:good,fl_progressive:steep/https%3A%2F%2Fsubstack-post-media.s3.amazonaws.com%2Fpublic%2Fimages%2Ff499c61f-6fd1-4327-84da-0902931573bb_121x188.png" width="121" height="188" data-attrs="{&quot;src&quot;:&quot;https://substack-post-media.s3.amazonaws.com/public/images/f499c61f-6fd1-4327-84da-0902931573bb_121x188.png&quot;,&quot;srcNoWatermark&quot;:null,&quot;fullscreen&quot;:null,&quot;imageSize&quot;:null,&quot;height&quot;:188,&quot;width&quot;:121,&quot;resizeWidth&quot;:null,&quot;bytes&quot;:3615,&quot;alt&quot;:null,&quot;title&quot;:null,&quot;type&quot;:&quot;image/png&quot;,&quot;href&quot;:null,&quot;belowTheFold&quot;:true,&quot;topImage&quot;:false,&quot;internalRedirect&quot;:&quot;https://www.rohan-paul.com/i/165853859?img=https%3A%2F%2Fsubstack-post-media.s3.amazonaws.com%2Fpublic%2Fimages%2Ff499c61f-6fd1-4327-84da-0902931573bb_121x188.png&quot;,&quot;isProcessing&quot;:false,&quot;align&quot;:null,&quot;offset&quot;:false}" class="sizing-normal" alt="" srcset="https://substackcdn.com/image/fetch/$s_!c3bt!,w_424,c_limit,f_auto,q_auto:good,fl_progressive:steep/https%3A%2F%2Fsubstack-post-media.s3.amazonaws.com%2Fpublic%2Fimages%2Ff499c61f-6fd1-4327-84da-0902931573bb_121x188.png 424w, https://substackcdn.com/image/fetch/$s_!c3bt!,w_848,c_limit,f_auto,q_auto:good,fl_progressive:steep/https%3A%2F%2Fsubstack-post-media.s3.amazonaws.com%2Fpublic%2Fimages%2Ff499c61f-6fd1-4327-84da-0902931573bb_121x188.png 848w, https://substackcdn.com/image/fetch/$s_!c3bt!,w_1272,c_limit,f_auto,q_auto:good,fl_progressive:steep/https%3A%2F%2Fsubstack-post-media.s3.amazonaws.com%2Fpublic%2Fimages%2Ff499c61f-6fd1-4327-84da-0902931573bb_121x188.png 1272w, https://substackcdn.com/image/fetch/$s_!c3bt!,w_1456,c_limit,f_auto,q_auto:good,fl_progressive:steep/https%3A%2F%2Fsubstack-post-media.s3.amazonaws.com%2Fpublic%2Fimages%2Ff499c61f-6fd1-4327-84da-0902931573bb_121x188.png 1456w" sizes="100vw" loading="lazy"></picture><div></div></div></a></figure></div><p>Substituting (\hat{\lambda}) for (\lambda):</p><div class="captioned-image-container"><figure><a class="image-link image2" target="_blank" href="https://substackcdn.com/image/fetch/$s_!16ey!,f_auto,q_auto:good,fl_progressive:steep/https%3A%2F%2Fsubstack-post-media.s3.amazonaws.com%2Fpublic%2Fimages%2Fa98e632a-aeeb-4d13-a014-1989f24de645_363x197.png" data-component-name="Image2ToDOM"><div class="image2-inset"><picture><source type="image/webp" srcset="https://substackcdn.com/image/fetch/$s_!16ey!,w_424,c_limit,f_webp,q_auto:good,fl_progressive:steep/https%3A%2F%2Fsubstack-post-media.s3.amazonaws.com%2Fpublic%2Fimages%2Fa98e632a-aeeb-4d13-a014-1989f24de645_363x197.png 424w, https://substackcdn.com/image/fetch/$s_!16ey!,w_848,c_limit,f_webp,q_auto:good,fl_progressive:steep/https%3A%2F%2Fsubstack-post-media.s3.amazonaws.com%2Fpublic%2Fimages%2Fa98e632a-aeeb-4d13-a014-1989f24de645_363x197.png 848w, https://substackcdn.com/image/fetch/$s_!16ey!,w_1272,c_limit,f_webp,q_auto:good,fl_progressive:steep/https%3A%2F%2Fsubstack-post-media.s3.amazonaws.com%2Fpublic%2Fimages%2Fa98e632a-aeeb-4d13-a014-1989f24de645_363x197.png 1272w, https://substackcdn.com/image/fetch/$s_!16ey!,w_1456,c_limit,f_webp,q_auto:good,fl_progressive:steep/https%3A%2F%2Fsubstack-post-media.s3.amazonaws.com%2Fpublic%2Fimages%2Fa98e632a-aeeb-4d13-a014-1989f24de645_363x197.png 1456w" sizes="100vw"><img src="https://substackcdn.com/image/fetch/$s_!16ey!,w_1456,c_limit,f_auto,q_auto:good,fl_progressive:steep/https%3A%2F%2Fsubstack-post-media.s3.amazonaws.com%2Fpublic%2Fimages%2Fa98e632a-aeeb-4d13-a014-1989f24de645_363x197.png" width="363" height="197" data-attrs="{&quot;src&quot;:&quot;https://substack-post-media.s3.amazonaws.com/public/images/a98e632a-aeeb-4d13-a014-1989f24de645_363x197.png&quot;,&quot;srcNoWatermark&quot;:null,&quot;fullscreen&quot;:null,&quot;imageSize&quot;:null,&quot;height&quot;:197,&quot;width&quot;:363,&quot;resizeWidth&quot;:null,&quot;bytes&quot;:11068,&quot;alt&quot;:null,&quot;title&quot;:null,&quot;type&quot;:&quot;image/png&quot;,&quot;href&quot;:null,&quot;belowTheFold&quot;:true,&quot;topImage&quot;:false,&quot;internalRedirect&quot;:&quot;https://www.rohan-paul.com/i/165853859?img=https%3A%2F%2Fsubstack-post-media.s3.amazonaws.com%2Fpublic%2Fimages%2Fa98e632a-aeeb-4d13-a014-1989f24de645_363x197.png&quot;,&quot;isProcessing&quot;:false,&quot;align&quot;:null,&quot;offset&quot;:false}" class="sizing-normal" alt="" srcset="https://substackcdn.com/image/fetch/$s_!16ey!,w_424,c_limit,f_auto,q_auto:good,fl_progressive:steep/https%3A%2F%2Fsubstack-post-media.s3.amazonaws.com%2Fpublic%2Fimages%2Fa98e632a-aeeb-4d13-a014-1989f24de645_363x197.png 424w, https://substackcdn.com/image/fetch/$s_!16ey!,w_848,c_limit,f_auto,q_auto:good,fl_progressive:steep/https%3A%2F%2Fsubstack-post-media.s3.amazonaws.com%2Fpublic%2Fimages%2Fa98e632a-aeeb-4d13-a014-1989f24de645_363x197.png 848w, https://substackcdn.com/image/fetch/$s_!16ey!,w_1272,c_limit,f_auto,q_auto:good,fl_progressive:steep/https%3A%2F%2Fsubstack-post-media.s3.amazonaws.com%2Fpublic%2Fimages%2Fa98e632a-aeeb-4d13-a014-1989f24de645_363x197.png 1272w, https://substackcdn.com/image/fetch/$s_!16ey!,w_1456,c_limit,f_auto,q_auto:good,fl_progressive:steep/https%3A%2F%2Fsubstack-post-media.s3.amazonaws.com%2Fpublic%2Fimages%2Fa98e632a-aeeb-4d13-a014-1989f24de645_363x197.png 1456w" sizes="100vw" loading="lazy"></picture><div></div></div></a></figure></div><p>A rough (1-(\alpha)) confidence interval can be written as</p><div class="captioned-image-container"><figure><a class="image-link image2" target="_blank" href="https://substackcdn.com/image/fetch/$s_!_vuP!,f_auto,q_auto:good,fl_progressive:steep/https%3A%2F%2Fsubstack-post-media.s3.amazonaws.com%2Fpublic%2Fimages%2F386970b4-0a79-475f-b5d6-f3c8708b4b9a_403x203.png" data-component-name="Image2ToDOM"><div class="image2-inset"><picture><source type="image/webp" srcset="https://substackcdn.com/image/fetch/$s_!_vuP!,w_424,c_limit,f_webp,q_auto:good,fl_progressive:steep/https%3A%2F%2Fsubstack-post-media.s3.amazonaws.com%2Fpublic%2Fimages%2F386970b4-0a79-475f-b5d6-f3c8708b4b9a_403x203.png 424w, https://substackcdn.com/image/fetch/$s_!_vuP!,w_848,c_limit,f_webp,q_auto:good,fl_progressive:steep/https%3A%2F%2Fsubstack-post-media.s3.amazonaws.com%2Fpublic%2Fimages%2F386970b4-0a79-475f-b5d6-f3c8708b4b9a_403x203.png 848w, https://substackcdn.com/image/fetch/$s_!_vuP!,w_1272,c_limit,f_webp,q_auto:good,fl_progressive:steep/https%3A%2F%2Fsubstack-post-media.s3.amazonaws.com%2Fpublic%2Fimages%2F386970b4-0a79-475f-b5d6-f3c8708b4b9a_403x203.png 1272w, https://substackcdn.com/image/fetch/$s_!_vuP!,w_1456,c_limit,f_webp,q_auto:good,fl_progressive:steep/https%3A%2F%2Fsubstack-post-media.s3.amazonaws.com%2Fpublic%2Fimages%2F386970b4-0a79-475f-b5d6-f3c8708b4b9a_403x203.png 1456w" sizes="100vw"><img src="https://substackcdn.com/image/fetch/$s_!_vuP!,w_1456,c_limit,f_auto,q_auto:good,fl_progressive:steep/https%3A%2F%2Fsubstack-post-media.s3.amazonaws.com%2Fpublic%2Fimages%2F386970b4-0a79-475f-b5d6-f3c8708b4b9a_403x203.png" width="403" height="203" data-attrs="{&quot;src&quot;:&quot;https://substack-post-media.s3.amazonaws.com/public/images/386970b4-0a79-475f-b5d6-f3c8708b4b9a_403x203.png&quot;,&quot;srcNoWatermark&quot;:null,&quot;fullscreen&quot;:null,&quot;imageSize&quot;:null,&quot;height&quot;:203,&quot;width&quot;:403,&quot;resizeWidth&quot;:null,&quot;bytes&quot;:9937,&quot;alt&quot;:null,&quot;title&quot;:null,&quot;type&quot;:&quot;image/png&quot;,&quot;href&quot;:null,&quot;belowTheFold&quot;:true,&quot;topImage&quot;:false,&quot;internalRedirect&quot;:&quot;https://www.rohan-paul.com/i/165853859?img=https%3A%2F%2Fsubstack-post-media.s3.amazonaws.com%2Fpublic%2Fimages%2F386970b4-0a79-475f-b5d6-f3c8708b4b9a_403x203.png&quot;,&quot;isProcessing&quot;:false,&quot;align&quot;:null,&quot;offset&quot;:false}" class="sizing-normal" alt="" srcset="https://substackcdn.com/image/fetch/$s_!_vuP!,w_424,c_limit,f_auto,q_auto:good,fl_progressive:steep/https%3A%2F%2Fsubstack-post-media.s3.amazonaws.com%2Fpublic%2Fimages%2F386970b4-0a79-475f-b5d6-f3c8708b4b9a_403x203.png 424w, https://substackcdn.com/image/fetch/$s_!_vuP!,w_848,c_limit,f_auto,q_auto:good,fl_progressive:steep/https%3A%2F%2Fsubstack-post-media.s3.amazonaws.com%2Fpublic%2Fimages%2F386970b4-0a79-475f-b5d6-f3c8708b4b9a_403x203.png 848w, https://substackcdn.com/image/fetch/$s_!_vuP!,w_1272,c_limit,f_auto,q_auto:good,fl_progressive:steep/https%3A%2F%2Fsubstack-post-media.s3.amazonaws.com%2Fpublic%2Fimages%2F386970b4-0a79-475f-b5d6-f3c8708b4b9a_403x203.png 1272w, https://substackcdn.com/image/fetch/$s_!_vuP!,w_1456,c_limit,f_auto,q_auto:good,fl_progressive:steep/https%3A%2F%2Fsubstack-post-media.s3.amazonaws.com%2Fpublic%2Fimages%2F386970b4-0a79-475f-b5d6-f3c8708b4b9a_403x203.png 1456w" sizes="100vw" loading="lazy"></picture><div></div></div></a></figure></div><p>where (z_{\alpha/2}) is the standard normal critical value.</p><ol start="2"><li><p><strong>Likelihood Ratio Methods</strong>: Another approach is to use the profile likelihood for (\lambda) and find the interval where the log-likelihood stays within a certain cutoff from its maximum. This method can be more accurate for smaller n.</p></li><li><p><strong>Exact or Pivot-Based Intervals</strong>: For exponential data, it&#8217;s also possible to use the fact that (\sum x_i \sim \text{Gamma}(n, \lambda)). Then you can construct an exact confidence interval for (\lambda) leveraging Gamma distribution quantiles:</p><ul><li><p>If ( T = \lambda \sum_{i=1}^n x_i \sim \chi^2_{2n} ) (because a Gamma with shape n can be related to a (\chi^2) distribution), you can invert that relationship to find confidence limits that do not rely on large-sample approximations.</p></li></ul></li></ol><p><strong>Practical Usage</strong>: In typical large-sample scenarios, the asymptotic approach is straightforward and works well. For smaller samples, the exact or likelihood-ratio-based intervals are more accurate but require more computation (e.g., numerical root-finding or table lookups).</p><h2><strong>How do we handle scenarios where &#955; might change over time?</strong></h2><p>In many real-world processes, the rate parameter (\lambda) is not constant. For instance, the time between events may shorten or lengthen over different phases. An exponential distribution with a single (\lambda) becomes a poor fit if the process is non-stationary. Some strategies:</p><ul><li><p><strong>Piecewise Exponential Model</strong>: Split the observation timeline into segments where (\lambda) is assumed constant within each segment but can differ across segments. Then you estimate separate MLEs (\hat{\lambda}_1, \hat{\lambda}_2, \dots) for each segment.</p></li><li><p><strong>Non-Homogeneous Poisson Processes (NHPP)</strong>: In continuous-time event processes, you can model a rate function (\lambda(t)) that varies with time. The likelihood involves integrating (\lambda(t)) over each event's time interval. You often must resort to numeric methods or specialized assumptions (e.g., a piecewise constant (\lambda(t)) or a parametric form like (\lambda(t) = \alpha + \beta t)).</p></li><li><p><strong>State-Space Models</strong>: If (\lambda) changes stochastically, you can use Bayesian or state-space approaches that treat (\lambda) as a latent variable evolving over time (e.g., a random walk or a dynamic linear model).</p></li><li><p><strong>Practical Note</strong>: If you simply lump all data and assume a single (\lambda), you might get an average rate that fails to capture the true temporal variations, leading to poor predictions or misinterpretation of event dynamics.</p></li></ul><h2><strong>Could we use the exponential MLE as a stepping stone in a hierarchical or multi-level model?</strong></h2><p>Yes. In certain hierarchical setups&#8212;say you have multiple groups or conditions each believed to follow an exponential distribution but sharing some global hyperparameters&#8212;you might do the following:</p><ul><li><p>Estimate (\lambda) for each group independently using MLE or a Bayesian approach.</p></li><li><p>Then place a higher-level prior on (\lambda) across groups if the group rates are somewhat related. For example:</p><ul><li><p>Hyperprior: You might assume (\lambda) for each group is drawn from a Gamma distribution, forming a Gamma-Gamma hierarchical model (since an exponential is a Gamma with shape=1).</p></li><li><p><strong>Partial Pooling</strong>: If each group has limited data, pooling across groups can help stabilize the parameter estimates. You might find that group-specific (\lambda_i) shrinks toward a global mean.</p></li></ul></li></ul><p>Though the direct MLE from each group is not always the final solution in hierarchical modeling, it can serve as an initial guess or an input to an iterative method (like an EM algorithm or Hamiltonian Monte Carlo in a Bayesian setting). The key is that MLE for the exponential rate in each subgroup is easy to compute, providing a quick baseline or starting point for more complex multi-level models.</p><h2><strong>What if the data has been discretized or rounded, but we still assume an exponential model?</strong></h2><p>Real datasets often measure time in discrete units (e.g., hours, days) rather than exact continuous values. Technically, the exponential distribution is a continuous model, so how do we handle discretization?</p><ul><li><p><strong>Direct Mismatch</strong>: If the data is purely discrete, using a continuous PDF can introduce bias. The MLE formula</p></li></ul><div class="captioned-image-container"><figure><a class="image-link image2" target="_blank" href="https://substackcdn.com/image/fetch/$s_!Oy-V!,f_auto,q_auto:good,fl_progressive:steep/https%3A%2F%2Fsubstack-post-media.s3.amazonaws.com%2Fpublic%2Fimages%2F0e513298-965b-4caf-80f8-ac8af6153088_382x173.png" data-component-name="Image2ToDOM"><div class="image2-inset"><picture><source type="image/webp" srcset="https://substackcdn.com/image/fetch/$s_!Oy-V!,w_424,c_limit,f_webp,q_auto:good,fl_progressive:steep/https%3A%2F%2Fsubstack-post-media.s3.amazonaws.com%2Fpublic%2Fimages%2F0e513298-965b-4caf-80f8-ac8af6153088_382x173.png 424w, https://substackcdn.com/image/fetch/$s_!Oy-V!,w_848,c_limit,f_webp,q_auto:good,fl_progressive:steep/https%3A%2F%2Fsubstack-post-media.s3.amazonaws.com%2Fpublic%2Fimages%2F0e513298-965b-4caf-80f8-ac8af6153088_382x173.png 848w, https://substackcdn.com/image/fetch/$s_!Oy-V!,w_1272,c_limit,f_webp,q_auto:good,fl_progressive:steep/https%3A%2F%2Fsubstack-post-media.s3.amazonaws.com%2Fpublic%2Fimages%2F0e513298-965b-4caf-80f8-ac8af6153088_382x173.png 1272w, https://substackcdn.com/image/fetch/$s_!Oy-V!,w_1456,c_limit,f_webp,q_auto:good,fl_progressive:steep/https%3A%2F%2Fsubstack-post-media.s3.amazonaws.com%2Fpublic%2Fimages%2F0e513298-965b-4caf-80f8-ac8af6153088_382x173.png 1456w" sizes="100vw"><img src="https://substackcdn.com/image/fetch/$s_!Oy-V!,w_1456,c_limit,f_auto,q_auto:good,fl_progressive:steep/https%3A%2F%2Fsubstack-post-media.s3.amazonaws.com%2Fpublic%2Fimages%2F0e513298-965b-4caf-80f8-ac8af6153088_382x173.png" width="382" height="173" data-attrs="{&quot;src&quot;:&quot;https://substack-post-media.s3.amazonaws.com/public/images/0e513298-965b-4caf-80f8-ac8af6153088_382x173.png&quot;,&quot;srcNoWatermark&quot;:null,&quot;fullscreen&quot;:null,&quot;imageSize&quot;:null,&quot;height&quot;:173,&quot;width&quot;:382,&quot;resizeWidth&quot;:null,&quot;bytes&quot;:8842,&quot;alt&quot;:null,&quot;title&quot;:null,&quot;type&quot;:&quot;image/png&quot;,&quot;href&quot;:null,&quot;belowTheFold&quot;:true,&quot;topImage&quot;:false,&quot;internalRedirect&quot;:&quot;https://www.rohan-paul.com/i/165853859?img=https%3A%2F%2Fsubstack-post-media.s3.amazonaws.com%2Fpublic%2Fimages%2F0e513298-965b-4caf-80f8-ac8af6153088_382x173.png&quot;,&quot;isProcessing&quot;:false,&quot;align&quot;:null,&quot;offset&quot;:false}" class="sizing-normal" alt="" srcset="https://substackcdn.com/image/fetch/$s_!Oy-V!,w_424,c_limit,f_auto,q_auto:good,fl_progressive:steep/https%3A%2F%2Fsubstack-post-media.s3.amazonaws.com%2Fpublic%2Fimages%2F0e513298-965b-4caf-80f8-ac8af6153088_382x173.png 424w, https://substackcdn.com/image/fetch/$s_!Oy-V!,w_848,c_limit,f_auto,q_auto:good,fl_progressive:steep/https%3A%2F%2Fsubstack-post-media.s3.amazonaws.com%2Fpublic%2Fimages%2F0e513298-965b-4caf-80f8-ac8af6153088_382x173.png 848w, https://substackcdn.com/image/fetch/$s_!Oy-V!,w_1272,c_limit,f_auto,q_auto:good,fl_progressive:steep/https%3A%2F%2Fsubstack-post-media.s3.amazonaws.com%2Fpublic%2Fimages%2F0e513298-965b-4caf-80f8-ac8af6153088_382x173.png 1272w, https://substackcdn.com/image/fetch/$s_!Oy-V!,w_1456,c_limit,f_auto,q_auto:good,fl_progressive:steep/https%3A%2F%2Fsubstack-post-media.s3.amazonaws.com%2Fpublic%2Fimages%2F0e513298-965b-4caf-80f8-ac8af6153088_382x173.png 1456w" sizes="100vw" loading="lazy"></picture><div></div></div></a></figure></div><p>might still be used as an approximation if the discretization is fine (e.g., measuring times in milliseconds for events that typically last seconds).</p><ul><li><p><strong>Interval Censoring</strong>: Rounding can be seen as a form of interval censoring (each true value is in an interval [k, k+1) if rounding to the nearest integer). The correct approach is to write down the probability that a time belongs to that interval under the exponential model and maximize the corresponding likelihood. That typically necessitates a more involved likelihood function:</p><ul><li><p>The probability of rounding to integer k is</p></li></ul></li></ul><div class="captioned-image-container"><figure><a class="image-link image2" target="_blank" href="https://substackcdn.com/image/fetch/$s_!l8l9!,f_auto,q_auto:good,fl_progressive:steep/https%3A%2F%2Fsubstack-post-media.s3.amazonaws.com%2Fpublic%2Fimages%2F02da764d-5cbc-4a80-aaf9-b1e1cda7cdee_673x148.png" data-component-name="Image2ToDOM"><div class="image2-inset"><picture><source type="image/webp" srcset="https://substackcdn.com/image/fetch/$s_!l8l9!,w_424,c_limit,f_webp,q_auto:good,fl_progressive:steep/https%3A%2F%2Fsubstack-post-media.s3.amazonaws.com%2Fpublic%2Fimages%2F02da764d-5cbc-4a80-aaf9-b1e1cda7cdee_673x148.png 424w, https://substackcdn.com/image/fetch/$s_!l8l9!,w_848,c_limit,f_webp,q_auto:good,fl_progressive:steep/https%3A%2F%2Fsubstack-post-media.s3.amazonaws.com%2Fpublic%2Fimages%2F02da764d-5cbc-4a80-aaf9-b1e1cda7cdee_673x148.png 848w, https://substackcdn.com/image/fetch/$s_!l8l9!,w_1272,c_limit,f_webp,q_auto:good,fl_progressive:steep/https%3A%2F%2Fsubstack-post-media.s3.amazonaws.com%2Fpublic%2Fimages%2F02da764d-5cbc-4a80-aaf9-b1e1cda7cdee_673x148.png 1272w, https://substackcdn.com/image/fetch/$s_!l8l9!,w_1456,c_limit,f_webp,q_auto:good,fl_progressive:steep/https%3A%2F%2Fsubstack-post-media.s3.amazonaws.com%2Fpublic%2Fimages%2F02da764d-5cbc-4a80-aaf9-b1e1cda7cdee_673x148.png 1456w" sizes="100vw"><img src="https://substackcdn.com/image/fetch/$s_!l8l9!,w_1456,c_limit,f_auto,q_auto:good,fl_progressive:steep/https%3A%2F%2Fsubstack-post-media.s3.amazonaws.com%2Fpublic%2Fimages%2F02da764d-5cbc-4a80-aaf9-b1e1cda7cdee_673x148.png" width="673" height="148" data-attrs="{&quot;src&quot;:&quot;https://substack-post-media.s3.amazonaws.com/public/images/02da764d-5cbc-4a80-aaf9-b1e1cda7cdee_673x148.png&quot;,&quot;srcNoWatermark&quot;:null,&quot;fullscreen&quot;:null,&quot;imageSize&quot;:null,&quot;height&quot;:148,&quot;width&quot;:673,&quot;resizeWidth&quot;:null,&quot;bytes&quot;:11517,&quot;alt&quot;:null,&quot;title&quot;:null,&quot;type&quot;:&quot;image/png&quot;,&quot;href&quot;:null,&quot;belowTheFold&quot;:true,&quot;topImage&quot;:false,&quot;internalRedirect&quot;:&quot;https://www.rohan-paul.com/i/165853859?img=https%3A%2F%2Fsubstack-post-media.s3.amazonaws.com%2Fpublic%2Fimages%2F02da764d-5cbc-4a80-aaf9-b1e1cda7cdee_673x148.png&quot;,&quot;isProcessing&quot;:false,&quot;align&quot;:null,&quot;offset&quot;:false}" class="sizing-normal" alt="" srcset="https://substackcdn.com/image/fetch/$s_!l8l9!,w_424,c_limit,f_auto,q_auto:good,fl_progressive:steep/https%3A%2F%2Fsubstack-post-media.s3.amazonaws.com%2Fpublic%2Fimages%2F02da764d-5cbc-4a80-aaf9-b1e1cda7cdee_673x148.png 424w, https://substackcdn.com/image/fetch/$s_!l8l9!,w_848,c_limit,f_auto,q_auto:good,fl_progressive:steep/https%3A%2F%2Fsubstack-post-media.s3.amazonaws.com%2Fpublic%2Fimages%2F02da764d-5cbc-4a80-aaf9-b1e1cda7cdee_673x148.png 848w, https://substackcdn.com/image/fetch/$s_!l8l9!,w_1272,c_limit,f_auto,q_auto:good,fl_progressive:steep/https%3A%2F%2Fsubstack-post-media.s3.amazonaws.com%2Fpublic%2Fimages%2F02da764d-5cbc-4a80-aaf9-b1e1cda7cdee_673x148.png 1272w, https://substackcdn.com/image/fetch/$s_!l8l9!,w_1456,c_limit,f_auto,q_auto:good,fl_progressive:steep/https%3A%2F%2Fsubstack-post-media.s3.amazonaws.com%2Fpublic%2Fimages%2F02da764d-5cbc-4a80-aaf9-b1e1cda7cdee_673x148.png 1456w" sizes="100vw" loading="lazy"></picture><div></div></div></a></figure></div><p>for each observed integer k.</p><ul><li><p>You then multiply these probabilities for all data points and solve numerically for (\lambda).</p></li></ul><ul><li><p><strong>Practical Approach</strong>: If the rounding is minor or the time scale is small compared to typical event durations, many practitioners still apply the continuous MLE as an approximation. If the rounding is coarse (e.g., rounding to days, but typical durations are hours or minutes), the mismatch can become significant, and a discrete-likelihood approach is preferred.</p></li></ul><p>In short, the standard MLE formula might not be strictly correct for heavily discretized data. A more sophisticated approach or a discrete analog of the exponential distribution (like the geometric) might fit better.</p><h2><strong>How do we validate or stress-test the MLE in simulation frameworks?</strong></h2><p>A useful practice is to simulate data from known parameters and compare the estimated (\hat{\lambda}) to the true (\lambda). Several approaches include:</p><ul><li><p><strong>Monte Carlo Replications</strong>: Repeatedly sample data sets of size n from (\text{Exponential}(\lambda_0)). For each dataset, compute the MLE (\hat{\lambda}). Track the distribution of (\hat{\lambda}) across many simulations. Evaluate:</p><ul><li><p>Bias: On average, does (\hat{\lambda}) differ significantly from (\lambda_0)? For the exponential distribution, the MLE is unbiased for large n (and even for moderate n, the bias is usually small).</p></li><li><p>Variance: Check how spread out the estimates are. Compare with the Fisher information or known variance formula.</p></li><li><p>Coverage: If constructing confidence intervals, see whether they contain (\lambda_0) at the nominal rate (e.g., 95% coverage).</p></li></ul></li><li><p><strong>Stress Tests</strong>: Add noise or contamination to the simulated data. For example, generate 90% from an exponential with (\lambda_0) and 10% from a different distribution. Examine how sensitive (\hat{\lambda}) is to that contamination.</p></li><li><p><strong>Implementation Verification</strong>: This is an excellent way to confirm that your coding approach (if you are doing numeric maximization or partial likelihood for censored data) matches the known theoretical solution.</p></li></ul><p>Simulation is often the gold standard for verifying theoretical estimators and identifying unexpected issues before applying methods to real data.</p><h2><strong>How can we interpret the memoryless property in relation to MLE?</strong></h2><p>A hallmark of the exponential distribution is the <strong>memoryless property</strong>: the remaining waiting time distribution does not depend on how long you have already waited. Formally, for ( X \sim \text{Exponential}(\lambda) ), we have:</p><ul><li><p>( P(X &gt; s + t \mid X &gt; s) = P(X &gt; t). )</p></li></ul><p>In practical terms:</p><ol><li><p><strong>Data Collection</strong>: If you suspect a memoryless process (e.g., time between arrivals in a Poisson process), the exponential assumption might be appropriate, and then MLE for (\lambda) is straightforward. However, if you observe that the distribution of remaining times depends on how long you have already waited, the exponential assumption is violated.</p></li><li><p><strong>Interpretation of (\hat{\lambda})</strong>: The MLE rate (\hat{\lambda}) suggests that on average, the event rate is constant over time and does not &#8220;remember&#8221; how much time has already elapsed.</p></li><li><p>Diagnostic: A standard check is to see if the memoryless property is approximately correct. One approach is plotting or testing that</p></li></ol><div class="captioned-image-container"><figure><a class="image-link image2" target="_blank" href="https://substackcdn.com/image/fetch/$s_!B3wM!,f_auto,q_auto:good,fl_progressive:steep/https%3A%2F%2Fsubstack-post-media.s3.amazonaws.com%2Fpublic%2Fimages%2Fb276bb36-24b1-4016-8741-455f0bd61726_723x220.png" data-component-name="Image2ToDOM"><div class="image2-inset"><picture><source type="image/webp" srcset="https://substackcdn.com/image/fetch/$s_!B3wM!,w_424,c_limit,f_webp,q_auto:good,fl_progressive:steep/https%3A%2F%2Fsubstack-post-media.s3.amazonaws.com%2Fpublic%2Fimages%2Fb276bb36-24b1-4016-8741-455f0bd61726_723x220.png 424w, https://substackcdn.com/image/fetch/$s_!B3wM!,w_848,c_limit,f_webp,q_auto:good,fl_progressive:steep/https%3A%2F%2Fsubstack-post-media.s3.amazonaws.com%2Fpublic%2Fimages%2Fb276bb36-24b1-4016-8741-455f0bd61726_723x220.png 848w, https://substackcdn.com/image/fetch/$s_!B3wM!,w_1272,c_limit,f_webp,q_auto:good,fl_progressive:steep/https%3A%2F%2Fsubstack-post-media.s3.amazonaws.com%2Fpublic%2Fimages%2Fb276bb36-24b1-4016-8741-455f0bd61726_723x220.png 1272w, https://substackcdn.com/image/fetch/$s_!B3wM!,w_1456,c_limit,f_webp,q_auto:good,fl_progressive:steep/https%3A%2F%2Fsubstack-post-media.s3.amazonaws.com%2Fpublic%2Fimages%2Fb276bb36-24b1-4016-8741-455f0bd61726_723x220.png 1456w" sizes="100vw"><img src="https://substackcdn.com/image/fetch/$s_!B3wM!,w_1456,c_limit,f_auto,q_auto:good,fl_progressive:steep/https%3A%2F%2Fsubstack-post-media.s3.amazonaws.com%2Fpublic%2Fimages%2Fb276bb36-24b1-4016-8741-455f0bd61726_723x220.png" width="723" height="220" data-attrs="{&quot;src&quot;:&quot;https://substack-post-media.s3.amazonaws.com/public/images/b276bb36-24b1-4016-8741-455f0bd61726_723x220.png&quot;,&quot;srcNoWatermark&quot;:null,&quot;fullscreen&quot;:null,&quot;imageSize&quot;:null,&quot;height&quot;:220,&quot;width&quot;:723,&quot;resizeWidth&quot;:null,&quot;bytes&quot;:21837,&quot;alt&quot;:null,&quot;title&quot;:null,&quot;type&quot;:&quot;image/png&quot;,&quot;href&quot;:null,&quot;belowTheFold&quot;:true,&quot;topImage&quot;:false,&quot;internalRedirect&quot;:&quot;https://www.rohan-paul.com/i/165853859?img=https%3A%2F%2Fsubstack-post-media.s3.amazonaws.com%2Fpublic%2Fimages%2Fb276bb36-24b1-4016-8741-455f0bd61726_723x220.png&quot;,&quot;isProcessing&quot;:false,&quot;align&quot;:null,&quot;offset&quot;:false}" class="sizing-normal" alt="" srcset="https://substackcdn.com/image/fetch/$s_!B3wM!,w_424,c_limit,f_auto,q_auto:good,fl_progressive:steep/https%3A%2F%2Fsubstack-post-media.s3.amazonaws.com%2Fpublic%2Fimages%2Fb276bb36-24b1-4016-8741-455f0bd61726_723x220.png 424w, https://substackcdn.com/image/fetch/$s_!B3wM!,w_848,c_limit,f_auto,q_auto:good,fl_progressive:steep/https%3A%2F%2Fsubstack-post-media.s3.amazonaws.com%2Fpublic%2Fimages%2Fb276bb36-24b1-4016-8741-455f0bd61726_723x220.png 848w, https://substackcdn.com/image/fetch/$s_!B3wM!,w_1272,c_limit,f_auto,q_auto:good,fl_progressive:steep/https%3A%2F%2Fsubstack-post-media.s3.amazonaws.com%2Fpublic%2Fimages%2Fb276bb36-24b1-4016-8741-455f0bd61726_723x220.png 1272w, https://substackcdn.com/image/fetch/$s_!B3wM!,w_1456,c_limit,f_auto,q_auto:good,fl_progressive:steep/https%3A%2F%2Fsubstack-post-media.s3.amazonaws.com%2Fpublic%2Fimages%2Fb276bb36-24b1-4016-8741-455f0bd61726_723x220.png 1456w" sizes="100vw" loading="lazy"></picture><div></div></div></a></figure></div><ol><li><p>If that ratio clearly varies with s, the memoryless assumption is not holding, indicating a poor exponential fit.</p></li></ol><p>Thus, if data is truly memoryless, the MLE for (\lambda) should be not only mathematically convenient but also conceptually correct. If memoryless behavior is not observed, even the correct MLE might be modeling the data incorrectly.</p><h2><strong>How might boundary constraints or domain knowledge about &#955; be incorporated into the MLE?</strong></h2><p>Although the exponential MLE does not require additional constraints beyond (\lambda &gt; 0), in some applications you might have domain knowledge indicating that (\lambda) cannot exceed a certain maximum or must be above some minimum. For instance:</p><ul><li><p><strong>Physical Constraints</strong>: In certain reliability contexts, you may know events cannot occur more often than once per second, placing an upper bound on (\lambda).</p></li><li><p><strong>Economics or Queuing</strong>: If you know your arrival rate (\lambda) is within a specific range, you could limit your parameter search to that interval.</p></li></ul><p>To incorporate such constraints:</p><ul><li><p><strong>Constrained MLE</strong>: Solve the log-likelihood maximization subject to ( \lambda_{\min} \le \lambda \le \lambda_{\max} ). If the unconstrained MLE falls within that interval, no change is necessary; otherwise, you choose the boundary. For exponential distributions, the unconstrained MLE is ( n / \sum x_i ). If that value is below (\lambda_{\min}), the constrained MLE is (\lambda_{\min}). If it is above (\lambda_{\max}), the constrained MLE is (\lambda_{\max}).</p></li><li><p><strong>Penalty Methods</strong>: Alternatively, you could use a soft penalty in the objective function that heavily penalizes (\lambda) outside the domain. That is effectively a &#8220;soft&#8221; way to keep (\lambda) near an acceptable range.</p></li><li><p><strong>Bayesian Prior</strong>: Domain constraints can also be expressed as a prior distribution. For instance, a truncated Gamma prior that disallows values outside a certain range. Then MAP estimation or posterior sampling would incorporate that information automatically.</p></li></ul><p>Such constraints might be crucial in real-world engineering systems or economic models where certain rates are physically impossible. Simply applying the unconstrained MLE might yield an implausible estimate otherwise.</p>]]></content:encoded></item><item><title><![CDATA[ML Interview Q Series: Navigating Non-i.i.d. Data: Statistical Techniques for Time-Series and Grouped Data Challenges.]]></title><description><![CDATA[&#128218; Browse the full ML Interview series here.]]></description><link>https://www.rohan-paul.com/p/ml-interview-q-series-navigating-fb7</link><guid isPermaLink="false">https://www.rohan-paul.com/p/ml-interview-q-series-navigating-fb7</guid><pubDate>Fri, 13 Jun 2025 09:44:40 GMT</pubDate><enclosure url="https://substackcdn.com/image/fetch/$s_!q8dR!,f_auto,q_auto:good,fl_progressive:steep/https%3A%2F%2Fsubstack-post-media.s3.amazonaws.com%2Fpublic%2Fimages%2F0f1388e1-5837-4be5-ab46-58c40484c1fe_1024x573.png" length="0" type="image/jpeg"/><content:encoded><![CDATA[<div class="captioned-image-container"><figure><a class="image-link image2 is-viewable-img" target="_blank" href="https://substackcdn.com/image/fetch/$s_!q8dR!,f_auto,q_auto:good,fl_progressive:steep/https%3A%2F%2Fsubstack-post-media.s3.amazonaws.com%2Fpublic%2Fimages%2F0f1388e1-5837-4be5-ab46-58c40484c1fe_1024x573.png" data-component-name="Image2ToDOM"><div class="image2-inset"><picture><source type="image/webp" srcset="https://substackcdn.com/image/fetch/$s_!q8dR!,w_424,c_limit,f_webp,q_auto:good,fl_progressive:steep/https%3A%2F%2Fsubstack-post-media.s3.amazonaws.com%2Fpublic%2Fimages%2F0f1388e1-5837-4be5-ab46-58c40484c1fe_1024x573.png 424w, https://substackcdn.com/image/fetch/$s_!q8dR!,w_848,c_limit,f_webp,q_auto:good,fl_progressive:steep/https%3A%2F%2Fsubstack-post-media.s3.amazonaws.com%2Fpublic%2Fimages%2F0f1388e1-5837-4be5-ab46-58c40484c1fe_1024x573.png 848w, https://substackcdn.com/image/fetch/$s_!q8dR!,w_1272,c_limit,f_webp,q_auto:good,fl_progressive:steep/https%3A%2F%2Fsubstack-post-media.s3.amazonaws.com%2Fpublic%2Fimages%2F0f1388e1-5837-4be5-ab46-58c40484c1fe_1024x573.png 1272w, https://substackcdn.com/image/fetch/$s_!q8dR!,w_1456,c_limit,f_webp,q_auto:good,fl_progressive:steep/https%3A%2F%2Fsubstack-post-media.s3.amazonaws.com%2Fpublic%2Fimages%2F0f1388e1-5837-4be5-ab46-58c40484c1fe_1024x573.png 1456w" sizes="100vw"><img src="https://substackcdn.com/image/fetch/$s_!q8dR!,w_1456,c_limit,f_auto,q_auto:good,fl_progressive:steep/https%3A%2F%2Fsubstack-post-media.s3.amazonaws.com%2Fpublic%2Fimages%2F0f1388e1-5837-4be5-ab46-58c40484c1fe_1024x573.png" width="1024" height="573" data-attrs="{&quot;src&quot;:&quot;https://substack-post-media.s3.amazonaws.com/public/images/0f1388e1-5837-4be5-ab46-58c40484c1fe_1024x573.png&quot;,&quot;srcNoWatermark&quot;:null,&quot;fullscreen&quot;:null,&quot;imageSize&quot;:null,&quot;height&quot;:573,&quot;width&quot;:1024,&quot;resizeWidth&quot;:null,&quot;bytes&quot;:986365,&quot;alt&quot;:null,&quot;title&quot;:null,&quot;type&quot;:&quot;image/png&quot;,&quot;href&quot;:null,&quot;belowTheFold&quot;:false,&quot;topImage&quot;:true,&quot;internalRedirect&quot;:&quot;https://www.rohan-paul.com/i/165853340?img=https%3A%2F%2Fsubstack-post-media.s3.amazonaws.com%2Fpublic%2Fimages%2F0f1388e1-5837-4be5-ab46-58c40484c1fe_1024x573.png&quot;,&quot;isProcessing&quot;:false,&quot;align&quot;:null,&quot;offset&quot;:false}" class="sizing-normal" alt="" srcset="https://substackcdn.com/image/fetch/$s_!q8dR!,w_424,c_limit,f_auto,q_auto:good,fl_progressive:steep/https%3A%2F%2Fsubstack-post-media.s3.amazonaws.com%2Fpublic%2Fimages%2F0f1388e1-5837-4be5-ab46-58c40484c1fe_1024x573.png 424w, https://substackcdn.com/image/fetch/$s_!q8dR!,w_848,c_limit,f_auto,q_auto:good,fl_progressive:steep/https%3A%2F%2Fsubstack-post-media.s3.amazonaws.com%2Fpublic%2Fimages%2F0f1388e1-5837-4be5-ab46-58c40484c1fe_1024x573.png 848w, https://substackcdn.com/image/fetch/$s_!q8dR!,w_1272,c_limit,f_auto,q_auto:good,fl_progressive:steep/https%3A%2F%2Fsubstack-post-media.s3.amazonaws.com%2Fpublic%2Fimages%2F0f1388e1-5837-4be5-ab46-58c40484c1fe_1024x573.png 1272w, https://substackcdn.com/image/fetch/$s_!q8dR!,w_1456,c_limit,f_auto,q_auto:good,fl_progressive:steep/https%3A%2F%2Fsubstack-post-media.s3.amazonaws.com%2Fpublic%2Fimages%2F0f1388e1-5837-4be5-ab46-58c40484c1fe_1024x573.png 1456w" sizes="100vw" fetchpriority="high"></picture><div class="image-link-expand"><div class="pencraft pc-display-flex pc-gap-8 pc-reset"><button tabindex="0" type="button" class="pencraft pc-reset pencraft icon-container restack-image"><svg role="img" width="20" height="20" viewBox="0 0 20 20" fill="none" stroke-width="1.5" stroke="var(--color-fg-primary)" stroke-linecap="round" stroke-linejoin="round" xmlns="http://www.w3.org/2000/svg"><g><title></title><path d="M2.53001 7.81595C3.49179 4.73911 6.43281 2.5 9.91173 2.5C13.1684 2.5 15.9537 4.46214 17.0852 7.23684L17.6179 8.67647M17.6179 8.67647L18.5002 4.26471M17.6179 8.67647L13.6473 6.91176M17.4995 12.1841C16.5378 15.2609 13.5967 17.5 10.1178 17.5C6.86118 17.5 4.07589 15.5379 2.94432 12.7632L2.41165 11.3235M2.41165 11.3235L1.5293 15.7353M2.41165 11.3235L6.38224 13.0882"></path></g></svg></button><button tabindex="0" type="button" class="pencraft pc-reset pencraft icon-container view-image"><svg xmlns="http://www.w3.org/2000/svg" width="20" height="20" viewBox="0 0 24 24" fill="none" stroke="currentColor" stroke-width="2" stroke-linecap="round" stroke-linejoin="round" class="lucide lucide-maximize2 lucide-maximize-2"><polyline points="15 3 21 3 21 9"></polyline><polyline points="9 21 3 21 3 15"></polyline><line x1="21" x2="14" y1="3" y2="10"></line><line x1="3" x2="10" y1="21" y2="14"></line></svg></button></div></div></div></a></figure></div><p>&#128218; Browse <strong><a href="https://rohanpaul.substack.com/s/ml-interview-series/archive?sort=new">the full ML Interview series here</a></strong>.</p><h2><strong>i.i.d. Assumption: What does it mean to assume that data points are *i.i.d.* (independent and identically distributed)? Why is this assumption important for many statistical machine learning methods, and what issues can arise if your dataset violates the i.i.d. assumption (for example, in time-series or grouped data)?</strong></h2><p class="button-wrapper" data-attrs="{&quot;url&quot;:&quot;https://x.com/rohanpaul_ai&quot;,&quot;text&quot;:&quot;Connect with me on X (Twitter)&quot;,&quot;action&quot;:null,&quot;class&quot;:&quot;button-wrapper&quot;}" data-component-name="ButtonCreateButton"><a class="button primary button-wrapper" href="https://x.com/rohanpaul_ai"><span>Connect with me on X (Twitter)</span></a></p><p>Definition of the i.i.d. Assumption</p><p>The idea of independent and identically distributed (i.i.d.) data points is fundamental in statistical machine learning. Independence means that each data point does not inform or constrain any other data point in your dataset. Identically distributed means that all data points are drawn from the same underlying probability distribution. When both of these conditions hold, we say that the dataset is i.i.d.</p><div class="captioned-image-container"><figure><a class="image-link image2 is-viewable-img" target="_blank" href="https://substackcdn.com/image/fetch/$s_!Ntux!,f_auto,q_auto:good,fl_progressive:steep/https%3A%2F%2Fsubstack-post-media.s3.amazonaws.com%2Fpublic%2Fimages%2Fc196b2a2-bf3a-41cb-80d8-4c5af13d6019_917x537.png" data-component-name="Image2ToDOM"><div class="image2-inset"><picture><source type="image/webp" srcset="https://substackcdn.com/image/fetch/$s_!Ntux!,w_424,c_limit,f_webp,q_auto:good,fl_progressive:steep/https%3A%2F%2Fsubstack-post-media.s3.amazonaws.com%2Fpublic%2Fimages%2Fc196b2a2-bf3a-41cb-80d8-4c5af13d6019_917x537.png 424w, https://substackcdn.com/image/fetch/$s_!Ntux!,w_848,c_limit,f_webp,q_auto:good,fl_progressive:steep/https%3A%2F%2Fsubstack-post-media.s3.amazonaws.com%2Fpublic%2Fimages%2Fc196b2a2-bf3a-41cb-80d8-4c5af13d6019_917x537.png 848w, https://substackcdn.com/image/fetch/$s_!Ntux!,w_1272,c_limit,f_webp,q_auto:good,fl_progressive:steep/https%3A%2F%2Fsubstack-post-media.s3.amazonaws.com%2Fpublic%2Fimages%2Fc196b2a2-bf3a-41cb-80d8-4c5af13d6019_917x537.png 1272w, https://substackcdn.com/image/fetch/$s_!Ntux!,w_1456,c_limit,f_webp,q_auto:good,fl_progressive:steep/https%3A%2F%2Fsubstack-post-media.s3.amazonaws.com%2Fpublic%2Fimages%2Fc196b2a2-bf3a-41cb-80d8-4c5af13d6019_917x537.png 1456w" sizes="100vw"><img src="https://substackcdn.com/image/fetch/$s_!Ntux!,w_1456,c_limit,f_auto,q_auto:good,fl_progressive:steep/https%3A%2F%2Fsubstack-post-media.s3.amazonaws.com%2Fpublic%2Fimages%2Fc196b2a2-bf3a-41cb-80d8-4c5af13d6019_917x537.png" width="917" height="537" data-attrs="{&quot;src&quot;:&quot;https://substack-post-media.s3.amazonaws.com/public/images/c196b2a2-bf3a-41cb-80d8-4c5af13d6019_917x537.png&quot;,&quot;srcNoWatermark&quot;:null,&quot;fullscreen&quot;:null,&quot;imageSize&quot;:null,&quot;height&quot;:537,&quot;width&quot;:917,&quot;resizeWidth&quot;:null,&quot;bytes&quot;:67965,&quot;alt&quot;:null,&quot;title&quot;:null,&quot;type&quot;:&quot;image/png&quot;,&quot;href&quot;:null,&quot;belowTheFold&quot;:false,&quot;topImage&quot;:false,&quot;internalRedirect&quot;:&quot;https://www.rohan-paul.com/i/165853340?img=https%3A%2F%2Fsubstack-post-media.s3.amazonaws.com%2Fpublic%2Fimages%2Fc196b2a2-bf3a-41cb-80d8-4c5af13d6019_917x537.png&quot;,&quot;isProcessing&quot;:false,&quot;align&quot;:null,&quot;offset&quot;:false}" class="sizing-normal" alt="" srcset="https://substackcdn.com/image/fetch/$s_!Ntux!,w_424,c_limit,f_auto,q_auto:good,fl_progressive:steep/https%3A%2F%2Fsubstack-post-media.s3.amazonaws.com%2Fpublic%2Fimages%2Fc196b2a2-bf3a-41cb-80d8-4c5af13d6019_917x537.png 424w, https://substackcdn.com/image/fetch/$s_!Ntux!,w_848,c_limit,f_auto,q_auto:good,fl_progressive:steep/https%3A%2F%2Fsubstack-post-media.s3.amazonaws.com%2Fpublic%2Fimages%2Fc196b2a2-bf3a-41cb-80d8-4c5af13d6019_917x537.png 848w, https://substackcdn.com/image/fetch/$s_!Ntux!,w_1272,c_limit,f_auto,q_auto:good,fl_progressive:steep/https%3A%2F%2Fsubstack-post-media.s3.amazonaws.com%2Fpublic%2Fimages%2Fc196b2a2-bf3a-41cb-80d8-4c5af13d6019_917x537.png 1272w, https://substackcdn.com/image/fetch/$s_!Ntux!,w_1456,c_limit,f_auto,q_auto:good,fl_progressive:steep/https%3A%2F%2Fsubstack-post-media.s3.amazonaws.com%2Fpublic%2Fimages%2Fc196b2a2-bf3a-41cb-80d8-4c5af13d6019_917x537.png 1456w" sizes="100vw"></picture><div class="image-link-expand"><div class="pencraft pc-display-flex pc-gap-8 pc-reset"><button tabindex="0" type="button" class="pencraft pc-reset pencraft icon-container restack-image"><svg role="img" width="20" height="20" viewBox="0 0 20 20" fill="none" stroke-width="1.5" stroke="var(--color-fg-primary)" stroke-linecap="round" stroke-linejoin="round" xmlns="http://www.w3.org/2000/svg"><g><title></title><path d="M2.53001 7.81595C3.49179 4.73911 6.43281 2.5 9.91173 2.5C13.1684 2.5 15.9537 4.46214 17.0852 7.23684L17.6179 8.67647M17.6179 8.67647L18.5002 4.26471M17.6179 8.67647L13.6473 6.91176M17.4995 12.1841C16.5378 15.2609 13.5967 17.5 10.1178 17.5C6.86118 17.5 4.07589 15.5379 2.94432 12.7632L2.41165 11.3235M2.41165 11.3235L1.5293 15.7353M2.41165 11.3235L6.38224 13.0882"></path></g></svg></button><button tabindex="0" type="button" class="pencraft pc-reset pencraft icon-container view-image"><svg xmlns="http://www.w3.org/2000/svg" width="20" height="20" viewBox="0 0 24 24" fill="none" stroke="currentColor" stroke-width="2" stroke-linecap="round" stroke-linejoin="round" class="lucide lucide-maximize2 lucide-maximize-2"><polyline points="15 3 21 3 21 9"></polyline><polyline points="9 21 3 21 3 15"></polyline><line x1="21" x2="14" y1="3" y2="10"></line><line x1="3" x2="10" y1="21" y2="14"></line></svg></button></div></div></div></a></figure></div><p>Significance of the i.i.d. Assumption in Statistical and Machine Learning Methods</p><p>Many foundational results in statistics and machine learning rely on the i.i.d. assumption:</p><p>Convergence guarantees for methods such as gradient-based optimization in neural networks. The derivation of the loss function as an average of independent samples typically presupposes i.i.d. data. Statistical consistency theorems for estimators such as the Maximum Likelihood Estimator or the Empirical Risk Minimization principle assume independence. These theorems often require that data is sampled from the same distribution. Generalization bounds, such as the Probably Approximately Correct (PAC) framework, typically assume the training and test data come from the same distribution and that each sample is independent of the others. Validation and test strategies (e.g., cross-validation) assume that each split of the dataset is representative of the same underlying distribution. Independence helps ensure that random splits produce unbiased estimates of performance.</p><p>When the i.i.d. assumption is violated, many classical theoretical guarantees&#8212;like unbiasedness, consistency, and generalization bounds&#8212;might no longer hold, or they become much harder to prove or interpret.</p><p>Issues That Arise When the i.i.d. Assumption is Violated</p><div class="captioned-image-container"><figure><a class="image-link image2 is-viewable-img" target="_blank" href="https://substackcdn.com/image/fetch/$s_!Z_ih!,f_auto,q_auto:good,fl_progressive:steep/https%3A%2F%2Fsubstack-post-media.s3.amazonaws.com%2Fpublic%2Fimages%2Ffbf90132-7177-4e88-b7ed-3482a0bda83a_943x567.png" data-component-name="Image2ToDOM"><div class="image2-inset"><picture><source type="image/webp" srcset="https://substackcdn.com/image/fetch/$s_!Z_ih!,w_424,c_limit,f_webp,q_auto:good,fl_progressive:steep/https%3A%2F%2Fsubstack-post-media.s3.amazonaws.com%2Fpublic%2Fimages%2Ffbf90132-7177-4e88-b7ed-3482a0bda83a_943x567.png 424w, https://substackcdn.com/image/fetch/$s_!Z_ih!,w_848,c_limit,f_webp,q_auto:good,fl_progressive:steep/https%3A%2F%2Fsubstack-post-media.s3.amazonaws.com%2Fpublic%2Fimages%2Ffbf90132-7177-4e88-b7ed-3482a0bda83a_943x567.png 848w, https://substackcdn.com/image/fetch/$s_!Z_ih!,w_1272,c_limit,f_webp,q_auto:good,fl_progressive:steep/https%3A%2F%2Fsubstack-post-media.s3.amazonaws.com%2Fpublic%2Fimages%2Ffbf90132-7177-4e88-b7ed-3482a0bda83a_943x567.png 1272w, https://substackcdn.com/image/fetch/$s_!Z_ih!,w_1456,c_limit,f_webp,q_auto:good,fl_progressive:steep/https%3A%2F%2Fsubstack-post-media.s3.amazonaws.com%2Fpublic%2Fimages%2Ffbf90132-7177-4e88-b7ed-3482a0bda83a_943x567.png 1456w" sizes="100vw"><img src="https://substackcdn.com/image/fetch/$s_!Z_ih!,w_1456,c_limit,f_auto,q_auto:good,fl_progressive:steep/https%3A%2F%2Fsubstack-post-media.s3.amazonaws.com%2Fpublic%2Fimages%2Ffbf90132-7177-4e88-b7ed-3482a0bda83a_943x567.png" width="943" height="567" data-attrs="{&quot;src&quot;:&quot;https://substack-post-media.s3.amazonaws.com/public/images/fbf90132-7177-4e88-b7ed-3482a0bda83a_943x567.png&quot;,&quot;srcNoWatermark&quot;:null,&quot;fullscreen&quot;:null,&quot;imageSize&quot;:null,&quot;height&quot;:567,&quot;width&quot;:943,&quot;resizeWidth&quot;:null,&quot;bytes&quot;:143306,&quot;alt&quot;:null,&quot;title&quot;:null,&quot;type&quot;:&quot;image/png&quot;,&quot;href&quot;:null,&quot;belowTheFold&quot;:true,&quot;topImage&quot;:false,&quot;internalRedirect&quot;:&quot;https://www.rohan-paul.com/i/165853340?img=https%3A%2F%2Fsubstack-post-media.s3.amazonaws.com%2Fpublic%2Fimages%2Ffbf90132-7177-4e88-b7ed-3482a0bda83a_943x567.png&quot;,&quot;isProcessing&quot;:false,&quot;align&quot;:null,&quot;offset&quot;:false}" class="sizing-normal" alt="" srcset="https://substackcdn.com/image/fetch/$s_!Z_ih!,w_424,c_limit,f_auto,q_auto:good,fl_progressive:steep/https%3A%2F%2Fsubstack-post-media.s3.amazonaws.com%2Fpublic%2Fimages%2Ffbf90132-7177-4e88-b7ed-3482a0bda83a_943x567.png 424w, https://substackcdn.com/image/fetch/$s_!Z_ih!,w_848,c_limit,f_auto,q_auto:good,fl_progressive:steep/https%3A%2F%2Fsubstack-post-media.s3.amazonaws.com%2Fpublic%2Fimages%2Ffbf90132-7177-4e88-b7ed-3482a0bda83a_943x567.png 848w, https://substackcdn.com/image/fetch/$s_!Z_ih!,w_1272,c_limit,f_auto,q_auto:good,fl_progressive:steep/https%3A%2F%2Fsubstack-post-media.s3.amazonaws.com%2Fpublic%2Fimages%2Ffbf90132-7177-4e88-b7ed-3482a0bda83a_943x567.png 1272w, https://substackcdn.com/image/fetch/$s_!Z_ih!,w_1456,c_limit,f_auto,q_auto:good,fl_progressive:steep/https%3A%2F%2Fsubstack-post-media.s3.amazonaws.com%2Fpublic%2Fimages%2Ffbf90132-7177-4e88-b7ed-3482a0bda83a_943x567.png 1456w" sizes="100vw" loading="lazy"></picture><div class="image-link-expand"><div class="pencraft pc-display-flex pc-gap-8 pc-reset"><button tabindex="0" type="button" class="pencraft pc-reset pencraft icon-container restack-image"><svg role="img" width="20" height="20" viewBox="0 0 20 20" fill="none" stroke-width="1.5" stroke="var(--color-fg-primary)" stroke-linecap="round" stroke-linejoin="round" xmlns="http://www.w3.org/2000/svg"><g><title></title><path d="M2.53001 7.81595C3.49179 4.73911 6.43281 2.5 9.91173 2.5C13.1684 2.5 15.9537 4.46214 17.0852 7.23684L17.6179 8.67647M17.6179 8.67647L18.5002 4.26471M17.6179 8.67647L13.6473 6.91176M17.4995 12.1841C16.5378 15.2609 13.5967 17.5 10.1178 17.5C6.86118 17.5 4.07589 15.5379 2.94432 12.7632L2.41165 11.3235M2.41165 11.3235L1.5293 15.7353M2.41165 11.3235L6.38224 13.0882"></path></g></svg></button><button tabindex="0" type="button" class="pencraft pc-reset pencraft icon-container view-image"><svg xmlns="http://www.w3.org/2000/svg" width="20" height="20" viewBox="0 0 24 24" fill="none" stroke="currentColor" stroke-width="2" stroke-linecap="round" stroke-linejoin="round" class="lucide lucide-maximize2 lucide-maximize-2"><polyline points="15 3 21 3 21 9"></polyline><polyline points="9 21 3 21 3 15"></polyline><line x1="21" x2="14" y1="3" y2="10"></line><line x1="3" x2="10" y1="21" y2="14"></line></svg></button></div></div></div></a></figure></div><p>Real-World Examples and Practical Implications</p><p>In time-series forecasting, you have an inherent structure where each observation is correlated with the past. Standard i.i.d. methods might fail to capture autocorrelation patterns. Instead, specialized time-series models (e.g., ARIMA, LSTM-based sequence models) or data transformations (e.g., differencing) are used to respect the temporal structure. In recommendation systems, user data can come in sessions or be influenced by multiple contextual factors. Treating sessions as i.i.d. samples can obscure vital temporal and contextual dependencies. Grouped or hierarchical modeling can help here, such as using multi-level models that incorporate group-level random effects. In large-scale observational studies&#8212;like health records from various hospitals&#8212;data from each hospital can differ in subtle ways, violating identical distribution. Adjusting for hospital-level effects or domain adaptation can help mitigate these distribution differences.</p><p>Handling Non-i.i.d. Data in Practice</p><p>When facing non-i.i.d. data, one can adopt methods designed for those structures:</p><p>Time-series analysis with models that capture dependencies across time (e.g., RNNs, LSTMs, Transformers with sequence modeling, or classical ARIMA and state-space models). Mixed-effects or hierarchical models for grouped data, which introduce random effects to capture group-level variations that break the identical distribution assumption. Block bootstrap or specialized cross-validation strategies (e.g., time-series cross-validation) for correct estimation of model performance. Domain adaptation and transfer learning methods for data drift or distribution shifts, ensuring the model can adapt to changes over time.</p><p>Code Example Illustrating Proper Handling of Time-Series Cross Validation</p><p>Below is a simplified snippet of Python code using scikit-learn-like pseudo-structures to show how to handle time-series splits properly, acknowledging the serial dependence in data:</p><pre><code><code>import numpy as np
from sklearn.model_selection import TimeSeriesSplit
from sklearn.linear_model import LinearRegression

# Synthetic time-series data
np.random.seed(42)
time_series_length = 100
X = np.arange(time_series_length).reshape(-1, 1).astype(float)
y = 2 * X.squeeze() + np.random.normal(scale=5, size=time_series_length)

model = LinearRegression()
tscv = TimeSeriesSplit(n_splits=5)

for train_index, test_index in tscv.split(X):
    X_train, X_test = X[train_index], X[test_index]
    y_train, y_test = y[train_index], y[test_index]

    model.fit(X_train, y_train)
    score = model.score(X_test, y_test)
    print("Train indices:", train_index, "Test indices:", test_index, "R^2:", score)
</code></code></pre><p>In this example, we use a <code>TimeSeriesSplit</code> that respects the temporal ordering, preventing data leakage from the future into the training set. This highlights how to adapt cross-validation when the i.i.d. assumption is violated by time-order dependencies.</p><div class="subscription-widget-wrap-editor" data-attrs="{&quot;url&quot;:&quot;https://www.rohan-paul.com/subscribe?&quot;,&quot;text&quot;:&quot;Subscribe&quot;,&quot;language&quot;:&quot;en&quot;}" data-component-name="SubscribeWidgetToDOM"><div class="subscription-widget show-subscribe"><div class="preamble"><p class="cta-caption">I write everyday for my readers on actionable AI. Subscribe and instantly get a 1300+ page Python book.</p></div><form class="subscription-widget-subscribe"><input type="email" class="email-input" name="email" placeholder="Type your email&#8230;" tabindex="-1"><input type="submit" class="button primary" value="Subscribe"><div class="fake-input-wrapper"><div class="fake-input"></div><div class="fake-button"></div></div></form></div></div><h2><strong>How might you test whether data violates the i.i.d. assumption?</strong></h2><p>One can examine correlation structures. For time-series data, autocorrelation plots or partial autocorrelation plots can reveal significant correlations over lags. If data is grouped, you can check whether the distribution of features or the target is similar across different groups. Major discrepancies could indicate violation of the identical distribution assumption. Formal statistical tests, such as the Durbin-Watson test for serial correlation in regression residuals, or other tests for stationarity in time series, can also help identify violations.</p><h2><strong>How do we adjust our modeling strategy if data is not i.i.d.?</strong></h2><p>When data is dependent across time, incorporate lags or sequence models (e.g., ARIMA, RNN, LSTM, Transformers). When data is grouped, adopt hierarchical models or random effects. When data shifts over time, use online learning or domain adaptation to update the model with incoming data. When data is high-dimensional and potentially correlated, regularization or structured sparsity can help capture the underlying dependence structure.</p><h2><strong>What if we still apply i.i.d.-based methods to non-i.i.d. data?</strong></h2><p>Performance metrics might be overly optimistic because the evaluation strategy might ignore the dependencies. Confidence intervals or hypothesis tests might be invalid. The derived p-values and intervals could drastically misrepresent true uncertainty. Generalization can degrade in practice because the assumption that training and test data come from the same distribution (and that samples are independent) is violated.</p><h2><strong>In practical ML pipelines, how to detect and correct i.i.d. violations early?</strong></h2><p>Exploratory Data Analysis (EDA) focusing on time or group variables to see if data is stable over time or across groups. Tracking metrics in production systems to detect concept drift (e.g., if a model&#8217;s performance degrades over time, that may suggest that distribution has changed). Introducing data versioning and continuous monitoring of feature distributions to spot distribution shifts.</p><h2><strong>Why is the i.i.d. assumption essential for theoretical guarantees?</strong></h2><p>Most classical theorems, such as the Law of Large Numbers, Central Limit Theorem, and PAC learning bounds, rely on the idea that the variance in the sample mean decreases with more independent samples. If the samples are correlated or come from different distributions, deriving these results or bounding generalization error is significantly more complex or might require additional assumptions.</p><h2><strong>Could we partially relax the i.i.d. assumption without losing all theoretical backing?</strong></h2><p>Yes, there are theoretical frameworks for analyzing data that exhibit certain types of dependency:</p><p>Mixing processes in time series or Markov chain assumptions provide ways to extend theoretical results to dependent data if certain mixing coefficients remain small. In multi-task or grouped learning scenarios, specialized theoretical analyses can handle hierarchical structure. These approaches require more complex proofs but still yield approximate or weaker versions of classical results. Stationarity assumptions in time series can replace the requirement for identical distribution with the requirement that the underlying process statistics do not change over time.</p><h2><strong>Follow-up Questions</strong></h2><h3><strong>Could you explain the difference between "independence" and "identical distribution" in more depth?</strong></h3><div class="captioned-image-container"><figure><a class="image-link image2 is-viewable-img" target="_blank" href="https://substackcdn.com/image/fetch/$s_!Tzut!,f_auto,q_auto:good,fl_progressive:steep/https%3A%2F%2Fsubstack-post-media.s3.amazonaws.com%2Fpublic%2Fimages%2F7b19755a-3c9f-4c4d-bf61-3491129ae565_960x790.png" data-component-name="Image2ToDOM"><div class="image2-inset"><picture><source type="image/webp" srcset="https://substackcdn.com/image/fetch/$s_!Tzut!,w_424,c_limit,f_webp,q_auto:good,fl_progressive:steep/https%3A%2F%2Fsubstack-post-media.s3.amazonaws.com%2Fpublic%2Fimages%2F7b19755a-3c9f-4c4d-bf61-3491129ae565_960x790.png 424w, https://substackcdn.com/image/fetch/$s_!Tzut!,w_848,c_limit,f_webp,q_auto:good,fl_progressive:steep/https%3A%2F%2Fsubstack-post-media.s3.amazonaws.com%2Fpublic%2Fimages%2F7b19755a-3c9f-4c4d-bf61-3491129ae565_960x790.png 848w, https://substackcdn.com/image/fetch/$s_!Tzut!,w_1272,c_limit,f_webp,q_auto:good,fl_progressive:steep/https%3A%2F%2Fsubstack-post-media.s3.amazonaws.com%2Fpublic%2Fimages%2F7b19755a-3c9f-4c4d-bf61-3491129ae565_960x790.png 1272w, https://substackcdn.com/image/fetch/$s_!Tzut!,w_1456,c_limit,f_webp,q_auto:good,fl_progressive:steep/https%3A%2F%2Fsubstack-post-media.s3.amazonaws.com%2Fpublic%2Fimages%2F7b19755a-3c9f-4c4d-bf61-3491129ae565_960x790.png 1456w" sizes="100vw"><img src="https://substackcdn.com/image/fetch/$s_!Tzut!,w_1456,c_limit,f_auto,q_auto:good,fl_progressive:steep/https%3A%2F%2Fsubstack-post-media.s3.amazonaws.com%2Fpublic%2Fimages%2F7b19755a-3c9f-4c4d-bf61-3491129ae565_960x790.png" width="960" height="790" data-attrs="{&quot;src&quot;:&quot;https://substack-post-media.s3.amazonaws.com/public/images/7b19755a-3c9f-4c4d-bf61-3491129ae565_960x790.png&quot;,&quot;srcNoWatermark&quot;:null,&quot;fullscreen&quot;:null,&quot;imageSize&quot;:null,&quot;height&quot;:790,&quot;width&quot;:960,&quot;resizeWidth&quot;:null,&quot;bytes&quot;:185046,&quot;alt&quot;:null,&quot;title&quot;:null,&quot;type&quot;:&quot;image/png&quot;,&quot;href&quot;:null,&quot;belowTheFold&quot;:true,&quot;topImage&quot;:false,&quot;internalRedirect&quot;:&quot;https://www.rohan-paul.com/i/165853340?img=https%3A%2F%2Fsubstack-post-media.s3.amazonaws.com%2Fpublic%2Fimages%2F7b19755a-3c9f-4c4d-bf61-3491129ae565_960x790.png&quot;,&quot;isProcessing&quot;:false,&quot;align&quot;:null,&quot;offset&quot;:false}" class="sizing-normal" alt="" srcset="https://substackcdn.com/image/fetch/$s_!Tzut!,w_424,c_limit,f_auto,q_auto:good,fl_progressive:steep/https%3A%2F%2Fsubstack-post-media.s3.amazonaws.com%2Fpublic%2Fimages%2F7b19755a-3c9f-4c4d-bf61-3491129ae565_960x790.png 424w, https://substackcdn.com/image/fetch/$s_!Tzut!,w_848,c_limit,f_auto,q_auto:good,fl_progressive:steep/https%3A%2F%2Fsubstack-post-media.s3.amazonaws.com%2Fpublic%2Fimages%2F7b19755a-3c9f-4c4d-bf61-3491129ae565_960x790.png 848w, https://substackcdn.com/image/fetch/$s_!Tzut!,w_1272,c_limit,f_auto,q_auto:good,fl_progressive:steep/https%3A%2F%2Fsubstack-post-media.s3.amazonaws.com%2Fpublic%2Fimages%2F7b19755a-3c9f-4c4d-bf61-3491129ae565_960x790.png 1272w, https://substackcdn.com/image/fetch/$s_!Tzut!,w_1456,c_limit,f_auto,q_auto:good,fl_progressive:steep/https%3A%2F%2Fsubstack-post-media.s3.amazonaws.com%2Fpublic%2Fimages%2F7b19755a-3c9f-4c4d-bf61-3491129ae565_960x790.png 1456w" sizes="100vw" loading="lazy"></picture><div class="image-link-expand"><div class="pencraft pc-display-flex pc-gap-8 pc-reset"><button tabindex="0" type="button" class="pencraft pc-reset pencraft icon-container restack-image"><svg role="img" width="20" height="20" viewBox="0 0 20 20" fill="none" stroke-width="1.5" stroke="var(--color-fg-primary)" stroke-linecap="round" stroke-linejoin="round" xmlns="http://www.w3.org/2000/svg"><g><title></title><path d="M2.53001 7.81595C3.49179 4.73911 6.43281 2.5 9.91173 2.5C13.1684 2.5 15.9537 4.46214 17.0852 7.23684L17.6179 8.67647M17.6179 8.67647L18.5002 4.26471M17.6179 8.67647L13.6473 6.91176M17.4995 12.1841C16.5378 15.2609 13.5967 17.5 10.1178 17.5C6.86118 17.5 4.07589 15.5379 2.94432 12.7632L2.41165 11.3235M2.41165 11.3235L1.5293 15.7353M2.41165 11.3235L6.38224 13.0882"></path></g></svg></button><button tabindex="0" type="button" class="pencraft pc-reset pencraft icon-container view-image"><svg xmlns="http://www.w3.org/2000/svg" width="20" height="20" viewBox="0 0 24 24" fill="none" stroke="currentColor" stroke-width="2" stroke-linecap="round" stroke-linejoin="round" class="lucide lucide-maximize2 lucide-maximize-2"><polyline points="15 3 21 3 21 9"></polyline><polyline points="9 21 3 21 3 15"></polyline><line x1="21" x2="14" y1="3" y2="10"></line><line x1="3" x2="10" y1="21" y2="14"></line></svg></button></div></div></div></a></figure></div><h3><strong>What is the role of stationarity in time-series analysis?</strong></h3><p>Stationarity is the concept that statistical properties (like mean, variance, autocorrelation) do not change over time. Strict stationarity requires the joint distribution of a sequence of variables to be invariant to shifts in time. For many theoretical results in time-series analysis, some form of stationarity is assumed so that the behavior learned from past data applies consistently to future data. When stationarity is violated (e.g., in trending or seasonal data), transformations or specialized modeling (like differencing for ARIMA, or seasonal ARIMA) become necessary.</p><h3><strong>If we have grouped data (e.g., data from multiple cities), do we completely lose the i.i.d. assumption?</strong></h3><p>You do not necessarily lose it entirely, but you have to be cautious. Often, within each city, data might share group-level traits, so points in the same city might be more similar to each other than to points in another city. That breaks the global assumption that any two data points in the entire dataset are identically distributed and independent. A typical approach is hierarchical or multi-level modeling, where variation is captured at both the global level and the city-specific level. In this framework, you can still make strong inferences, but it involves modeling those dependencies and differences among groups explicitly.</p><h3><strong>Are there any specific pitfalls one must watch for when randomly splitting a dataset that violates i.i.d. assumptions?</strong></h3><p>If data is time-dependent and you randomly split training and test sets, data from the future can leak into the training set, causing artificially inflated performance metrics. If data is grouped, random splitting can cause partial data from a single group to be in both training and test sets, again overestimating real performance. The model might learn group-specific patterns that do not generalize well. It is safer to do group-wise splits (so all data from any single group is entirely in train or test) or time-series splits (training on early periods, testing on later ones).</p><h3><strong>How does concept drift in an online system violate the identical distribution assumption?</strong></h3><p>Concept drift means the data&#8217;s distribution changes over time (e.g., user preferences shift, external market factors change). This directly violates the assumption that each data point is drawn from the same distribution. A model trained on old data might no longer see the same distribution in the future. Methods to handle concept drift often involve incrementally retraining, weighting recent data more, or actively detecting points in time when the distribution changes.</p><h3><strong>How can you mitigate the violation of independence in data that arises from repeated measurements?</strong></h3><p>Repeated measurements of the same entity (e.g., the same patient measured multiple times) are correlated. Instead of ignoring this correlation, you can: Use random effects models: These treat repeated measurements within an entity as correlated through a shared random effect term. Use repeated measures ANOVA or equivalent time-series approaches: These can handle the correlation structure. Use cluster-robust standard errors in linear models if the correlation structure is not too complex.</p><h3><strong>What is the central limit theorem (CLT) for dependent data and how is it different from the classical CLT?</strong></h3><p>A CLT for dependent data typically requires the concept of weak dependence or mixing conditions. In these cases, the sample means might still converge to a normal distribution as the sample size grows, but the speed of convergence or the variance of the limit distribution can differ from the classical i.i.d. result. Classical CLT requires independence and identical distribution, so the expansion to dependent data demands additional conditions on how quickly the correlation in the sequence decays.</p><h3><strong>How does i.i.d. factor into the derivation of losses like cross-entropy or mean squared error?</strong></h3><p>Common training objectives are typically derived under the assumption that each data point is sampled from the same distribution and that the likelihood of observing the entire dataset is the product of each observation&#8217;s likelihood (the factorization property). For cross-entropy in classification, you are effectively maximizing the likelihood under the assumption:</p><div class="captioned-image-container"><figure><a class="image-link image2 is-viewable-img" target="_blank" href="https://substackcdn.com/image/fetch/$s_!pSSj!,f_auto,q_auto:good,fl_progressive:steep/https%3A%2F%2Fsubstack-post-media.s3.amazonaws.com%2Fpublic%2Fimages%2Ff0c844b5-9831-4d05-91a5-7b7662692f77_938x422.png" data-component-name="Image2ToDOM"><div class="image2-inset"><picture><source type="image/webp" srcset="https://substackcdn.com/image/fetch/$s_!pSSj!,w_424,c_limit,f_webp,q_auto:good,fl_progressive:steep/https%3A%2F%2Fsubstack-post-media.s3.amazonaws.com%2Fpublic%2Fimages%2Ff0c844b5-9831-4d05-91a5-7b7662692f77_938x422.png 424w, https://substackcdn.com/image/fetch/$s_!pSSj!,w_848,c_limit,f_webp,q_auto:good,fl_progressive:steep/https%3A%2F%2Fsubstack-post-media.s3.amazonaws.com%2Fpublic%2Fimages%2Ff0c844b5-9831-4d05-91a5-7b7662692f77_938x422.png 848w, https://substackcdn.com/image/fetch/$s_!pSSj!,w_1272,c_limit,f_webp,q_auto:good,fl_progressive:steep/https%3A%2F%2Fsubstack-post-media.s3.amazonaws.com%2Fpublic%2Fimages%2Ff0c844b5-9831-4d05-91a5-7b7662692f77_938x422.png 1272w, https://substackcdn.com/image/fetch/$s_!pSSj!,w_1456,c_limit,f_webp,q_auto:good,fl_progressive:steep/https%3A%2F%2Fsubstack-post-media.s3.amazonaws.com%2Fpublic%2Fimages%2Ff0c844b5-9831-4d05-91a5-7b7662692f77_938x422.png 1456w" sizes="100vw"><img src="https://substackcdn.com/image/fetch/$s_!pSSj!,w_1456,c_limit,f_auto,q_auto:good,fl_progressive:steep/https%3A%2F%2Fsubstack-post-media.s3.amazonaws.com%2Fpublic%2Fimages%2Ff0c844b5-9831-4d05-91a5-7b7662692f77_938x422.png" width="938" height="422" data-attrs="{&quot;src&quot;:&quot;https://substack-post-media.s3.amazonaws.com/public/images/f0c844b5-9831-4d05-91a5-7b7662692f77_938x422.png&quot;,&quot;srcNoWatermark&quot;:null,&quot;fullscreen&quot;:null,&quot;imageSize&quot;:null,&quot;height&quot;:422,&quot;width&quot;:938,&quot;resizeWidth&quot;:null,&quot;bytes&quot;:47439,&quot;alt&quot;:null,&quot;title&quot;:null,&quot;type&quot;:&quot;image/png&quot;,&quot;href&quot;:null,&quot;belowTheFold&quot;:true,&quot;topImage&quot;:false,&quot;internalRedirect&quot;:&quot;https://www.rohan-paul.com/i/165853340?img=https%3A%2F%2Fsubstack-post-media.s3.amazonaws.com%2Fpublic%2Fimages%2Ff0c844b5-9831-4d05-91a5-7b7662692f77_938x422.png&quot;,&quot;isProcessing&quot;:false,&quot;align&quot;:null,&quot;offset&quot;:false}" class="sizing-normal" alt="" srcset="https://substackcdn.com/image/fetch/$s_!pSSj!,w_424,c_limit,f_auto,q_auto:good,fl_progressive:steep/https%3A%2F%2Fsubstack-post-media.s3.amazonaws.com%2Fpublic%2Fimages%2Ff0c844b5-9831-4d05-91a5-7b7662692f77_938x422.png 424w, https://substackcdn.com/image/fetch/$s_!pSSj!,w_848,c_limit,f_auto,q_auto:good,fl_progressive:steep/https%3A%2F%2Fsubstack-post-media.s3.amazonaws.com%2Fpublic%2Fimages%2Ff0c844b5-9831-4d05-91a5-7b7662692f77_938x422.png 848w, https://substackcdn.com/image/fetch/$s_!pSSj!,w_1272,c_limit,f_auto,q_auto:good,fl_progressive:steep/https%3A%2F%2Fsubstack-post-media.s3.amazonaws.com%2Fpublic%2Fimages%2Ff0c844b5-9831-4d05-91a5-7b7662692f77_938x422.png 1272w, https://substackcdn.com/image/fetch/$s_!pSSj!,w_1456,c_limit,f_auto,q_auto:good,fl_progressive:steep/https%3A%2F%2Fsubstack-post-media.s3.amazonaws.com%2Fpublic%2Fimages%2Ff0c844b5-9831-4d05-91a5-7b7662692f77_938x422.png 1456w" sizes="100vw" loading="lazy"></picture><div class="image-link-expand"><div class="pencraft pc-display-flex pc-gap-8 pc-reset"><button tabindex="0" type="button" class="pencraft pc-reset pencraft icon-container restack-image"><svg role="img" width="20" height="20" viewBox="0 0 20 20" fill="none" stroke-width="1.5" stroke="var(--color-fg-primary)" stroke-linecap="round" stroke-linejoin="round" xmlns="http://www.w3.org/2000/svg"><g><title></title><path d="M2.53001 7.81595C3.49179 4.73911 6.43281 2.5 9.91173 2.5C13.1684 2.5 15.9537 4.46214 17.0852 7.23684L17.6179 8.67647M17.6179 8.67647L18.5002 4.26471M17.6179 8.67647L13.6473 6.91176M17.4995 12.1841C16.5378 15.2609 13.5967 17.5 10.1178 17.5C6.86118 17.5 4.07589 15.5379 2.94432 12.7632L2.41165 11.3235M2.41165 11.3235L1.5293 15.7353M2.41165 11.3235L6.38224 13.0882"></path></g></svg></button><button tabindex="0" type="button" class="pencraft pc-reset pencraft icon-container view-image"><svg xmlns="http://www.w3.org/2000/svg" width="20" height="20" viewBox="0 0 24 24" fill="none" stroke="currentColor" stroke-width="2" stroke-linecap="round" stroke-linejoin="round" class="lucide lucide-maximize2 lucide-maximize-2"><polyline points="15 3 21 3 21 9"></polyline><polyline points="9 21 3 21 3 15"></polyline><line x1="21" x2="14" y1="3" y2="10"></line><line x1="3" x2="10" y1="21" y2="14"></line></svg></button></div></div></div></a></figure></div><h3><strong>What are practical steps for diagnosing if a machine learning model&#8217;s assumptions of independence are breaking?</strong></h3><p>Look at residuals for patterns over time or across groups. If there is structure left in the residuals, that often indicates dependence. Perform correlation tests among features or among samples. If you see strong correlation patterns for data points that are close in time or belong to the same group, that is a red flag. Compare performance from naive cross-validation to more carefully structured cross-validation (like time-series split or group-based split). If results differ drastically, you likely have a violation of the i.i.d. assumption.</p><h3><strong>How does batch normalization or dropout in neural networks relate to i.i.d. data assumptions?</strong></h3><p>Batch normalization uses statistics (mean, variance) computed from a batch of samples. In principle, it often assumes these mini-batches are representative of the overall distribution. Non-i.i.d. data within a batch can lead to misleading estimates of mean and variance. This is particularly problematic if the data is heavily time-dependent or if certain classes or groups are not well-represented in each batch. Dropout randomly drops units independently at each training step, which also presupposes that samples are somewhat independent. If data is heavily correlated, dropout might still help regularize the network, but we need to be cautious about how well that regularization addresses correlated structures.</p><h3><strong>How does the i.i.d. assumption tie into the VC dimension and capacity control?</strong></h3><p>When deriving bounds on the generalization error using VC dimension or Rademacher complexities, we rely on an assumption that each training example is drawn i.i.d. from a common distribution. This ensures that expected errors over the training sample can generalize to the population distribution. Violations of this assumption complicate or invalidate these bounds, making it harder to reason about a model&#8217;s capacity and overfitting risks.</p><h3><strong>Why might it still be helpful to approximate data as i.i.d. even if it&#8217;s not strictly true?</strong></h3><p>Many real-world datasets have mild dependencies or distribution shifts that might not completely break i.i.d. assumptions. Even if the data is not strictly i.i.d., the assumption might be a useful approximation&#8212;especially in high-level neural network training&#8212;if the violation is not extreme and specialized methods to model the dependencies are too complex. In practice, the i.i.d. assumption is often made by default because many algorithms and theories are built upon it. If the violation is modest, results can still be decent. If it is severe, ignoring it leads to errors, so that triggers the need for specialized modeling.</p><h3><strong>How does non-i.i.d. data interact with large language models (LLMs)?</strong></h3><p>Large language models like GPT variants are often trained on massive corpora that include correlated documents, repeated text segments, and shifting distributions over time (especially if the data covers many years or domains). Although the training data is not strictly i.i.d., the scale of the data often makes the assumption of i.i.d.-like random sampling from a giant pool a workable approximation in practice. However, in fine-tuning or domain adaptation contexts, it is crucial to be aware of distribution shifts (e.g., specializing a model to a narrower domain). If the newly introduced data is from a different distribution, domain adaptation or further fine-tuning is needed.</p><h3><strong>Is there a formal approach to quantifying how much a dataset deviates from i.i.d.?</strong></h3><p>One approach is to quantify correlation within subsets of the data or across time steps. Another is to measure distribution differences, such as using Kullback&#8211;Leibler divergence between data blocks over time or across different groups. The higher the divergence, the larger the violation of identical distribution. Advanced approaches might use metrics like Maximum Mean Discrepancy (MMD) to compare distribution similarity between subsets of data, or to compare training vs. test distributions.</p><h3><strong>What is a scenario where data is identically distributed but not independent?</strong></h3><p>Imagine you sample from the same distribution for every data point (so the distribution is identical), but for each pair of consecutive samples, there is some correlation structure. This can happen in processes like Markov chains with a fixed stationary distribution. Each sample is drawn from that same stationary distribution, but each sample&#8217;s value depends on the last. This is a common scenario in time-series, making them identically distributed under stationarity assumptions but not fully independent.</p><h3><strong>What is a scenario where data is independent but not identically distributed?</strong></h3><div class="captioned-image-container"><figure><a class="image-link image2 is-viewable-img" target="_blank" href="https://substackcdn.com/image/fetch/$s_!ZL2-!,f_auto,q_auto:good,fl_progressive:steep/https%3A%2F%2Fsubstack-post-media.s3.amazonaws.com%2Fpublic%2Fimages%2F44f990da-ecb0-4d5c-a1e8-4582d6da2e8a_961x266.png" data-component-name="Image2ToDOM"><div class="image2-inset"><picture><source type="image/webp" srcset="https://substackcdn.com/image/fetch/$s_!ZL2-!,w_424,c_limit,f_webp,q_auto:good,fl_progressive:steep/https%3A%2F%2Fsubstack-post-media.s3.amazonaws.com%2Fpublic%2Fimages%2F44f990da-ecb0-4d5c-a1e8-4582d6da2e8a_961x266.png 424w, https://substackcdn.com/image/fetch/$s_!ZL2-!,w_848,c_limit,f_webp,q_auto:good,fl_progressive:steep/https%3A%2F%2Fsubstack-post-media.s3.amazonaws.com%2Fpublic%2Fimages%2F44f990da-ecb0-4d5c-a1e8-4582d6da2e8a_961x266.png 848w, https://substackcdn.com/image/fetch/$s_!ZL2-!,w_1272,c_limit,f_webp,q_auto:good,fl_progressive:steep/https%3A%2F%2Fsubstack-post-media.s3.amazonaws.com%2Fpublic%2Fimages%2F44f990da-ecb0-4d5c-a1e8-4582d6da2e8a_961x266.png 1272w, https://substackcdn.com/image/fetch/$s_!ZL2-!,w_1456,c_limit,f_webp,q_auto:good,fl_progressive:steep/https%3A%2F%2Fsubstack-post-media.s3.amazonaws.com%2Fpublic%2Fimages%2F44f990da-ecb0-4d5c-a1e8-4582d6da2e8a_961x266.png 1456w" sizes="100vw"><img src="https://substackcdn.com/image/fetch/$s_!ZL2-!,w_1456,c_limit,f_auto,q_auto:good,fl_progressive:steep/https%3A%2F%2Fsubstack-post-media.s3.amazonaws.com%2Fpublic%2Fimages%2F44f990da-ecb0-4d5c-a1e8-4582d6da2e8a_961x266.png" width="961" height="266" data-attrs="{&quot;src&quot;:&quot;https://substack-post-media.s3.amazonaws.com/public/images/44f990da-ecb0-4d5c-a1e8-4582d6da2e8a_961x266.png&quot;,&quot;srcNoWatermark&quot;:null,&quot;fullscreen&quot;:null,&quot;imageSize&quot;:null,&quot;height&quot;:266,&quot;width&quot;:961,&quot;resizeWidth&quot;:null,&quot;bytes&quot;:57296,&quot;alt&quot;:null,&quot;title&quot;:null,&quot;type&quot;:&quot;image/png&quot;,&quot;href&quot;:null,&quot;belowTheFold&quot;:true,&quot;topImage&quot;:false,&quot;internalRedirect&quot;:&quot;https://www.rohan-paul.com/i/165853340?img=https%3A%2F%2Fsubstack-post-media.s3.amazonaws.com%2Fpublic%2Fimages%2F44f990da-ecb0-4d5c-a1e8-4582d6da2e8a_961x266.png&quot;,&quot;isProcessing&quot;:false,&quot;align&quot;:null,&quot;offset&quot;:false}" class="sizing-normal" alt="" srcset="https://substackcdn.com/image/fetch/$s_!ZL2-!,w_424,c_limit,f_auto,q_auto:good,fl_progressive:steep/https%3A%2F%2Fsubstack-post-media.s3.amazonaws.com%2Fpublic%2Fimages%2F44f990da-ecb0-4d5c-a1e8-4582d6da2e8a_961x266.png 424w, https://substackcdn.com/image/fetch/$s_!ZL2-!,w_848,c_limit,f_auto,q_auto:good,fl_progressive:steep/https%3A%2F%2Fsubstack-post-media.s3.amazonaws.com%2Fpublic%2Fimages%2F44f990da-ecb0-4d5c-a1e8-4582d6da2e8a_961x266.png 848w, https://substackcdn.com/image/fetch/$s_!ZL2-!,w_1272,c_limit,f_auto,q_auto:good,fl_progressive:steep/https%3A%2F%2Fsubstack-post-media.s3.amazonaws.com%2Fpublic%2Fimages%2F44f990da-ecb0-4d5c-a1e8-4582d6da2e8a_961x266.png 1272w, https://substackcdn.com/image/fetch/$s_!ZL2-!,w_1456,c_limit,f_auto,q_auto:good,fl_progressive:steep/https%3A%2F%2Fsubstack-post-media.s3.amazonaws.com%2Fpublic%2Fimages%2F44f990da-ecb0-4d5c-a1e8-4582d6da2e8a_961x266.png 1456w" sizes="100vw" loading="lazy"></picture><div class="image-link-expand"><div class="pencraft pc-display-flex pc-gap-8 pc-reset"><button tabindex="0" type="button" class="pencraft pc-reset pencraft icon-container restack-image"><svg role="img" width="20" height="20" viewBox="0 0 20 20" fill="none" stroke-width="1.5" stroke="var(--color-fg-primary)" stroke-linecap="round" stroke-linejoin="round" xmlns="http://www.w3.org/2000/svg"><g><title></title><path d="M2.53001 7.81595C3.49179 4.73911 6.43281 2.5 9.91173 2.5C13.1684 2.5 15.9537 4.46214 17.0852 7.23684L17.6179 8.67647M17.6179 8.67647L18.5002 4.26471M17.6179 8.67647L13.6473 6.91176M17.4995 12.1841C16.5378 15.2609 13.5967 17.5 10.1178 17.5C6.86118 17.5 4.07589 15.5379 2.94432 12.7632L2.41165 11.3235M2.41165 11.3235L1.5293 15.7353M2.41165 11.3235L6.38224 13.0882"></path></g></svg></button><button tabindex="0" type="button" class="pencraft pc-reset pencraft icon-container view-image"><svg xmlns="http://www.w3.org/2000/svg" width="20" height="20" viewBox="0 0 24 24" fill="none" stroke="currentColor" stroke-width="2" stroke-linecap="round" stroke-linejoin="round" class="lucide lucide-maximize2 lucide-maximize-2"><polyline points="15 3 21 3 21 9"></polyline><polyline points="9 21 3 21 3 15"></polyline><line x1="21" x2="14" y1="3" y2="10"></line><line x1="3" x2="10" y1="21" y2="14"></line></svg></button></div></div></div></a></figure></div><h3><strong>Why does the i.i.d. assumption enable simpler forms of risk estimation?</strong></h3><p>The expected risk under i.i.d. sampling can be estimated by the empirical risk using a simple average:</p><div class="captioned-image-container"><figure><a class="image-link image2 is-viewable-img" target="_blank" href="https://substackcdn.com/image/fetch/$s_!W8bf!,f_auto,q_auto:good,fl_progressive:steep/https%3A%2F%2Fsubstack-post-media.s3.amazonaws.com%2Fpublic%2Fimages%2F728ada23-15f3-4dd3-86dc-6840c7e7c0bd_952x471.png" data-component-name="Image2ToDOM"><div class="image2-inset"><picture><source type="image/webp" srcset="https://substackcdn.com/image/fetch/$s_!W8bf!,w_424,c_limit,f_webp,q_auto:good,fl_progressive:steep/https%3A%2F%2Fsubstack-post-media.s3.amazonaws.com%2Fpublic%2Fimages%2F728ada23-15f3-4dd3-86dc-6840c7e7c0bd_952x471.png 424w, https://substackcdn.com/image/fetch/$s_!W8bf!,w_848,c_limit,f_webp,q_auto:good,fl_progressive:steep/https%3A%2F%2Fsubstack-post-media.s3.amazonaws.com%2Fpublic%2Fimages%2F728ada23-15f3-4dd3-86dc-6840c7e7c0bd_952x471.png 848w, https://substackcdn.com/image/fetch/$s_!W8bf!,w_1272,c_limit,f_webp,q_auto:good,fl_progressive:steep/https%3A%2F%2Fsubstack-post-media.s3.amazonaws.com%2Fpublic%2Fimages%2F728ada23-15f3-4dd3-86dc-6840c7e7c0bd_952x471.png 1272w, https://substackcdn.com/image/fetch/$s_!W8bf!,w_1456,c_limit,f_webp,q_auto:good,fl_progressive:steep/https%3A%2F%2Fsubstack-post-media.s3.amazonaws.com%2Fpublic%2Fimages%2F728ada23-15f3-4dd3-86dc-6840c7e7c0bd_952x471.png 1456w" sizes="100vw"><img src="https://substackcdn.com/image/fetch/$s_!W8bf!,w_1456,c_limit,f_auto,q_auto:good,fl_progressive:steep/https%3A%2F%2Fsubstack-post-media.s3.amazonaws.com%2Fpublic%2Fimages%2F728ada23-15f3-4dd3-86dc-6840c7e7c0bd_952x471.png" width="952" height="471" data-attrs="{&quot;src&quot;:&quot;https://substack-post-media.s3.amazonaws.com/public/images/728ada23-15f3-4dd3-86dc-6840c7e7c0bd_952x471.png&quot;,&quot;srcNoWatermark&quot;:null,&quot;fullscreen&quot;:null,&quot;imageSize&quot;:null,&quot;height&quot;:471,&quot;width&quot;:952,&quot;resizeWidth&quot;:null,&quot;bytes&quot;:64541,&quot;alt&quot;:null,&quot;title&quot;:null,&quot;type&quot;:&quot;image/png&quot;,&quot;href&quot;:null,&quot;belowTheFold&quot;:true,&quot;topImage&quot;:false,&quot;internalRedirect&quot;:&quot;https://www.rohan-paul.com/i/165853340?img=https%3A%2F%2Fsubstack-post-media.s3.amazonaws.com%2Fpublic%2Fimages%2F728ada23-15f3-4dd3-86dc-6840c7e7c0bd_952x471.png&quot;,&quot;isProcessing&quot;:false,&quot;align&quot;:null,&quot;offset&quot;:false}" class="sizing-normal" alt="" srcset="https://substackcdn.com/image/fetch/$s_!W8bf!,w_424,c_limit,f_auto,q_auto:good,fl_progressive:steep/https%3A%2F%2Fsubstack-post-media.s3.amazonaws.com%2Fpublic%2Fimages%2F728ada23-15f3-4dd3-86dc-6840c7e7c0bd_952x471.png 424w, https://substackcdn.com/image/fetch/$s_!W8bf!,w_848,c_limit,f_auto,q_auto:good,fl_progressive:steep/https%3A%2F%2Fsubstack-post-media.s3.amazonaws.com%2Fpublic%2Fimages%2F728ada23-15f3-4dd3-86dc-6840c7e7c0bd_952x471.png 848w, https://substackcdn.com/image/fetch/$s_!W8bf!,w_1272,c_limit,f_auto,q_auto:good,fl_progressive:steep/https%3A%2F%2Fsubstack-post-media.s3.amazonaws.com%2Fpublic%2Fimages%2F728ada23-15f3-4dd3-86dc-6840c7e7c0bd_952x471.png 1272w, https://substackcdn.com/image/fetch/$s_!W8bf!,w_1456,c_limit,f_auto,q_auto:good,fl_progressive:steep/https%3A%2F%2Fsubstack-post-media.s3.amazonaws.com%2Fpublic%2Fimages%2F728ada23-15f3-4dd3-86dc-6840c7e7c0bd_952x471.png 1456w" sizes="100vw" loading="lazy"></picture><div class="image-link-expand"><div class="pencraft pc-display-flex pc-gap-8 pc-reset"><button tabindex="0" type="button" class="pencraft pc-reset pencraft icon-container restack-image"><svg role="img" width="20" height="20" viewBox="0 0 20 20" fill="none" stroke-width="1.5" stroke="var(--color-fg-primary)" stroke-linecap="round" stroke-linejoin="round" xmlns="http://www.w3.org/2000/svg"><g><title></title><path d="M2.53001 7.81595C3.49179 4.73911 6.43281 2.5 9.91173 2.5C13.1684 2.5 15.9537 4.46214 17.0852 7.23684L17.6179 8.67647M17.6179 8.67647L18.5002 4.26471M17.6179 8.67647L13.6473 6.91176M17.4995 12.1841C16.5378 15.2609 13.5967 17.5 10.1178 17.5C6.86118 17.5 4.07589 15.5379 2.94432 12.7632L2.41165 11.3235M2.41165 11.3235L1.5293 15.7353M2.41165 11.3235L6.38224 13.0882"></path></g></svg></button><button tabindex="0" type="button" class="pencraft pc-reset pencraft icon-container view-image"><svg xmlns="http://www.w3.org/2000/svg" width="20" height="20" viewBox="0 0 24 24" fill="none" stroke="currentColor" stroke-width="2" stroke-linecap="round" stroke-linejoin="round" class="lucide lucide-maximize2 lucide-maximize-2"><polyline points="15 3 21 3 21 9"></polyline><polyline points="9 21 3 21 3 15"></polyline><line x1="21" x2="14" y1="3" y2="10"></line><line x1="3" x2="10" y1="21" y2="14"></line></svg></button></div></div></div></a></figure></div><h3><strong>Could ensemble methods be used to address non-i.i.d. data?</strong></h3><p>Ensemble methods like bagging, boosting, or random forests typically assume that data is sampled i.i.d. from the same distribution, especially bagging which uses bootstrap samples. When the data is heavily time-dependent or has group structure, naive bagging might not solve the problem of correlation. However, if the i.i.d. violation is mild, ensembles can still help reduce variance and might partially mitigate some negative effects of the violation. For strong dependency or distribution shifts, specialized strategies (like time-series ensembles or grouped ensembles) are needed.</p><h3><strong>How do we adapt standard cross-validation for grouped data?</strong></h3><p>When you have grouped data, a typical method is group-aware cross-validation, ensuring that all data from a single group is included entirely in either training or test. In scikit-learn, there is a <code>GroupKFold</code> approach. For example:</p><pre><code><code>import numpy as np
from sklearn.model_selection import GroupKFold
from sklearn.linear_model import LogisticRegression

X = np.random.rand(10, 3)
y = np.random.randint(2, size=10)
groups = np.array([1,1,2,2,3,3,4,4,5,5])  # group labels

group_kfold = GroupKFold(n_splits=5)
clf = LogisticRegression()

for train_index, test_index in group_kfold.split(X, y, groups=groups):
    X_train, X_test = X[train_index], X[test_index]
    y_train, y_test = y[train_index], y[test_index]
    clf.fit(X_train, y_train)
    score = clf.score(X_test, y_test)
    print("Train groups:", groups[train_index], "Test groups:", groups[test_index], "Score:", score)
</code></code></pre><p>This ensures that each group&#8217;s data is separated between training and test folds, reducing contamination from group-specific patterns.</p><h3><strong>When is ignoring the i.i.d. assumption still acceptable?</strong></h3><p>If the correlation or distribution shift is minor, ignoring i.i.d. might not drastically degrade performance, especially if you have a large dataset. If you do quick prototyping or proof-of-concept experiments, you might accept the i.i.d. assumption initially, while planning to refine your approach later for production use. If the domain or regulatory environment is not strict about statistical inference (like p-values or confidence intervals) and you primarily care about raw predictive accuracy, you might &#8220;get away&#8221; with ignoring mild violations.</p><h3><strong>Is the i.i.d. assumption more crucial in certain sub-fields of ML?</strong></h3><p>Fields like econometrics, biostatistics, or clinical trials often place strong emphasis on correct inference, standard errors, and p-values, so independence and identical distribution matter greatly. In purely predictive tasks (like large-scale recommendation systems), while i.i.d. assumptions are technically violated, large data and robust algorithms might handle mild violations relatively well, albeit with less clear theoretical guarantees.</p><h3><strong>How might one approach domain adaptation if the i.i.d. assumption fails due to distribution shift?</strong></h3><p>Domain adaptation involves methods such as re-weighting samples (important sampling in feature space), learning domain-invariant representations (adversarial domain adaptation), or fine-tuning a pre-trained model on a new domain. These methods aim to align or adjust the distributions between training and test (or source and target) domains to mitigate the violation of identical distribution.</p><h3><strong>How does the concept of exchangeability differ from i.i.d.?</strong></h3><p>Exchangeability means that any reordering of the sequence of random variables does not change the joint distribution. For i.i.d. data, the data is automatically exchangeable, but certain processes can be exchangeable without being strictly i.i.d. Exchangeability is a weaker condition than i.i.d., but still underpins some Bayesian approaches, like the De Finetti theorem for infinitely exchangeable sequences.</p><h3><strong>Why do so many text and image datasets approximate i.i.d. sampling?</strong></h3><p>When constructing datasets like ImageNet or large text corpora for natural language processing, the data is collected in a random manner from numerous sources. Each image or text snippet is often treated as an independent sample from a large pool. Although not strictly true, the heterogeneity and random sampling from a broad enough source often makes it a passable approximation.</p><h3><strong>How does reinforcement learning (RL) handle the lack of i.i.d. in state transitions?</strong></h3><p>In RL, data is generated by an agent interacting with an environment, causing strong temporal correlations between consecutive states. The typical i.i.d. assumption in supervised learning does not hold. RL methods use experience replay buffers, target networks, or on/off-policy learning to partially decorrelate samples or account for the Markov Decision Process structure. This is an explicit acknowledgment that data is not i.i.d.</p><h3><strong>How might we approach the final choice of data splitting or modeling when i.i.d. is questionable?</strong></h3><p>Always perform domain-specific checks. For time-series, do time-based splits. For grouped data, do group-based splits. If you detect distribution shifts, adapt your model (domain adaptation or continual learning). Validate your approach with error metrics that reflect real-world usage. For instance, if predicting future outcomes, ensure that your validation set indeed mimics the future scenario. Continuously monitor the performance in production. If performance degrades, investigate whether distribution shifts have become more pronounced.</p><h3><strong>Conclusion of Discussion</strong></h3><p>The i.i.d. assumption underlies a huge portion of statistical and machine learning theory and practice. It offers elegant derivations and generalization guarantees. However, when data exhibits temporal or group-wise dependence, or when distribution shifts over time, the i.i.d. assumption can fail&#8212;potentially invalidating naive modeling, training, and evaluation procedures. In such scenarios, specialized modeling or data-splitting techniques are necessary to maintain robust performance and reliable uncertainty estimates.</p><div><hr></div><h2><strong>Below are additional follow-up questions</strong></h2><h2><strong>What are the potential implications of label distribution shift versus feature distribution shift on the i.i.d. assumption?</strong></h2><p>When people discuss violations of the i.i.d. assumption, they often focus on the idea that both features and labels might not be drawn from the same distribution in training versus test (or in different segments of the data). A subtle but important case is when the feature distribution remains largely consistent, but the label distribution shifts. For instance, imagine a spam detection system that sees a stable linguistic distribution of emails (features) over time, but the actual proportion of spam vs. not-spam (labels) changes drastically during holiday seasons. This scenario violates identical distribution on the label side, even if the feature side is unchanged.</p><p>In this situation, the classifier might become poorly calibrated. It will assume the likelihood of "spam" or "not spam" is the same as in the training phase and could produce more false positives or false negatives. Real-world pitfalls include:</p><ul><li><p>Calibration errors. If the decision threshold was tuned on a 50/50 spam-to-ham ratio, a shift to 70/30 would skew predictions badly.</p></li><li><p>Class imbalance issues. As label proportions drift, the model might underperform for the minority class, especially if the minority class was significantly different during training.</p></li><li><p>Over/under thresholding. The model might not adjust because it assumes the prior class probabilities do not change, potentially leading to mismatched expectations of false positive/false negative rates.</p></li></ul><p>A robust approach includes continuously monitoring label proportions, periodically recalibrating threshold decisions, and using techniques like online learning that update probabilities as new labeled data becomes available.</p><h2><strong>How does the i.i.d. assumption play a role in online learning algorithms, and what if it&#8217;s violated?</strong></h2><p>Online learning setups typically assume new data points arrive sequentially, possibly drawn from the same distribution as previous samples (an i.i.d. assumption). Algorithms like stochastic gradient descent (SGD) rely on the idea that each new sample is an unbiased estimate of the true gradient.</p><p>When the i.i.d. assumption is violated in online settings:</p><ul><li><p>The step sizes might lead to divergence or poor convergence if the underlying distribution changes repeatedly (concept drift).</p></li><li><p>The gradient updates may represent different underlying tasks or distributions, making classical convergence proofs invalid.</p></li><li><p>The model might be forced to &#8220;forget&#8221; older data too quickly or too slowly, depending on how the distribution evolves.</p></li></ul><p>Mitigations include:</p><ul><li><p>Using sliding window approaches where only recent data is used to update the model, accommodating potential drift.</p></li><li><p>Incorporating adaptive learning rates or methods like ADAGRAD, RMSProp, or Adam, which can more flexibly handle changes in gradient magnitudes.</p></li><li><p>Implementing drift detection systems that trigger partial or full model retraining once certain statistical tests indicate a shift.</p></li></ul><p>Pitfalls or Edge Cases:</p><ul><li><p>If drift is abrupt (e.g., a total change in user behavior after a sudden event), a gradual adaptation mechanism might lag significantly.</p></li><li><p>If drift is cyclical (like weekly user patterns), simply discarding older data might lose valuable information about repeated future cycles.</p></li></ul><h2><strong>How do bootstrap or resampling methods rely on i.i.d. assumptions, and what happens if data is not i.i.d.?</strong></h2><p>Bootstrap methods create synthetic datasets by sampling with replacement from the original dataset to estimate variability or uncertainty (such as confidence intervals of a model). These techniques typically hinge on the idea that each data point in the original set is an independent draw from a common distribution.</p><p>If data is not i.i.d. (for example, time-series data with autocorrelation):</p><ul><li><p>The standard bootstrap would repeatedly sample points that are sequentially correlated, thus not reflecting the true distribution of the residuals or the actual random process over time.</p></li><li><p>This can lead to overly optimistic or misleading confidence intervals. The variability captured might be smaller than the real-world variability.</p></li></ul><p>Possible solutions:</p><ul><li><p>Use block bootstrapping in time-series contexts, where contiguous blocks of data are sampled to retain correlations.</p></li><li><p>Use moving-block or stationary bootstrap if the correlation structure is complex.</p></li><li><p>For grouped/clustered data, cluster bootstrap can be used to keep group correlations intact.</p></li></ul><p>Potential Edge Cases:</p><ul><li><p>If correlation extends over long time horizons, even block bootstraps might fail unless blocks are appropriately sized.</p></li><li><p>If data is heavily unbalanced in terms of groups, you could over- or under-sample certain groups repeatedly.</p></li></ul><h2><strong>How can partial i.i.d. assumptions be applied if only subsets of the data meet those criteria?</strong></h2><p>In some situations, the entire dataset might not satisfy i.i.d. assumptions, but well-chosen subsets do. For example, a global e-commerce dataset might have strong differences between countries or regions. Within each region, the data might look more i.i.d. than the global set.</p><p>One strategy is to split the dataset according to the domain or grouping factor, ensuring each subset is closer to i.i.d. Then you can:</p><ul><li><p>Train a local model per subset if each subset is sufficiently large.</p></li><li><p>Train a single global model but incorporate domain-specific features or domain-adaptation layers.</p></li><li><p>Use hierarchical models that share parameters across subsets but allow local variations.</p></li></ul><p>Potential pitfalls:</p><ul><li><p>Over-segmentation. If you create too many subsets, some subsets become too small to train robustly.</p></li><li><p>Confounding differences. Even within subsets that seem consistent, hidden differences or distribution drift over time can still violate i.i.d. locally.</p></li></ul><h2><strong>Is there a distinction between i.i.d. assumptions in supervised versus unsupervised learning?</strong></h2><div class="captioned-image-container"><figure><a class="image-link image2 is-viewable-img" target="_blank" href="https://substackcdn.com/image/fetch/$s_!H03z!,f_auto,q_auto:good,fl_progressive:steep/https%3A%2F%2Fsubstack-post-media.s3.amazonaws.com%2Fpublic%2Fimages%2F9e6bf060-82b3-47fb-b514-77464df3e574_923x410.png" data-component-name="Image2ToDOM"><div class="image2-inset"><picture><source type="image/webp" srcset="https://substackcdn.com/image/fetch/$s_!H03z!,w_424,c_limit,f_webp,q_auto:good,fl_progressive:steep/https%3A%2F%2Fsubstack-post-media.s3.amazonaws.com%2Fpublic%2Fimages%2F9e6bf060-82b3-47fb-b514-77464df3e574_923x410.png 424w, https://substackcdn.com/image/fetch/$s_!H03z!,w_848,c_limit,f_webp,q_auto:good,fl_progressive:steep/https%3A%2F%2Fsubstack-post-media.s3.amazonaws.com%2Fpublic%2Fimages%2F9e6bf060-82b3-47fb-b514-77464df3e574_923x410.png 848w, https://substackcdn.com/image/fetch/$s_!H03z!,w_1272,c_limit,f_webp,q_auto:good,fl_progressive:steep/https%3A%2F%2Fsubstack-post-media.s3.amazonaws.com%2Fpublic%2Fimages%2F9e6bf060-82b3-47fb-b514-77464df3e574_923x410.png 1272w, https://substackcdn.com/image/fetch/$s_!H03z!,w_1456,c_limit,f_webp,q_auto:good,fl_progressive:steep/https%3A%2F%2Fsubstack-post-media.s3.amazonaws.com%2Fpublic%2Fimages%2F9e6bf060-82b3-47fb-b514-77464df3e574_923x410.png 1456w" sizes="100vw"><img src="https://substackcdn.com/image/fetch/$s_!H03z!,w_1456,c_limit,f_auto,q_auto:good,fl_progressive:steep/https%3A%2F%2Fsubstack-post-media.s3.amazonaws.com%2Fpublic%2Fimages%2F9e6bf060-82b3-47fb-b514-77464df3e574_923x410.png" width="923" height="410" data-attrs="{&quot;src&quot;:&quot;https://substack-post-media.s3.amazonaws.com/public/images/9e6bf060-82b3-47fb-b514-77464df3e574_923x410.png&quot;,&quot;srcNoWatermark&quot;:null,&quot;fullscreen&quot;:null,&quot;imageSize&quot;:null,&quot;height&quot;:410,&quot;width&quot;:923,&quot;resizeWidth&quot;:null,&quot;bytes&quot;:83581,&quot;alt&quot;:null,&quot;title&quot;:null,&quot;type&quot;:&quot;image/png&quot;,&quot;href&quot;:null,&quot;belowTheFold&quot;:true,&quot;topImage&quot;:false,&quot;internalRedirect&quot;:&quot;https://www.rohan-paul.com/i/165853340?img=https%3A%2F%2Fsubstack-post-media.s3.amazonaws.com%2Fpublic%2Fimages%2F9e6bf060-82b3-47fb-b514-77464df3e574_923x410.png&quot;,&quot;isProcessing&quot;:false,&quot;align&quot;:null,&quot;offset&quot;:false}" class="sizing-normal" alt="" srcset="https://substackcdn.com/image/fetch/$s_!H03z!,w_424,c_limit,f_auto,q_auto:good,fl_progressive:steep/https%3A%2F%2Fsubstack-post-media.s3.amazonaws.com%2Fpublic%2Fimages%2F9e6bf060-82b3-47fb-b514-77464df3e574_923x410.png 424w, https://substackcdn.com/image/fetch/$s_!H03z!,w_848,c_limit,f_auto,q_auto:good,fl_progressive:steep/https%3A%2F%2Fsubstack-post-media.s3.amazonaws.com%2Fpublic%2Fimages%2F9e6bf060-82b3-47fb-b514-77464df3e574_923x410.png 848w, https://substackcdn.com/image/fetch/$s_!H03z!,w_1272,c_limit,f_auto,q_auto:good,fl_progressive:steep/https%3A%2F%2Fsubstack-post-media.s3.amazonaws.com%2Fpublic%2Fimages%2F9e6bf060-82b3-47fb-b514-77464df3e574_923x410.png 1272w, https://substackcdn.com/image/fetch/$s_!H03z!,w_1456,c_limit,f_auto,q_auto:good,fl_progressive:steep/https%3A%2F%2Fsubstack-post-media.s3.amazonaws.com%2Fpublic%2Fimages%2F9e6bf060-82b3-47fb-b514-77464df3e574_923x410.png 1456w" sizes="100vw" loading="lazy"></picture><div class="image-link-expand"><div class="pencraft pc-display-flex pc-gap-8 pc-reset"><button tabindex="0" type="button" class="pencraft pc-reset pencraft icon-container restack-image"><svg role="img" width="20" height="20" viewBox="0 0 20 20" fill="none" stroke-width="1.5" stroke="var(--color-fg-primary)" stroke-linecap="round" stroke-linejoin="round" xmlns="http://www.w3.org/2000/svg"><g><title></title><path d="M2.53001 7.81595C3.49179 4.73911 6.43281 2.5 9.91173 2.5C13.1684 2.5 15.9537 4.46214 17.0852 7.23684L17.6179 8.67647M17.6179 8.67647L18.5002 4.26471M17.6179 8.67647L13.6473 6.91176M17.4995 12.1841C16.5378 15.2609 13.5967 17.5 10.1178 17.5C6.86118 17.5 4.07589 15.5379 2.94432 12.7632L2.41165 11.3235M2.41165 11.3235L1.5293 15.7353M2.41165 11.3235L6.38224 13.0882"></path></g></svg></button><button tabindex="0" type="button" class="pencraft pc-reset pencraft icon-container view-image"><svg xmlns="http://www.w3.org/2000/svg" width="20" height="20" viewBox="0 0 24 24" fill="none" stroke="currentColor" stroke-width="2" stroke-linecap="round" stroke-linejoin="round" class="lucide lucide-maximize2 lucide-maximize-2"><polyline points="15 3 21 3 21 9"></polyline><polyline points="9 21 3 21 3 15"></polyline><line x1="21" x2="14" y1="3" y2="10"></line><line x1="3" x2="10" y1="21" y2="14"></line></svg></button></div></div></div></a></figure></div><p>Edge Cases:</p><ul><li><p>In anomaly detection, data might be mostly i.i.d., but anomalies themselves might have different correlations or distributions.</p></li><li><p>In generative modeling, if data is not identically distributed, the learned generative model might severely misrepresent minority subsets.</p></li></ul><h2><strong>How do data augmentation techniques in deep learning relate to the i.i.d. assumption?</strong></h2><p>Data augmentation (e.g., random flips, rotations for images, or noise injection in text) is typically used to artificially expand a training set under the assumption that these augmentations do not change the underlying class distribution or introduce spurious correlations. The assumption is that an augmented sample is another valid i.i.d. draw from the same distribution.</p><p>But problems can arise:</p><ul><li><p>Overly aggressive or unrealistic augmentations can create training examples that do not exist in the real distribution (leading to distribution mismatch).</p></li><li><p>Non-i.i.d. data with domain-specific constraints might not benefit from naive augmentations. For example, flipping medical images horizontally might invalidate anatomic references.</p></li></ul><p>Pitfall Examples:</p><ul><li><p>In text augmentation, random word swaps might break linguistic dependencies or grammar, introducing samples that do not conform to real usage.</p></li><li><p>Using the same augmentation random seed for all images in a mini-batch can create artificial correlations among the augmented samples.</p></li></ul><h2><strong>How do labeling errors or noisy labels affect the i.i.d. assumption?</strong></h2><div class="captioned-image-container"><figure><a class="image-link image2 is-viewable-img" target="_blank" href="https://substackcdn.com/image/fetch/$s_!vGgb!,f_auto,q_auto:good,fl_progressive:steep/https%3A%2F%2Fsubstack-post-media.s3.amazonaws.com%2Fpublic%2Fimages%2F5c02d46c-deb6-41ae-bcdd-c68a38b67865_935x431.png" data-component-name="Image2ToDOM"><div class="image2-inset"><picture><source type="image/webp" srcset="https://substackcdn.com/image/fetch/$s_!vGgb!,w_424,c_limit,f_webp,q_auto:good,fl_progressive:steep/https%3A%2F%2Fsubstack-post-media.s3.amazonaws.com%2Fpublic%2Fimages%2F5c02d46c-deb6-41ae-bcdd-c68a38b67865_935x431.png 424w, https://substackcdn.com/image/fetch/$s_!vGgb!,w_848,c_limit,f_webp,q_auto:good,fl_progressive:steep/https%3A%2F%2Fsubstack-post-media.s3.amazonaws.com%2Fpublic%2Fimages%2F5c02d46c-deb6-41ae-bcdd-c68a38b67865_935x431.png 848w, https://substackcdn.com/image/fetch/$s_!vGgb!,w_1272,c_limit,f_webp,q_auto:good,fl_progressive:steep/https%3A%2F%2Fsubstack-post-media.s3.amazonaws.com%2Fpublic%2Fimages%2F5c02d46c-deb6-41ae-bcdd-c68a38b67865_935x431.png 1272w, https://substackcdn.com/image/fetch/$s_!vGgb!,w_1456,c_limit,f_webp,q_auto:good,fl_progressive:steep/https%3A%2F%2Fsubstack-post-media.s3.amazonaws.com%2Fpublic%2Fimages%2F5c02d46c-deb6-41ae-bcdd-c68a38b67865_935x431.png 1456w" sizes="100vw"><img src="https://substackcdn.com/image/fetch/$s_!vGgb!,w_1456,c_limit,f_auto,q_auto:good,fl_progressive:steep/https%3A%2F%2Fsubstack-post-media.s3.amazonaws.com%2Fpublic%2Fimages%2F5c02d46c-deb6-41ae-bcdd-c68a38b67865_935x431.png" width="935" height="431" data-attrs="{&quot;src&quot;:&quot;https://substack-post-media.s3.amazonaws.com/public/images/5c02d46c-deb6-41ae-bcdd-c68a38b67865_935x431.png&quot;,&quot;srcNoWatermark&quot;:null,&quot;fullscreen&quot;:null,&quot;imageSize&quot;:null,&quot;height&quot;:431,&quot;width&quot;:935,&quot;resizeWidth&quot;:null,&quot;bytes&quot;:96151,&quot;alt&quot;:null,&quot;title&quot;:null,&quot;type&quot;:&quot;image/png&quot;,&quot;href&quot;:null,&quot;belowTheFold&quot;:true,&quot;topImage&quot;:false,&quot;internalRedirect&quot;:&quot;https://www.rohan-paul.com/i/165853340?img=https%3A%2F%2Fsubstack-post-media.s3.amazonaws.com%2Fpublic%2Fimages%2F5c02d46c-deb6-41ae-bcdd-c68a38b67865_935x431.png&quot;,&quot;isProcessing&quot;:false,&quot;align&quot;:null,&quot;offset&quot;:false}" class="sizing-normal" alt="" srcset="https://substackcdn.com/image/fetch/$s_!vGgb!,w_424,c_limit,f_auto,q_auto:good,fl_progressive:steep/https%3A%2F%2Fsubstack-post-media.s3.amazonaws.com%2Fpublic%2Fimages%2F5c02d46c-deb6-41ae-bcdd-c68a38b67865_935x431.png 424w, https://substackcdn.com/image/fetch/$s_!vGgb!,w_848,c_limit,f_auto,q_auto:good,fl_progressive:steep/https%3A%2F%2Fsubstack-post-media.s3.amazonaws.com%2Fpublic%2Fimages%2F5c02d46c-deb6-41ae-bcdd-c68a38b67865_935x431.png 848w, https://substackcdn.com/image/fetch/$s_!vGgb!,w_1272,c_limit,f_auto,q_auto:good,fl_progressive:steep/https%3A%2F%2Fsubstack-post-media.s3.amazonaws.com%2Fpublic%2Fimages%2F5c02d46c-deb6-41ae-bcdd-c68a38b67865_935x431.png 1272w, https://substackcdn.com/image/fetch/$s_!vGgb!,w_1456,c_limit,f_auto,q_auto:good,fl_progressive:steep/https%3A%2F%2Fsubstack-post-media.s3.amazonaws.com%2Fpublic%2Fimages%2F5c02d46c-deb6-41ae-bcdd-c68a38b67865_935x431.png 1456w" sizes="100vw" loading="lazy"></picture><div class="image-link-expand"><div class="pencraft pc-display-flex pc-gap-8 pc-reset"><button tabindex="0" type="button" class="pencraft pc-reset pencraft icon-container restack-image"><svg role="img" width="20" height="20" viewBox="0 0 20 20" fill="none" stroke-width="1.5" stroke="var(--color-fg-primary)" stroke-linecap="round" stroke-linejoin="round" xmlns="http://www.w3.org/2000/svg"><g><title></title><path d="M2.53001 7.81595C3.49179 4.73911 6.43281 2.5 9.91173 2.5C13.1684 2.5 15.9537 4.46214 17.0852 7.23684L17.6179 8.67647M17.6179 8.67647L18.5002 4.26471M17.6179 8.67647L13.6473 6.91176M17.4995 12.1841C16.5378 15.2609 13.5967 17.5 10.1178 17.5C6.86118 17.5 4.07589 15.5379 2.94432 12.7632L2.41165 11.3235M2.41165 11.3235L1.5293 15.7353M2.41165 11.3235L6.38224 13.0882"></path></g></svg></button><button tabindex="0" type="button" class="pencraft pc-reset pencraft icon-container view-image"><svg xmlns="http://www.w3.org/2000/svg" width="20" height="20" viewBox="0 0 24 24" fill="none" stroke="currentColor" stroke-width="2" stroke-linecap="round" stroke-linejoin="round" class="lucide lucide-maximize2 lucide-maximize-2"><polyline points="15 3 21 3 21 9"></polyline><polyline points="9 21 3 21 3 15"></polyline><line x1="21" x2="14" y1="3" y2="10"></line><line x1="3" x2="10" y1="21" y2="14"></line></svg></button></div></div></div></a></figure></div><p>Edge Cases:</p><ul><li><p>Crowdsourced labeling where certain annotators might consistently label incorrectly or have a bias can create patterns in labeling noise that break independence.</p></li><li><p>If data is sorted or grouped by labelers with different biases, you can have distribution shifts in labeling accuracy across data segments.</p></li></ul><h2><strong>How does using synthetic or generative data for training intersect with i.i.d. assumptions?</strong></h2><p>Sometimes models are trained or partially trained on synthetic data generated by a simulator. The simulator might aim to replicate the real-world distribution, but rarely does it capture all complexities:</p><ul><li><p>If synthetic data distribution does not match the real data distribution, &#8220;identically distributed&#8221; is violated when you mix synthetic data with real data in training or testing.</p></li><li><p>Overfitting to synthetic artifacts can cause poor real-world performance.</p></li></ul><p>Edge Cases:</p><ul><li><p>Real data may have rare edge cases or anomalies the simulator never generated, causing the model to fail in real scenarios.</p></li><li><p>Simulator-level correlation. If a simulator reuses certain procedural generation seeds or logic, it may produce correlated samples that are not truly independent.</p></li></ul><h2><strong>How might the i.i.d. assumption break if training and deployment environments differ significantly?</strong></h2><p>A model may be trained in a controlled environment (like a lab) where data is carefully collected. At deployment, it faces real-world data that can deviate significantly:</p><ul><li><p>Changes in device sensors, or changes in user behavior, can lead to distribution shifts, breaking the assumption that test data is drawn from the same distribution as training data.</p></li><li><p>Shifts in label definitions or feedback processes in the real world can also cause the model to encounter label distributions different from those seen during training.</p></li></ul><p>Potential pitfalls:</p><ul><li><p>Model drift if the environment evolves too quickly or unpredictably.</p></li><li><p>The system might fail silently if there is no continuous monitoring or feedback loop that captures the difference.</p></li></ul><h2><strong>Can private or federated learning setups suffer from i.i.d. violations?</strong></h2><p>In federated learning, data remains on local client devices and the model is updated in a distributed fashion. Each client might have a unique data distribution, which can be different from other clients. This is called &#8220;non-IID&#8221; data in federated learning:</p><ul><li><p>Standard federated averaging algorithms assume each client&#8217;s local update is a fair sample of the global distribution. If each client has unique usage patterns, this assumption is violated.</p></li><li><p>Convergence might be slower or might favor clients that have distributions closer to the average.</p></li></ul><p>Edge Cases:</p><ul><li><p>Personalization is often introduced to mitigate major distribution mismatches. However, if distributions vary heavily, global model performance can degrade.</p></li><li><p>Clients with very small datasets might produce high-variance gradient estimates, hurting global convergence.</p></li></ul><h2><strong>Could we have a scenario where the data is i.i.d. in high-level aggregates but not in fine-grained structure?</strong></h2><p>Yes. For instance, daily sales data might appear to be i.i.d. day-by-day at the aggregate level. However, within each day, there is strong correlation (e.g., hourly patterns) that break independence. Summarizing at the day level can mask intra-day correlations but might appear i.i.d. at the daily resolution.</p><p>Pitfalls:</p><ul><li><p>Missing out on important sub-daily patterns, causing incomplete modeling.</p></li><li><p>Overlooking cyclical or seasonal effects if the day is considered a single data point.</p></li></ul><h2><strong>What approaches exist for quantifying the extent of non-i.i.d. structure in big datasets?</strong></h2><p>Some advanced techniques:</p><ul><li><p>Copula-based methods to measure dependencies among variables or among data points.</p></li><li><p>Intrinsic dimension or manifold learning analysis to see if some data sub-manifolds share distribution properties distinctly from others.</p></li><li><p>Bayesian hierarchical modeling, which explicitly encodes group and sub-group variations, can reveal the extent to which each group differs from a global distribution.</p></li></ul><p>Pitfalls:</p><ul><li><p>High complexity of these methods can lead to overfitting or intractable computations in large datasets.</p></li><li><p>Real-world data often has multiple overlapping forms of dependence (time + groups + hidden confounders), complicating any single measure of &#8220;non-i.i.d.&#8221;</p></li></ul><h2><strong>How does the i.i.d. assumption affect interpretability methods like SHAP or LIME?</strong></h2><p>Many local interpretability methods assume that small perturbations of a single instance are reflective of realistic samples from the same distribution. If features are correlated or if the data distribution has complex dependencies:</p><ul><li><p>Perturbation-based methods might sample unrealistic or improbable feature combinations, leading to misleading local explanations.</p></li><li><p>If part of the dataset is from a different distribution, an interpretation derived from one subset could be meaningless for another subset.</p></li></ul><p>Edge Cases:</p><ul><li><p>Time-series features that must remain in consistent temporal order to make sense can be incorrectly permuted or perturbed.</p></li><li><p>Categorical features with group structure: random perturbations that shuffle categories might produce nonsense samples (like mixing countries and cities incorrectly).</p></li></ul><h2><strong>What unique challenges does active learning face when the data pool is not i.i.d.?</strong></h2><p>Active learning selects the most informative samples to label. The typical theoretical framework often assumes those selected samples come from an i.i.d. pool.</p><p>If the pool is not i.i.d.:</p><ul><li><p>The selection mechanism might focus on anomalies or interesting sub-regions that differ from the main data distribution. This can bias the model if it over-represents certain patterns.</p></li><li><p>If new data arrives over time in a non-stationary manner, a static pool-based active learning approach may not adapt well.</p></li></ul><p>Pitfalls:</p><ul><li><p>The model&#8217;s view of &#8220;informative&#8221; points might keep changing if the distribution evolves, leading to incomplete coverage of future domain changes.</p></li><li><p>If data is grouped, the active learner might keep sampling from the same group it deems uncertain, ignoring other groups.</p></li></ul><h2><strong>How do multi-armed bandit or contextual bandit settings address the non-i.i.d. nature of streaming data?</strong></h2><p>Bandit algorithms typically assume each reward sample (from pulling an arm or presenting an action) is independent. However, user preferences and contexts can be correlated over time, breaking independence.</p><p>For contextual bandits:</p><ul><li><p>The assumption is that each context-reward pair is drawn from a stationary distribution. In practice, user behavior evolves (non-stationary).</p></li><li><p>Algorithms like EXP3 or Thompson Sampling might be robust to mild non-stationarity but can fail if major drift occurs.</p></li></ul><p>Potential pitfalls:</p><ul><li><p>A bandit might &#8220;lock in&#8221; on a strategy that performs well initially but is suboptimal once user preferences change.</p></li><li><p>If context features are heavily correlated (e.g., multiple contexts come from the same user in short succession), the reward estimates might become biased.</p></li></ul><h2><strong>Does the i.i.d. assumption break when we do oversampling or undersampling for class imbalance?</strong></h2><p>Techniques like SMOTE or random oversampling artificially replicate minority class samples or synthesize new minority samples. This can violate independence if the new synthetic points are strongly influenced by existing minority points in the feature space. However, many practitioners still treat them as if they were new i.i.d. draws.</p><p>Potential pitfalls:</p><ul><li><p>Overfitting to the minority class, especially if oversampled points do not introduce genuinely new patterns.</p></li><li><p>Underestimating real-world complexity if the minority class is not truly well-represented even after synthetic generation.</p></li></ul><h2><strong>Are there scenarios where data is &#8220;conditionally i.i.d.&#8221; given certain latent variables?</strong></h2><p>Sometimes data can be viewed as i.i.d. if we condition on certain hidden or latent variables. For example, in a mixture model scenario, if the mixture component (latent variable) is known for each sample, then within each component, data might be i.i.d. from that component&#8217;s distribution. Without conditioning on the latent variable, the entire dataset appears non-i.i.d. from a single global perspective.</p><p>Pitfalls:</p><ul><li><p>Identifiability. You might not know the correct latent variables or might have too many/few components.</p></li><li><p>Overly simplified latent structure. Real data might have more intricate dependencies than a finite mixture assumption can capture.</p></li></ul><h2><strong>How might cross-correlation among features or among samples complicate the i.i.d. assumption?</strong></h2><div class="captioned-image-container"><figure><a class="image-link image2 is-viewable-img" target="_blank" href="https://substackcdn.com/image/fetch/$s_!h7Qx!,f_auto,q_auto:good,fl_progressive:steep/https%3A%2F%2Fsubstack-post-media.s3.amazonaws.com%2Fpublic%2Fimages%2F7e151532-75ff-4e57-855f-3e55aae36f04_874x363.png" data-component-name="Image2ToDOM"><div class="image2-inset"><picture><source type="image/webp" srcset="https://substackcdn.com/image/fetch/$s_!h7Qx!,w_424,c_limit,f_webp,q_auto:good,fl_progressive:steep/https%3A%2F%2Fsubstack-post-media.s3.amazonaws.com%2Fpublic%2Fimages%2F7e151532-75ff-4e57-855f-3e55aae36f04_874x363.png 424w, https://substackcdn.com/image/fetch/$s_!h7Qx!,w_848,c_limit,f_webp,q_auto:good,fl_progressive:steep/https%3A%2F%2Fsubstack-post-media.s3.amazonaws.com%2Fpublic%2Fimages%2F7e151532-75ff-4e57-855f-3e55aae36f04_874x363.png 848w, https://substackcdn.com/image/fetch/$s_!h7Qx!,w_1272,c_limit,f_webp,q_auto:good,fl_progressive:steep/https%3A%2F%2Fsubstack-post-media.s3.amazonaws.com%2Fpublic%2Fimages%2F7e151532-75ff-4e57-855f-3e55aae36f04_874x363.png 1272w, https://substackcdn.com/image/fetch/$s_!h7Qx!,w_1456,c_limit,f_webp,q_auto:good,fl_progressive:steep/https%3A%2F%2Fsubstack-post-media.s3.amazonaws.com%2Fpublic%2Fimages%2F7e151532-75ff-4e57-855f-3e55aae36f04_874x363.png 1456w" sizes="100vw"><img src="https://substackcdn.com/image/fetch/$s_!h7Qx!,w_1456,c_limit,f_auto,q_auto:good,fl_progressive:steep/https%3A%2F%2Fsubstack-post-media.s3.amazonaws.com%2Fpublic%2Fimages%2F7e151532-75ff-4e57-855f-3e55aae36f04_874x363.png" width="874" height="363" data-attrs="{&quot;src&quot;:&quot;https://substack-post-media.s3.amazonaws.com/public/images/7e151532-75ff-4e57-855f-3e55aae36f04_874x363.png&quot;,&quot;srcNoWatermark&quot;:null,&quot;fullscreen&quot;:null,&quot;imageSize&quot;:null,&quot;height&quot;:363,&quot;width&quot;:874,&quot;resizeWidth&quot;:null,&quot;bytes&quot;:80719,&quot;alt&quot;:null,&quot;title&quot;:null,&quot;type&quot;:&quot;image/png&quot;,&quot;href&quot;:null,&quot;belowTheFold&quot;:true,&quot;topImage&quot;:false,&quot;internalRedirect&quot;:&quot;https://www.rohan-paul.com/i/165853340?img=https%3A%2F%2Fsubstack-post-media.s3.amazonaws.com%2Fpublic%2Fimages%2F7e151532-75ff-4e57-855f-3e55aae36f04_874x363.png&quot;,&quot;isProcessing&quot;:false,&quot;align&quot;:null,&quot;offset&quot;:false}" class="sizing-normal" alt="" srcset="https://substackcdn.com/image/fetch/$s_!h7Qx!,w_424,c_limit,f_auto,q_auto:good,fl_progressive:steep/https%3A%2F%2Fsubstack-post-media.s3.amazonaws.com%2Fpublic%2Fimages%2F7e151532-75ff-4e57-855f-3e55aae36f04_874x363.png 424w, https://substackcdn.com/image/fetch/$s_!h7Qx!,w_848,c_limit,f_auto,q_auto:good,fl_progressive:steep/https%3A%2F%2Fsubstack-post-media.s3.amazonaws.com%2Fpublic%2Fimages%2F7e151532-75ff-4e57-855f-3e55aae36f04_874x363.png 848w, https://substackcdn.com/image/fetch/$s_!h7Qx!,w_1272,c_limit,f_auto,q_auto:good,fl_progressive:steep/https%3A%2F%2Fsubstack-post-media.s3.amazonaws.com%2Fpublic%2Fimages%2F7e151532-75ff-4e57-855f-3e55aae36f04_874x363.png 1272w, https://substackcdn.com/image/fetch/$s_!h7Qx!,w_1456,c_limit,f_auto,q_auto:good,fl_progressive:steep/https%3A%2F%2Fsubstack-post-media.s3.amazonaws.com%2Fpublic%2Fimages%2F7e151532-75ff-4e57-855f-3e55aae36f04_874x363.png 1456w" sizes="100vw" loading="lazy"></picture><div class="image-link-expand"><div class="pencraft pc-display-flex pc-gap-8 pc-reset"><button tabindex="0" type="button" class="pencraft pc-reset pencraft icon-container restack-image"><svg role="img" width="20" height="20" viewBox="0 0 20 20" fill="none" stroke-width="1.5" stroke="var(--color-fg-primary)" stroke-linecap="round" stroke-linejoin="round" xmlns="http://www.w3.org/2000/svg"><g><title></title><path d="M2.53001 7.81595C3.49179 4.73911 6.43281 2.5 9.91173 2.5C13.1684 2.5 15.9537 4.46214 17.0852 7.23684L17.6179 8.67647M17.6179 8.67647L18.5002 4.26471M17.6179 8.67647L13.6473 6.91176M17.4995 12.1841C16.5378 15.2609 13.5967 17.5 10.1178 17.5C6.86118 17.5 4.07589 15.5379 2.94432 12.7632L2.41165 11.3235M2.41165 11.3235L1.5293 15.7353M2.41165 11.3235L6.38224 13.0882"></path></g></svg></button><button tabindex="0" type="button" class="pencraft pc-reset pencraft icon-container view-image"><svg xmlns="http://www.w3.org/2000/svg" width="20" height="20" viewBox="0 0 24 24" fill="none" stroke="currentColor" stroke-width="2" stroke-linecap="round" stroke-linejoin="round" class="lucide lucide-maximize2 lucide-maximize-2"><polyline points="15 3 21 3 21 9"></polyline><polyline points="9 21 3 21 3 15"></polyline><line x1="21" x2="14" y1="3" y2="10"></line><line x1="3" x2="10" y1="21" y2="14"></line></svg></button></div></div></div></a></figure></div><p>Edge cases:</p><ul><li><p>Data with repeated patterns or near-duplicates can create effectively correlated samples. This might artificially inflate model performance in a random split evaluation.</p></li><li><p>Very high correlation among features can lead to numerical instability in matrix-based methods like OLS if not handled by regularization or dimensionality reduction.</p></li></ul><h2><strong>Does the i.i.d. assumption hold in reinforcement learning when the reward function changes mid-deployment?</strong></h2><p>If the environment changes its reward function&#8212;say, a game&#8217;s rules are updated&#8212;this directly invalidates the assumption that reward samples come from the same underlying distribution. The agent&#8217;s previous experiences are from one distribution, while future experiences come from another.</p><p>Pitfalls:</p><ul><li><p>The policy might become suboptimal or worthless in the new environment without a mechanism for adaptation.</p></li><li><p>The agent may exhibit catastrophic forgetting if it overfits to the new environment and discards all knowledge from the previous version, some of which might remain partially relevant.</p></li></ul><h2><strong>In ensemble methods that use bagging, does non-i.i.d. data cause any special concerns beyond standard single-model approaches?</strong></h2><p>Bagging draws bootstrap samples from the original dataset to train multiple base learners. If the dataset is not i.i.d.:</p><ul><li><p>Re-sampling from correlated data might produce multiple bootstrap sets that are not representative. Instead of capturing random variation, each bootstrap might replicate correlated segments.</p></li><li><p>This can lead to ensembles overestimating their own confidence because each base learner sees correlated patterns, reducing the overall variance they are supposed to capture.</p></li></ul><p>Edge cases:</p><ul><li><p>Extremely correlated data (like multiple near-duplicate samples) can cause bagging to produce nearly identical models.</p></li><li><p>If data has strong grouping, random sampling with replacement can break group structures, leading to artificially inflated performance in cross-validation.</p></li></ul><h2><strong>How does the i.i.d. assumption shape the idea of permutations or randomization tests in hypothesis testing?</strong></h2><p>Randomization or permutation tests rely on the assumption that data points are exchangeable (a weaker condition than i.i.d. but closely related). If data has a known structure (e.g., chronological ordering or grouping), random permutations might break that structure, invalidating the test&#8217;s foundation.</p><p>Pitfalls:</p><ul><li><p>When time-series or grouped data is permuted, the test statistic distribution might not reflect reality, producing incorrect p-values.</p></li><li><p>If a grouping factor is crucial, permutations that mix group labels can destroy within-group correlations, creating a mismatch with the real data-generating process.</p></li></ul><h2><strong>What special considerations are needed for anomaly detection when the i.i.d. assumption does not hold?</strong></h2><p>In anomaly detection, a model is often trained to understand the &#8220;normal&#8221; data distribution. If data is i.i.d., outliers are easier to identify statistically. If data is correlated:</p><ul><li><p>A point could appear anomalous if viewed in isolation, but it might be perfectly normal in the context of a correlated sequence (e.g., a spike in time-series data that always follows a certain pattern).</p></li><li><p>Non-stationary data might make certain points appear anomalous when in fact they represent a new normal.</p></li></ul><p>Edge Cases:</p><ul><li><p>In streaming anomaly detection with concept drift, the definition of &#8220;normal&#8221; changes over time, requiring adaptive thresholds.</p></li><li><p>Correlated anomalies (e.g., multiple sensors failing in a correlated manner) might lead to false negatives if the detection approach only searches for individually anomalous points without considering group correlations.</p></li></ul><h2><strong>Can data imputation techniques inadvertently break or assume i.i.d. structure?</strong></h2><p>When imputing missing data, methods like mean imputation, k-nearest neighbors, or regression-based imputation often assume the observed data is representative of the same distribution from which the missing values originate. If the missingness mechanism depends on time or group factors, or if the dataset is not identically distributed across subsets:</p><ul><li><p>The imputed values might systematically bias the final dataset.</p></li><li><p>Correlations might be introduced between samples if the same imputation model is used across different groups that truly differ.</p></li></ul><p>Pitfalls:</p><ul><li><p>If missingness is not at random and is related to unobserved factors, standard imputation can severely distort relationships.</p></li><li><p>Time-series data typically needs specialized imputation (e.g., forward filling, interpolation) that respects temporal order.</p></li></ul><h2><strong>Does the i.i.d. assumption impact how we tune hyperparameters, for instance in Bayesian Optimization?</strong></h2><p>Bayesian Optimization typically treats each hyperparameter configuration&#8217;s performance as an independent sample from a latent function. If the data used to evaluate a model&#8217;s performance for one hyperparameter is correlated with the data used for another in subtle ways (like shared cross-validation folds that have temporal dependence), the assumption of independent noise in the objective function might fail.</p><p>Potential consequences:</p><ul><li><p>Over- or underestimating certain hyperparameter configurations.</p></li><li><p>The GP (Gaussian Process) or surrogate model used in Bayesian Optimization might produce inaccurate uncertainty estimates if performance measurements are correlated in non-trivial ways.</p></li></ul><p>Edge Cases:</p><ul><li><p>If the validation set changes distribution mid-optimization, some hyperparameters might look artificially strong or weak compared to earlier runs.</p></li><li><p>If each iteration reuses the same non-i.i.d. data splits, performance evaluations might systematically favor certain configurations.</p></li></ul><h2><strong>How might the i.i.d. assumption interact with data privacy constraints (like differential privacy)?</strong></h2><p>Differential privacy algorithms often add noise to data or model parameters to protect individual sample privacy. This process usually assumes that each sample&#8217;s contribution to the overall statistic is independent. If samples are correlated (for example, multiple records belonging to the same person), it can weaken the intended privacy guarantees because removing or changing one person&#8217;s data might not fully anonymize that person&#8217;s correlated records.</p><p>Pitfalls:</p><ul><li><p>Repeated correlated records can allow an adversary to pinpoint an individual even after the noise injection because the correlation boosts the signal of that individual&#8217;s data pattern.</p></li><li><p>Group-level correlation can mean the privacy budget is consumed at a faster rate if many correlated records belong to the same individual or cluster.</p></li></ul><h2><strong>How do you avoid incorrectly attributing poor model performance to hyperparameter tuning if i.i.d. is violated?</strong></h2><p>When i.i.d. is violated, some hyperparameters might appear suboptimal simply because the dataset splits do not reflect real-world usage. Steps to avoid confusion:</p><ul><li><p>Use domain-aware splitting methods (time-series splits, group splits) to measure performance more realistically.</p></li><li><p>Track performance metrics over time or across groups to see if certain hyperparameter choices only fail in specific scenarios.</p></li><li><p>Deploy smaller scale tests or pilot phases to confirm that any improvement during training is consistent in real usage conditions.</p></li></ul><p>Edge Cases:</p><ul><li><p>Overfitting to a specific time window or group distribution might cause the chosen hyperparameters to fail in the next window or group.</p></li><li><p>If distribution shifts quickly, repeated hyperparameter tuning might chase a moving target.</p></li></ul><h2><strong>How does the i.i.d. assumption shape our interpretation of feature importance in a model?</strong></h2><p>Feature importance metrics, whether in linear models (coefficients) or tree-based models (split frequency, SHAP values), generally assume that the distribution of data used to estimate these metrics is representative of the true data distribution. If the data shifts or has subgroups with different relationships:</p><ul><li><p>Feature importance can be misleading or might average contradictory effects across subgroups.</p></li><li><p>Time-varying feature importance might never be captured by a single global measure.</p></li></ul><p>Edge Cases:</p><ul><li><p>A feature might appear very important globally but be useless for a new segment of data that changed distribution.</p></li><li><p>If the dataset includes multiple correlated sub-populations, the feature importance might reflect only the largest sub-population&#8217;s relationships.</p></li></ul><h2><strong>When deploying a model to new regions or customer segments, how can the i.i.d. assumption fail specifically?</strong></h2><p>Geographic or demographic expansion can introduce new feature distributions (e.g., different average income, cultural preferences) or new label distributions. The i.i.d. assumption that &#8220;new region data matches old region data distribution&#8221; breaks immediately. Common pitfalls:</p><ul><li><p>The model might underperform or fail catastrophically if crucial features shift in meaning (e.g., addresses or local norms).</p></li><li><p>The evaluation metrics used during training do not reflect how the new region&#8217;s data will behave.</p></li></ul><p>Mitigations:</p><ul><li><p>Gradually collect labeled data from the new region or segment to refine or retrain the model.</p></li><li><p>Use transfer learning or domain adaptation to incorporate knowledge from the original domain while adjusting to local specifics.</p></li></ul><h2><strong>How can cross-correlation among samples be exploited rather than simply lamented as a violation of i.i.d.?</strong></h2><p>While correlation among samples violates i.i.d. assumptions, it can also be a source of structure. Graph-based approaches, for example, explicitly model relationships among nodes (samples). In recommendation systems, user-user or item-item similarities are harnessed to improve predictions. In time-series, using memory-based models improves predictive power.</p><p>Pitfalls:</p><ul><li><p>Overfitting to spurious correlations if the model is too flexible and the correlation is ephemeral.</p></li><li><p>Increased complexity in training and model building, requiring specialized frameworks (graph neural networks, Markov models, etc.).</p></li></ul><h2><strong>Could external or exogenous factors break i.i.d. assumptions suddenly (e.g., a natural disaster or policy change)?</strong></h2><p>Yes. If something happens that drastically alters user behavior or data generation, your trained model might see data from a distribution it has never encountered. This goes beyond typical drift&#8212;it's a sudden distribution jump. Common pitfalls:</p><ul><li><p>The model might produce completely unreliable outputs in the aftermath of such an event.</p></li><li><p>Historical data can become almost irrelevant for immediate predictions.</p></li></ul><p>Possible responses:</p><ul><li><p>Rapid retraining using any available post-event data.</p></li><li><p>Incorporating robust or scenario-based modeling that can simulate rare events.</p></li></ul><h2><strong>What are recommended best practices for diagnosing and handling i.i.d. violations in a standard ML workflow?</strong></h2><ul><li><p>Perform thorough exploratory data analysis (EDA) with a focus on time-based or group-based stratifications.</p></li><li><p>Choose appropriate splitting strategies: time-based or group-based cross-validation when relevant.</p></li><li><p>Monitor distribution of features and labels over time to detect drift.</p></li><li><p>Use specialized models or transformations (time-series, hierarchical, domain adaptation, etc.) instead of purely i.i.d.-based techniques.</p></li><li><p>Validate results with domain experts who can confirm whether observed patterns are stable or context-dependent.</p></li></ul><p>Pitfall:</p><ul><li><p>Ignoring warning signs like unusual changes in performance metrics across subpopulations.</p></li><li><p>Relying solely on average performance metrics might mask serious issues in certain slices of the data.</p></li></ul>]]></content:encoded></item><item><title><![CDATA[ML Interview Q Series: Hypothesis Testing for ML Classification: Navigating Type I and Type II Errors.]]></title><description><![CDATA[&#128218; Browse the full ML Interview series here.]]></description><link>https://www.rohan-paul.com/p/ml-interview-q-series-hypothesis-fe0</link><guid isPermaLink="false">https://www.rohan-paul.com/p/ml-interview-q-series-hypothesis-fe0</guid><pubDate>Fri, 13 Jun 2025 09:33:21 GMT</pubDate><enclosure url="https://substackcdn.com/image/fetch/$s_!oO0W!,f_auto,q_auto:good,fl_progressive:steep/https%3A%2F%2Fsubstack-post-media.s3.amazonaws.com%2Fpublic%2Fimages%2Ff883b7d0-9fb8-4445-bfa2-aa2fe9e10641_1024x572.png" length="0" type="image/jpeg"/><content:encoded><![CDATA[<div class="captioned-image-container"><figure><a class="image-link image2 is-viewable-img" target="_blank" href="https://substackcdn.com/image/fetch/$s_!oO0W!,f_auto,q_auto:good,fl_progressive:steep/https%3A%2F%2Fsubstack-post-media.s3.amazonaws.com%2Fpublic%2Fimages%2Ff883b7d0-9fb8-4445-bfa2-aa2fe9e10641_1024x572.png" data-component-name="Image2ToDOM"><div class="image2-inset"><picture><source type="image/webp" srcset="https://substackcdn.com/image/fetch/$s_!oO0W!,w_424,c_limit,f_webp,q_auto:good,fl_progressive:steep/https%3A%2F%2Fsubstack-post-media.s3.amazonaws.com%2Fpublic%2Fimages%2Ff883b7d0-9fb8-4445-bfa2-aa2fe9e10641_1024x572.png 424w, https://substackcdn.com/image/fetch/$s_!oO0W!,w_848,c_limit,f_webp,q_auto:good,fl_progressive:steep/https%3A%2F%2Fsubstack-post-media.s3.amazonaws.com%2Fpublic%2Fimages%2Ff883b7d0-9fb8-4445-bfa2-aa2fe9e10641_1024x572.png 848w, https://substackcdn.com/image/fetch/$s_!oO0W!,w_1272,c_limit,f_webp,q_auto:good,fl_progressive:steep/https%3A%2F%2Fsubstack-post-media.s3.amazonaws.com%2Fpublic%2Fimages%2Ff883b7d0-9fb8-4445-bfa2-aa2fe9e10641_1024x572.png 1272w, https://substackcdn.com/image/fetch/$s_!oO0W!,w_1456,c_limit,f_webp,q_auto:good,fl_progressive:steep/https%3A%2F%2Fsubstack-post-media.s3.amazonaws.com%2Fpublic%2Fimages%2Ff883b7d0-9fb8-4445-bfa2-aa2fe9e10641_1024x572.png 1456w" sizes="100vw"><img src="https://substackcdn.com/image/fetch/$s_!oO0W!,w_1456,c_limit,f_auto,q_auto:good,fl_progressive:steep/https%3A%2F%2Fsubstack-post-media.s3.amazonaws.com%2Fpublic%2Fimages%2Ff883b7d0-9fb8-4445-bfa2-aa2fe9e10641_1024x572.png" width="1024" height="572" data-attrs="{&quot;src&quot;:&quot;https://substack-post-media.s3.amazonaws.com/public/images/f883b7d0-9fb8-4445-bfa2-aa2fe9e10641_1024x572.png&quot;,&quot;srcNoWatermark&quot;:null,&quot;fullscreen&quot;:null,&quot;imageSize&quot;:null,&quot;height&quot;:572,&quot;width&quot;:1024,&quot;resizeWidth&quot;:null,&quot;bytes&quot;:955602,&quot;alt&quot;:null,&quot;title&quot;:null,&quot;type&quot;:&quot;image/png&quot;,&quot;href&quot;:null,&quot;belowTheFold&quot;:false,&quot;topImage&quot;:true,&quot;internalRedirect&quot;:&quot;https://www.rohan-paul.com/i/165852818?img=https%3A%2F%2Fsubstack-post-media.s3.amazonaws.com%2Fpublic%2Fimages%2Ff883b7d0-9fb8-4445-bfa2-aa2fe9e10641_1024x572.png&quot;,&quot;isProcessing&quot;:false,&quot;align&quot;:null,&quot;offset&quot;:false}" class="sizing-normal" alt="" srcset="https://substackcdn.com/image/fetch/$s_!oO0W!,w_424,c_limit,f_auto,q_auto:good,fl_progressive:steep/https%3A%2F%2Fsubstack-post-media.s3.amazonaws.com%2Fpublic%2Fimages%2Ff883b7d0-9fb8-4445-bfa2-aa2fe9e10641_1024x572.png 424w, https://substackcdn.com/image/fetch/$s_!oO0W!,w_848,c_limit,f_auto,q_auto:good,fl_progressive:steep/https%3A%2F%2Fsubstack-post-media.s3.amazonaws.com%2Fpublic%2Fimages%2Ff883b7d0-9fb8-4445-bfa2-aa2fe9e10641_1024x572.png 848w, https://substackcdn.com/image/fetch/$s_!oO0W!,w_1272,c_limit,f_auto,q_auto:good,fl_progressive:steep/https%3A%2F%2Fsubstack-post-media.s3.amazonaws.com%2Fpublic%2Fimages%2Ff883b7d0-9fb8-4445-bfa2-aa2fe9e10641_1024x572.png 1272w, https://substackcdn.com/image/fetch/$s_!oO0W!,w_1456,c_limit,f_auto,q_auto:good,fl_progressive:steep/https%3A%2F%2Fsubstack-post-media.s3.amazonaws.com%2Fpublic%2Fimages%2Ff883b7d0-9fb8-4445-bfa2-aa2fe9e10641_1024x572.png 1456w" sizes="100vw" fetchpriority="high"></picture><div class="image-link-expand"><div class="pencraft pc-display-flex pc-gap-8 pc-reset"><button tabindex="0" type="button" class="pencraft pc-reset pencraft icon-container restack-image"><svg role="img" width="20" height="20" viewBox="0 0 20 20" fill="none" stroke-width="1.5" stroke="var(--color-fg-primary)" stroke-linecap="round" stroke-linejoin="round" xmlns="http://www.w3.org/2000/svg"><g><title></title><path d="M2.53001 7.81595C3.49179 4.73911 6.43281 2.5 9.91173 2.5C13.1684 2.5 15.9537 4.46214 17.0852 7.23684L17.6179 8.67647M17.6179 8.67647L18.5002 4.26471M17.6179 8.67647L13.6473 6.91176M17.4995 12.1841C16.5378 15.2609 13.5967 17.5 10.1178 17.5C6.86118 17.5 4.07589 15.5379 2.94432 12.7632L2.41165 11.3235M2.41165 11.3235L1.5293 15.7353M2.41165 11.3235L6.38224 13.0882"></path></g></svg></button><button tabindex="0" type="button" class="pencraft pc-reset pencraft icon-container view-image"><svg xmlns="http://www.w3.org/2000/svg" width="20" height="20" viewBox="0 0 24 24" fill="none" stroke="currentColor" stroke-width="2" stroke-linecap="round" stroke-linejoin="round" class="lucide lucide-maximize2 lucide-maximize-2"><polyline points="15 3 21 3 21 9"></polyline><polyline points="9 21 3 21 3 15"></polyline><line x1="21" x2="14" y1="3" y2="10"></line><line x1="3" x2="10" y1="21" y2="14"></line></svg></button></div></div></div></a></figure></div><p>&#128218; Browse <strong><a href="https://rohanpaul.substack.com/s/ml-interview-series/archive?sort=new">the full ML Interview series here</a></strong>.</p><h2><strong>Type I vs Type II Errors: Define Type I and Type II errors in hypothesis testing. Relate them to false positives and false negatives, and give an example of why understanding these errors is important in an ML context (for example, in detecting fraud or diagnosing illness).</strong></h2><p class="button-wrapper" data-attrs="{&quot;url&quot;:&quot;https://x.com/rohanpaul_ai&quot;,&quot;text&quot;:&quot;Connect with me on X (Twitter)&quot;,&quot;action&quot;:null,&quot;class&quot;:&quot;button-wrapper&quot;}" data-component-name="ButtonCreateButton"><a class="button primary button-wrapper" href="https://x.com/rohanpaul_ai"><span>Connect with me on X (Twitter)</span></a></p><p>Understanding Hypothesis Testing in Depth</p><p>Hypothesis testing is a fundamental procedure in statistics used to make inferences about a population based on a sample. The typical setup is that we have two hypotheses:</p><p>Null Hypothesis (often denoted as H0): This is usually the hypothesis of &#8220;no difference,&#8221; &#8220;no effect,&#8221; or &#8220;no change.&#8221; An example might be: &#8220;A patient does not have a certain illness,&#8221; or &#8220;This transaction is not fraudulent.&#8221;</p><p>Alternative Hypothesis (often denoted as H1 or Ha): This is the hypothesis that some effect, difference, or change exists. For instance: &#8220;A patient does have a certain illness,&#8221; or &#8220;This transaction is fraudulent.&#8221;</p><p>Once the data is collected, a test statistic is computed from the sample, and we use this test statistic to decide whether there is enough evidence to reject H0. In this process, two types of critical errors can occur, commonly referred to as Type I and Type II errors.</p><p>Type I Errors</p><p>Type I error occurs when H0 is actually true, but we mistakenly reject it. In a medical testing context, this corresponds to diagnosing someone as having a disease (rejecting the null of &#8220;healthy&#8221;) when that person is actually healthy. In other words, we saw evidence in the data that led us to incorrectly conclude something was there when it was not.</p><div class="captioned-image-container"><figure><a class="image-link image2" target="_blank" href="https://substackcdn.com/image/fetch/$s_!nexd!,f_auto,q_auto:good,fl_progressive:steep/https%3A%2F%2Fsubstack-post-media.s3.amazonaws.com%2Fpublic%2Fimages%2F9defa885-952a-4504-9bca-c7f847ca57ae_913x218.png" data-component-name="Image2ToDOM"><div class="image2-inset"><picture><source type="image/webp" srcset="https://substackcdn.com/image/fetch/$s_!nexd!,w_424,c_limit,f_webp,q_auto:good,fl_progressive:steep/https%3A%2F%2Fsubstack-post-media.s3.amazonaws.com%2Fpublic%2Fimages%2F9defa885-952a-4504-9bca-c7f847ca57ae_913x218.png 424w, https://substackcdn.com/image/fetch/$s_!nexd!,w_848,c_limit,f_webp,q_auto:good,fl_progressive:steep/https%3A%2F%2Fsubstack-post-media.s3.amazonaws.com%2Fpublic%2Fimages%2F9defa885-952a-4504-9bca-c7f847ca57ae_913x218.png 848w, https://substackcdn.com/image/fetch/$s_!nexd!,w_1272,c_limit,f_webp,q_auto:good,fl_progressive:steep/https%3A%2F%2Fsubstack-post-media.s3.amazonaws.com%2Fpublic%2Fimages%2F9defa885-952a-4504-9bca-c7f847ca57ae_913x218.png 1272w, https://substackcdn.com/image/fetch/$s_!nexd!,w_1456,c_limit,f_webp,q_auto:good,fl_progressive:steep/https%3A%2F%2Fsubstack-post-media.s3.amazonaws.com%2Fpublic%2Fimages%2F9defa885-952a-4504-9bca-c7f847ca57ae_913x218.png 1456w" sizes="100vw"><img src="https://substackcdn.com/image/fetch/$s_!nexd!,w_1456,c_limit,f_auto,q_auto:good,fl_progressive:steep/https%3A%2F%2Fsubstack-post-media.s3.amazonaws.com%2Fpublic%2Fimages%2F9defa885-952a-4504-9bca-c7f847ca57ae_913x218.png" width="913" height="218" data-attrs="{&quot;src&quot;:&quot;https://substack-post-media.s3.amazonaws.com/public/images/9defa885-952a-4504-9bca-c7f847ca57ae_913x218.png&quot;,&quot;srcNoWatermark&quot;:null,&quot;fullscreen&quot;:null,&quot;imageSize&quot;:null,&quot;height&quot;:218,&quot;width&quot;:913,&quot;resizeWidth&quot;:null,&quot;bytes&quot;:47764,&quot;alt&quot;:null,&quot;title&quot;:null,&quot;type&quot;:&quot;image/png&quot;,&quot;href&quot;:null,&quot;belowTheFold&quot;:true,&quot;topImage&quot;:false,&quot;internalRedirect&quot;:&quot;https://www.rohan-paul.com/i/165852818?img=https%3A%2F%2Fsubstack-post-media.s3.amazonaws.com%2Fpublic%2Fimages%2F9defa885-952a-4504-9bca-c7f847ca57ae_913x218.png&quot;,&quot;isProcessing&quot;:false,&quot;align&quot;:null,&quot;offset&quot;:false}" class="sizing-normal" alt="" srcset="https://substackcdn.com/image/fetch/$s_!nexd!,w_424,c_limit,f_auto,q_auto:good,fl_progressive:steep/https%3A%2F%2Fsubstack-post-media.s3.amazonaws.com%2Fpublic%2Fimages%2F9defa885-952a-4504-9bca-c7f847ca57ae_913x218.png 424w, https://substackcdn.com/image/fetch/$s_!nexd!,w_848,c_limit,f_auto,q_auto:good,fl_progressive:steep/https%3A%2F%2Fsubstack-post-media.s3.amazonaws.com%2Fpublic%2Fimages%2F9defa885-952a-4504-9bca-c7f847ca57ae_913x218.png 848w, https://substackcdn.com/image/fetch/$s_!nexd!,w_1272,c_limit,f_auto,q_auto:good,fl_progressive:steep/https%3A%2F%2Fsubstack-post-media.s3.amazonaws.com%2Fpublic%2Fimages%2F9defa885-952a-4504-9bca-c7f847ca57ae_913x218.png 1272w, https://substackcdn.com/image/fetch/$s_!nexd!,w_1456,c_limit,f_auto,q_auto:good,fl_progressive:steep/https%3A%2F%2Fsubstack-post-media.s3.amazonaws.com%2Fpublic%2Fimages%2F9defa885-952a-4504-9bca-c7f847ca57ae_913x218.png 1456w" sizes="100vw" loading="lazy"></picture><div></div></div></a></figure></div><p>Relating Type I Errors to the ML notion of false positives: A Type I error in classical hypothesis testing is essentially a &#8220;false positive&#8221; in machine learning. For a fraud detection model, a false positive would be labeling a legitimate transaction as fraudulent.</p><p>Type II Errors</p><p>Type II error occurs when H0 is false, but we fail to reject it. In a medical testing example, this corresponds to diagnosing someone as healthy (accepting the null of &#8220;no disease&#8221;) when they do, in fact, have the disease.</p><p>The probability of making a Type II error is denoted by &#946;. The power of a test, often denoted by 1&#8722;&#946;, measures the probability that the test correctly rejects H0 when H1 is indeed true. In practical machine learning, increasing the power means lowering the chance of missing an actual positive condition (like a real fraudulent transaction or a genuine case of illness).</p><p>Relating Type II Errors to the ML notion of false negatives: In machine learning terms, a Type II error is analogous to a &#8220;false negative.&#8221; For fraud detection, a false negative would be labeling a fraudulent transaction as &#8220;legitimate.&#8221;</p><p>Why It Matters in a Machine Learning Context</p><p>In real-world ML classification tasks such as fraud detection, spam email detection, or medical diagnosis, having insight into Type I and Type II errors is crucial for deciding on acceptable trade-offs:</p><p>If the cost of a Type I error is too high, we want to minimize false positives. For instance, in a medical screening test for a rare disease, you might not want to cause undue alarm or subject patients to expensive, invasive follow-up tests unless you are quite sure they are actually at risk.</p><p>If the cost of a Type II error is too high, we want to minimize false negatives. For example, in diagnosing a serious contagious illness, missing a truly infected patient could have dire consequences for both the patient and the public. Similarly, in a fraud detection system, failing to detect a fraudulent transaction might result in large financial losses.</p><p>Example: Fraud Detection</p><p>Consider a credit card company that wants to detect fraudulent transactions. H0 would be &#8220;The transaction is legitimate,&#8221; and H1 would be &#8220;The transaction is fraudulent.&#8221;</p><p>A Type I error (false positive) would mean flagging a legitimate transaction as fraud. This might annoy customers or cause some friction, but most credit card companies prefer a higher false-positive rate over a high false-negative rate, because they do not want fraudulent transactions to slip by.</p><p>A Type II error (false negative) would mean letting a fraudulent transaction go through without raising any alert. This is costly to the company and can undermine trust. Thus, many institutions lean toward a lower threshold for classifying transactions as fraudulent, accepting more false positives (Type I errors) to reduce false negatives (Type II errors).</p><p>Similar reasoning applies in medical diagnostics, spam detection, or any application where the balance between catching as many positives as possible and maintaining a reasonable false alarm rate has a big practical impact.</p><p>Deeper Discussion on the Trade-off</p><p>Choosing a decision threshold is a practical way to balance Type I vs. Type II errors in machine learning models. For example, suppose you have a model that outputs a continuous score indicating the likelihood of an instance (like a transaction or a patient) being positive (fraudulent or diseased). By adjusting that threshold, you can tilt the system toward catching more positives (reducing Type II errors) at the cost of also generating more false alarms (increasing Type I errors), or the other way around.</p><p>The exact choice of threshold often depends on domain-specific cost considerations. In some fields, a Type I error might be more damaging. In others, a Type II error is more damaging. Often, cost-sensitive learning is used to incorporate the real-world costs of each type of misclassification into the training process.</p><p>Example Code Snippet for Setting Threshold</p><p>Below is a simple Python snippet illustrating how you might adjust a threshold to control Type I and Type II errors in a fraud detection model. Suppose we have a model that outputs probabilities for each transaction. We want to test how Type I and Type II errors change with different thresholds:</p><pre><code><code>import numpy as np

# Hypothetical ground truth labels: 1 = fraudulent, 0 = legitimate
y_true = np.array([0, 0, 1, 1, 0, 1, 0])

# Model predicted probabilities for being fraudulent
y_scores = np.array([0.1, 0.2, 0.7, 0.8, 0.05, 0.9, 0.4])

# Function to compute Type I and Type II errors at a given threshold
def compute_errors(y_true, y_scores, threshold):
    # Predict label based on threshold
    y_pred = (y_scores &gt;= threshold).astype(int)

    # Type I error = false positives
    # Type II error = false negatives

    # False positives (Type I)
    fp = np.sum((y_true == 0) &amp; (y_pred == 1))

    # False negatives (Type II)
    fn = np.sum((y_true == 1) &amp; (y_pred == 0))

    return fp, fn

thresholds = [0.1, 0.3, 0.5, 0.7, 0.9]

for t in thresholds:
    fp, fn = compute_errors(y_true, y_scores, t)
    print(f"Threshold = {t}, Type I Errors (FP) = {fp}, Type II Errors (FN) = {fn}")
</code></code></pre><p>In such code, we systematically vary the threshold. As you increase the threshold, you will observe fewer false positives (Type I errors), but more false negatives (Type II errors). Lower thresholds typically reduce Type II errors but at the expense of more Type I errors.</p><div class="subscription-widget-wrap-editor" data-attrs="{&quot;url&quot;:&quot;https://www.rohan-paul.com/subscribe?&quot;,&quot;text&quot;:&quot;Subscribe&quot;,&quot;language&quot;:&quot;en&quot;}" data-component-name="SubscribeWidgetToDOM"><div class="subscription-widget show-subscribe"><div class="preamble"><p class="cta-caption">I write everyday for my readers on actionable AI. Subscribe and instantly get a 1300+ page Python book.</p></div><form class="subscription-widget-subscribe"><input type="email" class="email-input" name="email" placeholder="Type your email&#8230;" tabindex="-1"><input type="submit" class="button primary" value="Subscribe"><div class="fake-input-wrapper"><div class="fake-input"></div><div class="fake-button"></div></div></form></div></div><p>Potential Follow-up Questions Begin Below.</p><h2><strong>What Is the Role of the Significance Level &#945;</strong><em><strong>&#945;</strong></em><strong> in Controlling Type I Errors?</strong></h2><div class="captioned-image-container"><figure><a class="image-link image2 is-viewable-img" target="_blank" href="https://substackcdn.com/image/fetch/$s_!eLDL!,f_auto,q_auto:good,fl_progressive:steep/https%3A%2F%2Fsubstack-post-media.s3.amazonaws.com%2Fpublic%2Fimages%2Ffb5caf9b-293a-41f3-93e3-591bc3c8673b_969x552.png" data-component-name="Image2ToDOM"><div class="image2-inset"><picture><source type="image/webp" srcset="https://substackcdn.com/image/fetch/$s_!eLDL!,w_424,c_limit,f_webp,q_auto:good,fl_progressive:steep/https%3A%2F%2Fsubstack-post-media.s3.amazonaws.com%2Fpublic%2Fimages%2Ffb5caf9b-293a-41f3-93e3-591bc3c8673b_969x552.png 424w, https://substackcdn.com/image/fetch/$s_!eLDL!,w_848,c_limit,f_webp,q_auto:good,fl_progressive:steep/https%3A%2F%2Fsubstack-post-media.s3.amazonaws.com%2Fpublic%2Fimages%2Ffb5caf9b-293a-41f3-93e3-591bc3c8673b_969x552.png 848w, https://substackcdn.com/image/fetch/$s_!eLDL!,w_1272,c_limit,f_webp,q_auto:good,fl_progressive:steep/https%3A%2F%2Fsubstack-post-media.s3.amazonaws.com%2Fpublic%2Fimages%2Ffb5caf9b-293a-41f3-93e3-591bc3c8673b_969x552.png 1272w, https://substackcdn.com/image/fetch/$s_!eLDL!,w_1456,c_limit,f_webp,q_auto:good,fl_progressive:steep/https%3A%2F%2Fsubstack-post-media.s3.amazonaws.com%2Fpublic%2Fimages%2Ffb5caf9b-293a-41f3-93e3-591bc3c8673b_969x552.png 1456w" sizes="100vw"><img src="https://substackcdn.com/image/fetch/$s_!eLDL!,w_1456,c_limit,f_auto,q_auto:good,fl_progressive:steep/https%3A%2F%2Fsubstack-post-media.s3.amazonaws.com%2Fpublic%2Fimages%2Ffb5caf9b-293a-41f3-93e3-591bc3c8673b_969x552.png" width="969" height="552" data-attrs="{&quot;src&quot;:&quot;https://substack-post-media.s3.amazonaws.com/public/images/fb5caf9b-293a-41f3-93e3-591bc3c8673b_969x552.png&quot;,&quot;srcNoWatermark&quot;:null,&quot;fullscreen&quot;:null,&quot;imageSize&quot;:null,&quot;height&quot;:552,&quot;width&quot;:969,&quot;resizeWidth&quot;:null,&quot;bytes&quot;:130828,&quot;alt&quot;:null,&quot;title&quot;:null,&quot;type&quot;:&quot;image/png&quot;,&quot;href&quot;:null,&quot;belowTheFold&quot;:true,&quot;topImage&quot;:false,&quot;internalRedirect&quot;:&quot;https://www.rohan-paul.com/i/165852818?img=https%3A%2F%2Fsubstack-post-media.s3.amazonaws.com%2Fpublic%2Fimages%2Ffb5caf9b-293a-41f3-93e3-591bc3c8673b_969x552.png&quot;,&quot;isProcessing&quot;:false,&quot;align&quot;:null,&quot;offset&quot;:false}" class="sizing-normal" alt="" srcset="https://substackcdn.com/image/fetch/$s_!eLDL!,w_424,c_limit,f_auto,q_auto:good,fl_progressive:steep/https%3A%2F%2Fsubstack-post-media.s3.amazonaws.com%2Fpublic%2Fimages%2Ffb5caf9b-293a-41f3-93e3-591bc3c8673b_969x552.png 424w, https://substackcdn.com/image/fetch/$s_!eLDL!,w_848,c_limit,f_auto,q_auto:good,fl_progressive:steep/https%3A%2F%2Fsubstack-post-media.s3.amazonaws.com%2Fpublic%2Fimages%2Ffb5caf9b-293a-41f3-93e3-591bc3c8673b_969x552.png 848w, https://substackcdn.com/image/fetch/$s_!eLDL!,w_1272,c_limit,f_auto,q_auto:good,fl_progressive:steep/https%3A%2F%2Fsubstack-post-media.s3.amazonaws.com%2Fpublic%2Fimages%2Ffb5caf9b-293a-41f3-93e3-591bc3c8673b_969x552.png 1272w, https://substackcdn.com/image/fetch/$s_!eLDL!,w_1456,c_limit,f_auto,q_auto:good,fl_progressive:steep/https%3A%2F%2Fsubstack-post-media.s3.amazonaws.com%2Fpublic%2Fimages%2Ffb5caf9b-293a-41f3-93e3-591bc3c8673b_969x552.png 1456w" sizes="100vw" loading="lazy"></picture><div class="image-link-expand"><div class="pencraft pc-display-flex pc-gap-8 pc-reset"><button tabindex="0" type="button" class="pencraft pc-reset pencraft icon-container restack-image"><svg role="img" width="20" height="20" viewBox="0 0 20 20" fill="none" stroke-width="1.5" stroke="var(--color-fg-primary)" stroke-linecap="round" stroke-linejoin="round" xmlns="http://www.w3.org/2000/svg"><g><title></title><path d="M2.53001 7.81595C3.49179 4.73911 6.43281 2.5 9.91173 2.5C13.1684 2.5 15.9537 4.46214 17.0852 7.23684L17.6179 8.67647M17.6179 8.67647L18.5002 4.26471M17.6179 8.67647L13.6473 6.91176M17.4995 12.1841C16.5378 15.2609 13.5967 17.5 10.1178 17.5C6.86118 17.5 4.07589 15.5379 2.94432 12.7632L2.41165 11.3235M2.41165 11.3235L1.5293 15.7353M2.41165 11.3235L6.38224 13.0882"></path></g></svg></button><button tabindex="0" type="button" class="pencraft pc-reset pencraft icon-container view-image"><svg xmlns="http://www.w3.org/2000/svg" width="20" height="20" viewBox="0 0 24 24" fill="none" stroke="currentColor" stroke-width="2" stroke-linecap="round" stroke-linejoin="round" class="lucide lucide-maximize2 lucide-maximize-2"><polyline points="15 3 21 3 21 9"></polyline><polyline points="9 21 3 21 3 15"></polyline><line x1="21" x2="14" y1="3" y2="10"></line><line x1="3" x2="10" y1="21" y2="14"></line></svg></button></div></div></div></a></figure></div><h2><strong>How Do Type I and Type II Errors Relate to Precision, Recall, and the ROC Curve?</strong></h2><p>Precision is the fraction of predicted positives that are truly positive. Recall (or sensitivity) is the fraction of true positives that are correctly identified as such.</p><p>Increasing recall tends to reduce Type II errors because you are catching more real positives. However, it may increase Type I errors in many cases, especially when the test or model tries to catch every possible positive. That can lead to more false alarms (false positives).</p><p>An ROC curve plots the true positive rate (TPR) against the false positive rate (FPR) at different classification thresholds. TPR is 1 minus the false negative rate, while FPR equals the false positive rate. By examining the ROC curve or the Precision-Recall curve, practitioners can choose an operating point that balances these errors based on the practical costs of false positives and false negatives.</p><h2><strong>Is There a Direct Way to Quantify and Trade Off Type I and Type II Errors in Machine Learning?</strong></h2><p>Yes. In many domains, you can design a cost function that incorporates the relative harm or cost of false positives and false negatives.</p><p>You can then optimize the model and its threshold to minimize the overall cost. For example, if a false negative is 10 times more costly than a false positive, you might shift the threshold downward to reduce Type II errors. Doing so will likely raise Type I errors, but overall cost might still be minimized if false negatives are truly more expensive.</p><p>Additionally, you can use metrics like the F-beta score. F-beta is a metric that weighs recall more than precision (or vice versa) depending on the chosen beta parameter. For instance, the F2 score weighs recall more heavily, thus penalizing Type II errors more strongly than Type I errors.</p><h2><strong>In Which Situations Would We Accept a Higher Rate of Type I Errors?</strong></h2><p>If the cost or risk of failing to detect actual positives is extremely high, we may allow for more Type I errors. For instance:</p><p>Cancer screening: Missing a patient who truly has cancer (Type II error) can be life-threatening. It is often viewed as acceptable to have more false alarms (Type I errors) because a follow-up diagnostic test can clarify whether the patient actually has cancer.</p><p>Critical system monitoring: Some high-stakes monitoring systems (like in aviation or nuclear facilities) would rather raise unnecessary alerts than fail to alert a truly hazardous condition.</p><p>Fraud detection: Many banks and financial institutions prefer to err on the side of flagging suspicious transactions (Type I errors) rather than letting fraudulent ones pass.</p><h2><strong>Could Class Imbalance Affect Type I and Type II Errors?</strong></h2><p>Yes. In problems like fraud detection or rare disease diagnosis, the percentage of actual positives (fraudulent transactions or diseased patients) is very low. A highly imbalanced dataset often means that a model can achieve high accuracy while barely catching any positives at all.</p><p>In such imbalanced settings, the risk of Type II errors (false negatives) can be substantially high if the model is not carefully calibrated. The model might frequently predict the majority class because that alone could yield good &#8220;overall accuracy,&#8221; even though it fails to detect the minority class. Techniques such as oversampling, undersampling, using class weights, and carefully tuning the threshold based on F1 or other specialized metrics can help mitigate imbalance-driven bias and keep track of both Type I and Type II errors in a fair manner.</p><h2><strong>How Do We Formally Represent Type I and Type II Errors?</strong></h2><p>In standard statistical notation, we define:</p><div class="captioned-image-container"><figure><a class="image-link image2" target="_blank" href="https://substackcdn.com/image/fetch/$s_!M1_x!,f_auto,q_auto:good,fl_progressive:steep/https%3A%2F%2Fsubstack-post-media.s3.amazonaws.com%2Fpublic%2Fimages%2F4b8b6649-05e6-43e3-af44-cefc8e6cb617_1070x230.png" data-component-name="Image2ToDOM"><div class="image2-inset"><picture><source type="image/webp" srcset="https://substackcdn.com/image/fetch/$s_!M1_x!,w_424,c_limit,f_webp,q_auto:good,fl_progressive:steep/https%3A%2F%2Fsubstack-post-media.s3.amazonaws.com%2Fpublic%2Fimages%2F4b8b6649-05e6-43e3-af44-cefc8e6cb617_1070x230.png 424w, https://substackcdn.com/image/fetch/$s_!M1_x!,w_848,c_limit,f_webp,q_auto:good,fl_progressive:steep/https%3A%2F%2Fsubstack-post-media.s3.amazonaws.com%2Fpublic%2Fimages%2F4b8b6649-05e6-43e3-af44-cefc8e6cb617_1070x230.png 848w, https://substackcdn.com/image/fetch/$s_!M1_x!,w_1272,c_limit,f_webp,q_auto:good,fl_progressive:steep/https%3A%2F%2Fsubstack-post-media.s3.amazonaws.com%2Fpublic%2Fimages%2F4b8b6649-05e6-43e3-af44-cefc8e6cb617_1070x230.png 1272w, https://substackcdn.com/image/fetch/$s_!M1_x!,w_1456,c_limit,f_webp,q_auto:good,fl_progressive:steep/https%3A%2F%2Fsubstack-post-media.s3.amazonaws.com%2Fpublic%2Fimages%2F4b8b6649-05e6-43e3-af44-cefc8e6cb617_1070x230.png 1456w" sizes="100vw"><img src="https://substackcdn.com/image/fetch/$s_!M1_x!,w_1456,c_limit,f_auto,q_auto:good,fl_progressive:steep/https%3A%2F%2Fsubstack-post-media.s3.amazonaws.com%2Fpublic%2Fimages%2F4b8b6649-05e6-43e3-af44-cefc8e6cb617_1070x230.png" width="1070" height="230" data-attrs="{&quot;src&quot;:&quot;https://substack-post-media.s3.amazonaws.com/public/images/4b8b6649-05e6-43e3-af44-cefc8e6cb617_1070x230.png&quot;,&quot;srcNoWatermark&quot;:null,&quot;fullscreen&quot;:null,&quot;imageSize&quot;:null,&quot;height&quot;:230,&quot;width&quot;:1070,&quot;resizeWidth&quot;:null,&quot;bytes&quot;:37170,&quot;alt&quot;:null,&quot;title&quot;:null,&quot;type&quot;:&quot;image/png&quot;,&quot;href&quot;:null,&quot;belowTheFold&quot;:true,&quot;topImage&quot;:false,&quot;internalRedirect&quot;:&quot;https://www.rohan-paul.com/i/165852818?img=https%3A%2F%2Fsubstack-post-media.s3.amazonaws.com%2Fpublic%2Fimages%2F4b8b6649-05e6-43e3-af44-cefc8e6cb617_1070x230.png&quot;,&quot;isProcessing&quot;:false,&quot;align&quot;:null,&quot;offset&quot;:false}" class="sizing-normal" alt="" srcset="https://substackcdn.com/image/fetch/$s_!M1_x!,w_424,c_limit,f_auto,q_auto:good,fl_progressive:steep/https%3A%2F%2Fsubstack-post-media.s3.amazonaws.com%2Fpublic%2Fimages%2F4b8b6649-05e6-43e3-af44-cefc8e6cb617_1070x230.png 424w, https://substackcdn.com/image/fetch/$s_!M1_x!,w_848,c_limit,f_auto,q_auto:good,fl_progressive:steep/https%3A%2F%2Fsubstack-post-media.s3.amazonaws.com%2Fpublic%2Fimages%2F4b8b6649-05e6-43e3-af44-cefc8e6cb617_1070x230.png 848w, https://substackcdn.com/image/fetch/$s_!M1_x!,w_1272,c_limit,f_auto,q_auto:good,fl_progressive:steep/https%3A%2F%2Fsubstack-post-media.s3.amazonaws.com%2Fpublic%2Fimages%2F4b8b6649-05e6-43e3-af44-cefc8e6cb617_1070x230.png 1272w, https://substackcdn.com/image/fetch/$s_!M1_x!,w_1456,c_limit,f_auto,q_auto:good,fl_progressive:steep/https%3A%2F%2Fsubstack-post-media.s3.amazonaws.com%2Fpublic%2Fimages%2F4b8b6649-05e6-43e3-af44-cefc8e6cb617_1070x230.png 1456w" sizes="100vw" loading="lazy"></picture><div></div></div></a></figure></div><div class="captioned-image-container"><figure><a class="image-link image2 is-viewable-img" target="_blank" href="https://substackcdn.com/image/fetch/$s_!9QYR!,f_auto,q_auto:good,fl_progressive:steep/https%3A%2F%2Fsubstack-post-media.s3.amazonaws.com%2Fpublic%2Fimages%2Fe15a31b4-37ca-4be2-9bb5-36102ce904ba_957x391.png" data-component-name="Image2ToDOM"><div class="image2-inset"><picture><source type="image/webp" srcset="https://substackcdn.com/image/fetch/$s_!9QYR!,w_424,c_limit,f_webp,q_auto:good,fl_progressive:steep/https%3A%2F%2Fsubstack-post-media.s3.amazonaws.com%2Fpublic%2Fimages%2Fe15a31b4-37ca-4be2-9bb5-36102ce904ba_957x391.png 424w, https://substackcdn.com/image/fetch/$s_!9QYR!,w_848,c_limit,f_webp,q_auto:good,fl_progressive:steep/https%3A%2F%2Fsubstack-post-media.s3.amazonaws.com%2Fpublic%2Fimages%2Fe15a31b4-37ca-4be2-9bb5-36102ce904ba_957x391.png 848w, https://substackcdn.com/image/fetch/$s_!9QYR!,w_1272,c_limit,f_webp,q_auto:good,fl_progressive:steep/https%3A%2F%2Fsubstack-post-media.s3.amazonaws.com%2Fpublic%2Fimages%2Fe15a31b4-37ca-4be2-9bb5-36102ce904ba_957x391.png 1272w, https://substackcdn.com/image/fetch/$s_!9QYR!,w_1456,c_limit,f_webp,q_auto:good,fl_progressive:steep/https%3A%2F%2Fsubstack-post-media.s3.amazonaws.com%2Fpublic%2Fimages%2Fe15a31b4-37ca-4be2-9bb5-36102ce904ba_957x391.png 1456w" sizes="100vw"><img src="https://substackcdn.com/image/fetch/$s_!9QYR!,w_1456,c_limit,f_auto,q_auto:good,fl_progressive:steep/https%3A%2F%2Fsubstack-post-media.s3.amazonaws.com%2Fpublic%2Fimages%2Fe15a31b4-37ca-4be2-9bb5-36102ce904ba_957x391.png" width="957" height="391" data-attrs="{&quot;src&quot;:&quot;https://substack-post-media.s3.amazonaws.com/public/images/e15a31b4-37ca-4be2-9bb5-36102ce904ba_957x391.png&quot;,&quot;srcNoWatermark&quot;:null,&quot;fullscreen&quot;:null,&quot;imageSize&quot;:null,&quot;height&quot;:391,&quot;width&quot;:957,&quot;resizeWidth&quot;:null,&quot;bytes&quot;:70310,&quot;alt&quot;:null,&quot;title&quot;:null,&quot;type&quot;:&quot;image/png&quot;,&quot;href&quot;:null,&quot;belowTheFold&quot;:true,&quot;topImage&quot;:false,&quot;internalRedirect&quot;:&quot;https://www.rohan-paul.com/i/165852818?img=https%3A%2F%2Fsubstack-post-media.s3.amazonaws.com%2Fpublic%2Fimages%2Fe15a31b4-37ca-4be2-9bb5-36102ce904ba_957x391.png&quot;,&quot;isProcessing&quot;:false,&quot;align&quot;:null,&quot;offset&quot;:false}" class="sizing-normal" alt="" srcset="https://substackcdn.com/image/fetch/$s_!9QYR!,w_424,c_limit,f_auto,q_auto:good,fl_progressive:steep/https%3A%2F%2Fsubstack-post-media.s3.amazonaws.com%2Fpublic%2Fimages%2Fe15a31b4-37ca-4be2-9bb5-36102ce904ba_957x391.png 424w, https://substackcdn.com/image/fetch/$s_!9QYR!,w_848,c_limit,f_auto,q_auto:good,fl_progressive:steep/https%3A%2F%2Fsubstack-post-media.s3.amazonaws.com%2Fpublic%2Fimages%2Fe15a31b4-37ca-4be2-9bb5-36102ce904ba_957x391.png 848w, https://substackcdn.com/image/fetch/$s_!9QYR!,w_1272,c_limit,f_auto,q_auto:good,fl_progressive:steep/https%3A%2F%2Fsubstack-post-media.s3.amazonaws.com%2Fpublic%2Fimages%2Fe15a31b4-37ca-4be2-9bb5-36102ce904ba_957x391.png 1272w, https://substackcdn.com/image/fetch/$s_!9QYR!,w_1456,c_limit,f_auto,q_auto:good,fl_progressive:steep/https%3A%2F%2Fsubstack-post-media.s3.amazonaws.com%2Fpublic%2Fimages%2Fe15a31b4-37ca-4be2-9bb5-36102ce904ba_957x391.png 1456w" sizes="100vw" loading="lazy"></picture><div class="image-link-expand"><div class="pencraft pc-display-flex pc-gap-8 pc-reset"><button tabindex="0" type="button" class="pencraft pc-reset pencraft icon-container restack-image"><svg role="img" width="20" height="20" viewBox="0 0 20 20" fill="none" stroke-width="1.5" stroke="var(--color-fg-primary)" stroke-linecap="round" stroke-linejoin="round" xmlns="http://www.w3.org/2000/svg"><g><title></title><path d="M2.53001 7.81595C3.49179 4.73911 6.43281 2.5 9.91173 2.5C13.1684 2.5 15.9537 4.46214 17.0852 7.23684L17.6179 8.67647M17.6179 8.67647L18.5002 4.26471M17.6179 8.67647L13.6473 6.91176M17.4995 12.1841C16.5378 15.2609 13.5967 17.5 10.1178 17.5C6.86118 17.5 4.07589 15.5379 2.94432 12.7632L2.41165 11.3235M2.41165 11.3235L1.5293 15.7353M2.41165 11.3235L6.38224 13.0882"></path></g></svg></button><button tabindex="0" type="button" class="pencraft pc-reset pencraft icon-container view-image"><svg xmlns="http://www.w3.org/2000/svg" width="20" height="20" viewBox="0 0 24 24" fill="none" stroke="currentColor" stroke-width="2" stroke-linecap="round" stroke-linejoin="round" class="lucide lucide-maximize2 lucide-maximize-2"><polyline points="15 3 21 3 21 9"></polyline><polyline points="9 21 3 21 3 15"></polyline><line x1="21" x2="14" y1="3" y2="10"></line><line x1="3" x2="10" y1="21" y2="14"></line></svg></button></div></div></div></a></figure></div><h2><strong>What Are Some Common Techniques for Handling These Errors in Machine Learning?</strong></h2><p>Threshold tuning on model output probabilities is the primary lever. But more sophisticated techniques exist:</p><p>Calibrated Probability Estimates: Methods like Platt scaling or isotonic regression can help ensure your model&#8217;s predicted probabilities align with actual likelihoods, which makes threshold selection more meaningful.</p><p>Cost-Sensitive Learning: Incorporate custom loss functions or weighting schemes so that the model inherently pays more attention to the errors that are most costly in real life.</p><p>Resampling Techniques: For highly imbalanced data (leading to excessive Type II errors on the minority class), synthetic sampling (e.g., SMOTE) or undersampling can help reduce the model&#8217;s bias toward the majority class.</p><p>Ensemble Methods: By combining multiple models, you can often reduce variance and potentially reduce both Type I and Type II errors simultaneously, depending on how the ensemble is constructed and tuned.</p><h2><strong>Additional Considerations and Edge Cases</strong></h2><p>Real-world data often introduces additional complexity that can make error analysis and threshold setting more challenging. A few subtle scenarios include:</p><p>Shifting Data Distribution Over Time: In fraud detection, the types of fraud evolve quickly. The optimal threshold for balancing Type I vs. Type II errors might change over time, necessitating frequent re-training and recalibration of the model.</p><p>Different Regions of Feature Space Having Different Costs: Some groups of transactions might be more or less risky, and having a single threshold across all transactions might be sub-optimal. Segmenting the input space and applying different decision rules can sometimes reduce both types of errors in each segment.</p><p>Limited Labels or Data Quality Issues: In some cases, the ground truth for real positives might be incomplete or noisy. This can skew our understanding of Type I and Type II errors if we are not careful with data validation.</p><p>Below are some more potential follow-up questions with in-depth responses that might come up in a FANG-level interview setting.</p><h2><strong>How Do We Balance Type I and Type II Errors for a Final Model Deployed in Production?</strong></h2><p>Many production ML systems use a combination of business logic, domain expertise, and offline/online evaluation metrics:</p><p>Offline Analysis: You take historical labeled data, assess how changing a threshold impacts false positives and false negatives, and compute domain-relevant metrics like net cost, lost revenue, or patient well-being.</p><p>Domain Expert Review: In medical contexts, for instance, you might consult doctors or regulators to see how severe the risk is for each kind of error. In financial contexts, risk analysts or compliance officers may set guidelines.</p><p>A/B Testing or Phased Rollouts: Instead of immediately deploying a new threshold or model for the entire customer base, you might do a controlled rollout and monitor the real-world distribution of false positives and false negatives.</p><p>These strategies guide the final decision on the threshold or other design elements to ensure you achieve an optimal real-world trade-off.</p><div class="captioned-image-container"><figure><a class="image-link image2 is-viewable-img" target="_blank" href="https://substackcdn.com/image/fetch/$s_!N9lY!,f_auto,q_auto:good,fl_progressive:steep/https%3A%2F%2Fsubstack-post-media.s3.amazonaws.com%2Fpublic%2Fimages%2F91b8ac54-1907-47ee-90ce-32490d74c23f_957x545.png" data-component-name="Image2ToDOM"><div class="image2-inset"><picture><source type="image/webp" srcset="https://substackcdn.com/image/fetch/$s_!N9lY!,w_424,c_limit,f_webp,q_auto:good,fl_progressive:steep/https%3A%2F%2Fsubstack-post-media.s3.amazonaws.com%2Fpublic%2Fimages%2F91b8ac54-1907-47ee-90ce-32490d74c23f_957x545.png 424w, https://substackcdn.com/image/fetch/$s_!N9lY!,w_848,c_limit,f_webp,q_auto:good,fl_progressive:steep/https%3A%2F%2Fsubstack-post-media.s3.amazonaws.com%2Fpublic%2Fimages%2F91b8ac54-1907-47ee-90ce-32490d74c23f_957x545.png 848w, https://substackcdn.com/image/fetch/$s_!N9lY!,w_1272,c_limit,f_webp,q_auto:good,fl_progressive:steep/https%3A%2F%2Fsubstack-post-media.s3.amazonaws.com%2Fpublic%2Fimages%2F91b8ac54-1907-47ee-90ce-32490d74c23f_957x545.png 1272w, https://substackcdn.com/image/fetch/$s_!N9lY!,w_1456,c_limit,f_webp,q_auto:good,fl_progressive:steep/https%3A%2F%2Fsubstack-post-media.s3.amazonaws.com%2Fpublic%2Fimages%2F91b8ac54-1907-47ee-90ce-32490d74c23f_957x545.png 1456w" sizes="100vw"><img src="https://substackcdn.com/image/fetch/$s_!N9lY!,w_1456,c_limit,f_auto,q_auto:good,fl_progressive:steep/https%3A%2F%2Fsubstack-post-media.s3.amazonaws.com%2Fpublic%2Fimages%2F91b8ac54-1907-47ee-90ce-32490d74c23f_957x545.png" width="957" height="545" data-attrs="{&quot;src&quot;:&quot;https://substack-post-media.s3.amazonaws.com/public/images/91b8ac54-1907-47ee-90ce-32490d74c23f_957x545.png&quot;,&quot;srcNoWatermark&quot;:null,&quot;fullscreen&quot;:null,&quot;imageSize&quot;:null,&quot;height&quot;:545,&quot;width&quot;:957,&quot;resizeWidth&quot;:null,&quot;bytes&quot;:101805,&quot;alt&quot;:null,&quot;title&quot;:null,&quot;type&quot;:&quot;image/png&quot;,&quot;href&quot;:null,&quot;belowTheFold&quot;:true,&quot;topImage&quot;:false,&quot;internalRedirect&quot;:&quot;https://www.rohan-paul.com/i/165852818?img=https%3A%2F%2Fsubstack-post-media.s3.amazonaws.com%2Fpublic%2Fimages%2F91b8ac54-1907-47ee-90ce-32490d74c23f_957x545.png&quot;,&quot;isProcessing&quot;:false,&quot;align&quot;:null,&quot;offset&quot;:false}" class="sizing-normal" alt="" srcset="https://substackcdn.com/image/fetch/$s_!N9lY!,w_424,c_limit,f_auto,q_auto:good,fl_progressive:steep/https%3A%2F%2Fsubstack-post-media.s3.amazonaws.com%2Fpublic%2Fimages%2F91b8ac54-1907-47ee-90ce-32490d74c23f_957x545.png 424w, https://substackcdn.com/image/fetch/$s_!N9lY!,w_848,c_limit,f_auto,q_auto:good,fl_progressive:steep/https%3A%2F%2Fsubstack-post-media.s3.amazonaws.com%2Fpublic%2Fimages%2F91b8ac54-1907-47ee-90ce-32490d74c23f_957x545.png 848w, https://substackcdn.com/image/fetch/$s_!N9lY!,w_1272,c_limit,f_auto,q_auto:good,fl_progressive:steep/https%3A%2F%2Fsubstack-post-media.s3.amazonaws.com%2Fpublic%2Fimages%2F91b8ac54-1907-47ee-90ce-32490d74c23f_957x545.png 1272w, https://substackcdn.com/image/fetch/$s_!N9lY!,w_1456,c_limit,f_auto,q_auto:good,fl_progressive:steep/https%3A%2F%2Fsubstack-post-media.s3.amazonaws.com%2Fpublic%2Fimages%2F91b8ac54-1907-47ee-90ce-32490d74c23f_957x545.png 1456w" sizes="100vw" loading="lazy"></picture><div class="image-link-expand"><div class="pencraft pc-display-flex pc-gap-8 pc-reset"><button tabindex="0" type="button" class="pencraft pc-reset pencraft icon-container restack-image"><svg role="img" width="20" height="20" viewBox="0 0 20 20" fill="none" stroke-width="1.5" stroke="var(--color-fg-primary)" stroke-linecap="round" stroke-linejoin="round" xmlns="http://www.w3.org/2000/svg"><g><title></title><path d="M2.53001 7.81595C3.49179 4.73911 6.43281 2.5 9.91173 2.5C13.1684 2.5 15.9537 4.46214 17.0852 7.23684L17.6179 8.67647M17.6179 8.67647L18.5002 4.26471M17.6179 8.67647L13.6473 6.91176M17.4995 12.1841C16.5378 15.2609 13.5967 17.5 10.1178 17.5C6.86118 17.5 4.07589 15.5379 2.94432 12.7632L2.41165 11.3235M2.41165 11.3235L1.5293 15.7353M2.41165 11.3235L6.38224 13.0882"></path></g></svg></button><button tabindex="0" type="button" class="pencraft pc-reset pencraft icon-container view-image"><svg xmlns="http://www.w3.org/2000/svg" width="20" height="20" viewBox="0 0 24 24" fill="none" stroke="currentColor" stroke-width="2" stroke-linecap="round" stroke-linejoin="round" class="lucide lucide-maximize2 lucide-maximize-2"><polyline points="15 3 21 3 21 9"></polyline><polyline points="9 21 3 21 3 15"></polyline><line x1="21" x2="14" y1="3" y2="10"></line><line x1="3" x2="10" y1="21" y2="14"></line></svg></button></div></div></div></a></figure></div><h2><strong>Could We Directly Optimize Type I and Type II Errors Using a Custom Loss Function in a Neural Network?</strong></h2><p>Yes, one approach is to define a loss function that includes terms for false positives and false negatives. In practice, many standard loss functions (such as cross-entropy) are not designed explicitly to control Type I or Type II errors but are indirectly related to them. However, in highly specialized applications, custom losses can be used.</p><p>For instance, you could create a function:</p><div class="captioned-image-container"><figure><a class="image-link image2 is-viewable-img" target="_blank" href="https://substackcdn.com/image/fetch/$s_!Bd9h!,f_auto,q_auto:good,fl_progressive:steep/https%3A%2F%2Fsubstack-post-media.s3.amazonaws.com%2Fpublic%2Fimages%2F6d2421fb-82f8-4b5b-bb9d-f82dd15976bb_976x430.png" data-component-name="Image2ToDOM"><div class="image2-inset"><picture><source type="image/webp" srcset="https://substackcdn.com/image/fetch/$s_!Bd9h!,w_424,c_limit,f_webp,q_auto:good,fl_progressive:steep/https%3A%2F%2Fsubstack-post-media.s3.amazonaws.com%2Fpublic%2Fimages%2F6d2421fb-82f8-4b5b-bb9d-f82dd15976bb_976x430.png 424w, https://substackcdn.com/image/fetch/$s_!Bd9h!,w_848,c_limit,f_webp,q_auto:good,fl_progressive:steep/https%3A%2F%2Fsubstack-post-media.s3.amazonaws.com%2Fpublic%2Fimages%2F6d2421fb-82f8-4b5b-bb9d-f82dd15976bb_976x430.png 848w, https://substackcdn.com/image/fetch/$s_!Bd9h!,w_1272,c_limit,f_webp,q_auto:good,fl_progressive:steep/https%3A%2F%2Fsubstack-post-media.s3.amazonaws.com%2Fpublic%2Fimages%2F6d2421fb-82f8-4b5b-bb9d-f82dd15976bb_976x430.png 1272w, https://substackcdn.com/image/fetch/$s_!Bd9h!,w_1456,c_limit,f_webp,q_auto:good,fl_progressive:steep/https%3A%2F%2Fsubstack-post-media.s3.amazonaws.com%2Fpublic%2Fimages%2F6d2421fb-82f8-4b5b-bb9d-f82dd15976bb_976x430.png 1456w" sizes="100vw"><img src="https://substackcdn.com/image/fetch/$s_!Bd9h!,w_1456,c_limit,f_auto,q_auto:good,fl_progressive:steep/https%3A%2F%2Fsubstack-post-media.s3.amazonaws.com%2Fpublic%2Fimages%2F6d2421fb-82f8-4b5b-bb9d-f82dd15976bb_976x430.png" width="976" height="430" data-attrs="{&quot;src&quot;:&quot;https://substack-post-media.s3.amazonaws.com/public/images/6d2421fb-82f8-4b5b-bb9d-f82dd15976bb_976x430.png&quot;,&quot;srcNoWatermark&quot;:null,&quot;fullscreen&quot;:null,&quot;imageSize&quot;:null,&quot;height&quot;:430,&quot;width&quot;:976,&quot;resizeWidth&quot;:null,&quot;bytes&quot;:75269,&quot;alt&quot;:null,&quot;title&quot;:null,&quot;type&quot;:&quot;image/png&quot;,&quot;href&quot;:null,&quot;belowTheFold&quot;:true,&quot;topImage&quot;:false,&quot;internalRedirect&quot;:&quot;https://www.rohan-paul.com/i/165852818?img=https%3A%2F%2Fsubstack-post-media.s3.amazonaws.com%2Fpublic%2Fimages%2F6d2421fb-82f8-4b5b-bb9d-f82dd15976bb_976x430.png&quot;,&quot;isProcessing&quot;:false,&quot;align&quot;:null,&quot;offset&quot;:false}" class="sizing-normal" alt="" srcset="https://substackcdn.com/image/fetch/$s_!Bd9h!,w_424,c_limit,f_auto,q_auto:good,fl_progressive:steep/https%3A%2F%2Fsubstack-post-media.s3.amazonaws.com%2Fpublic%2Fimages%2F6d2421fb-82f8-4b5b-bb9d-f82dd15976bb_976x430.png 424w, https://substackcdn.com/image/fetch/$s_!Bd9h!,w_848,c_limit,f_auto,q_auto:good,fl_progressive:steep/https%3A%2F%2Fsubstack-post-media.s3.amazonaws.com%2Fpublic%2Fimages%2F6d2421fb-82f8-4b5b-bb9d-f82dd15976bb_976x430.png 848w, https://substackcdn.com/image/fetch/$s_!Bd9h!,w_1272,c_limit,f_auto,q_auto:good,fl_progressive:steep/https%3A%2F%2Fsubstack-post-media.s3.amazonaws.com%2Fpublic%2Fimages%2F6d2421fb-82f8-4b5b-bb9d-f82dd15976bb_976x430.png 1272w, https://substackcdn.com/image/fetch/$s_!Bd9h!,w_1456,c_limit,f_auto,q_auto:good,fl_progressive:steep/https%3A%2F%2Fsubstack-post-media.s3.amazonaws.com%2Fpublic%2Fimages%2F6d2421fb-82f8-4b5b-bb9d-f82dd15976bb_976x430.png 1456w" sizes="100vw" loading="lazy"></picture><div class="image-link-expand"><div class="pencraft pc-display-flex pc-gap-8 pc-reset"><button tabindex="0" type="button" class="pencraft pc-reset pencraft icon-container restack-image"><svg role="img" width="20" height="20" viewBox="0 0 20 20" fill="none" stroke-width="1.5" stroke="var(--color-fg-primary)" stroke-linecap="round" stroke-linejoin="round" xmlns="http://www.w3.org/2000/svg"><g><title></title><path d="M2.53001 7.81595C3.49179 4.73911 6.43281 2.5 9.91173 2.5C13.1684 2.5 15.9537 4.46214 17.0852 7.23684L17.6179 8.67647M17.6179 8.67647L18.5002 4.26471M17.6179 8.67647L13.6473 6.91176M17.4995 12.1841C16.5378 15.2609 13.5967 17.5 10.1178 17.5C6.86118 17.5 4.07589 15.5379 2.94432 12.7632L2.41165 11.3235M2.41165 11.3235L1.5293 15.7353M2.41165 11.3235L6.38224 13.0882"></path></g></svg></button><button tabindex="0" type="button" class="pencraft pc-reset pencraft icon-container view-image"><svg xmlns="http://www.w3.org/2000/svg" width="20" height="20" viewBox="0 0 24 24" fill="none" stroke="currentColor" stroke-width="2" stroke-linecap="round" stroke-linejoin="round" class="lucide lucide-maximize2 lucide-maximize-2"><polyline points="15 3 21 3 21 9"></polyline><polyline points="9 21 3 21 3 15"></polyline><line x1="21" x2="14" y1="3" y2="10"></line><line x1="3" x2="10" y1="21" y2="14"></line></svg></button></div></div></div></a></figure></div><h2><strong>In Practice, Which Error Should We Prioritize Reducing?</strong></h2><p>It depends on domain context and the relative cost of each error:</p><p>In a disease diagnosis scenario, a false negative can be deadly, so Type II errors are often considered more critical.</p><p>In spam email detection, you do not want your important emails to go missing, so Type I errors (accidentally sending legitimate emails to spam) can have a high cost. Balancing them depends on user tolerance.</p><p>In a product recommendations system, the stakes for being wrong might be relatively low, so you might focus on overall user satisfaction metrics rather than strictly controlling Type I or Type II errors.</p><p>In short, domain context is essential. A strong ML practitioner always consults domain experts to quantify costs or at least weigh them qualitatively.</p><h2><strong>Summary of Key Points</strong></h2><p>Type I error (false positive) means rejecting a true null hypothesis, or labeling a negative sample as positive.</p><p>Type II error (false negative) means failing to reject a false null hypothesis, or labeling a positive sample as negative.</p><p>In ML classification tasks, Type I error corresponds to false positives, and Type II error corresponds to false negatives.</p><p>Balancing these errors in real-world scenarios depends heavily on the relative costs and risks associated with each misclassification.</p><p>The ultimate lesson is that understanding Type I and Type II errors is essential for effectively designing and deploying machine learning systems, especially in high-stakes domains where misclassifications have real-world consequences.</p><div><hr></div><h2><strong>Below are additional follow-up questions</strong></h2><h2><strong>How Do You Estimate Type I and Type II Errors When You Have Incomplete Labels or Limited Ground Truth?</strong></h2><p>When data is only partially labeled (e.g., in fraud detection, you might only label certain confirmed fraud cases but not all legitimate transactions, or in medical diagnosis, some patients are not definitively diagnosed), direct measurement of false positives and false negatives becomes difficult. The fundamental challenge is that any transaction without a confirmed fraud label remains ambiguous.</p><p>One approach is to use methods such as active learning or targeted sampling to improve labeling in regions where mistakes (false positives or false negatives) are most likely to occur. For example, you can periodically audit a subset of unlabeled or low-confidence instances, get expert labels, and then estimate or correct for biases in your measured error rates.</p><p>Pitfall: If the sampling for labeling is not representative (e.g., an auditor only checks transactions above a certain risk score), the estimates of Type I or Type II errors might be overly optimistic or pessimistic. This makes it crucial to use a balanced or carefully stratified labeling strategy.</p><p>Edge case: In medical research, sometimes patients drop out of follow-up testing. If you only have labels for those who stayed in the study, you risk systematically missing false negatives among dropouts (people who tested negative initially but turned positive later). Handling such missing data typically requires specialized statistical methods (e.g., survival analysis approaches with censoring, or multiple imputation for missing data).</p><h2><strong>How Does Model Calibration Help Mitigate Type I and Type II Errors?</strong></h2><p>Model calibration involves adjusting a model&#8217;s output probabilities so that they accurately reflect the true likelihood of positive outcomes. Even if a model&#8217;s raw outputs can separate positives from negatives, these outputs might not align well with true probabilities. That misalignment can make it trickier to set an appropriate decision threshold.</p><p>By applying techniques like Platt scaling or isotonic regression, you can produce calibrated probabilities. Once these probabilities mirror real likelihoods, you can more reliably pick a threshold that optimizes for a desired balance between Type I and Type II errors.</p><p>Pitfall: Overfitting calibration data can happen if the calibration set is too small or not representative. A poorly calibrated model can increase one type of error if the calibration shifts the score distribution in a misleading way.</p><p>Edge case: In high-imbalance problems (e.g., very few positives), standard calibration might struggle unless you have enough positive examples to learn an accurate mapping. Advanced sampling or reweighting strategies might be necessary to ensure robust calibration.</p><h2><strong>How Do You Manage Type I and Type II Errors in an Online Setting With Distribution Shifts?</strong></h2><p>In an online system&#8212;say a real-time fraud detection or streaming anomaly detection&#8212;data distributions often evolve over time (a phenomenon known as concept drift). As the data drifts, models trained on older data may degrade in performance, leading to increased false positives or false negatives.</p><p>A typical strategy is to implement continuous monitoring of key metrics (like FPR, TPR, precision, recall) in production. When these metrics deviate significantly from their baseline, it may signal a shift in distribution that requires re-training or recalibrating the model.</p><p>Pitfall: A slow, gradual drift might go unnoticed until Type I or Type II errors accumulate substantially. Monitoring that only checks major deviations might react too late. A robust solution is to use techniques like rolling windows, time-decayed weighting of data, or anomaly detection specifically for the input feature space.</p><p>Edge case: In systems with cyclical or seasonal patterns, the model&#8217;s performance can degrade temporarily, then recover as the cycle repeats. Interpreting which changes are normal seasonal fluctuations vs. genuine distribution shifts is tricky, and your strategy might require domain insights to properly handle seasonal &#8220;drift.&#8221;</p><h2><strong>How Do Multiple Hypothesis Tests Affect Type I Error Rates in a Machine Learning Workflow?</strong></h2><p>When running multiple statistical hypothesis tests (for instance, testing multiple variants of a model or testing multiple metrics), the chance of at least one false positive (Type I error) grows if you do not correct for multiple comparisons.</p><div class="captioned-image-container"><figure><a class="image-link image2" target="_blank" href="https://substackcdn.com/image/fetch/$s_!ZbPr!,f_auto,q_auto:good,fl_progressive:steep/https%3A%2F%2Fsubstack-post-media.s3.amazonaws.com%2Fpublic%2Fimages%2F9db35a15-3ead-47fe-9e8a-83e91ddeb575_941x209.png" data-component-name="Image2ToDOM"><div class="image2-inset"><picture><source type="image/webp" srcset="https://substackcdn.com/image/fetch/$s_!ZbPr!,w_424,c_limit,f_webp,q_auto:good,fl_progressive:steep/https%3A%2F%2Fsubstack-post-media.s3.amazonaws.com%2Fpublic%2Fimages%2F9db35a15-3ead-47fe-9e8a-83e91ddeb575_941x209.png 424w, https://substackcdn.com/image/fetch/$s_!ZbPr!,w_848,c_limit,f_webp,q_auto:good,fl_progressive:steep/https%3A%2F%2Fsubstack-post-media.s3.amazonaws.com%2Fpublic%2Fimages%2F9db35a15-3ead-47fe-9e8a-83e91ddeb575_941x209.png 848w, https://substackcdn.com/image/fetch/$s_!ZbPr!,w_1272,c_limit,f_webp,q_auto:good,fl_progressive:steep/https%3A%2F%2Fsubstack-post-media.s3.amazonaws.com%2Fpublic%2Fimages%2F9db35a15-3ead-47fe-9e8a-83e91ddeb575_941x209.png 1272w, https://substackcdn.com/image/fetch/$s_!ZbPr!,w_1456,c_limit,f_webp,q_auto:good,fl_progressive:steep/https%3A%2F%2Fsubstack-post-media.s3.amazonaws.com%2Fpublic%2Fimages%2F9db35a15-3ead-47fe-9e8a-83e91ddeb575_941x209.png 1456w" sizes="100vw"><img src="https://substackcdn.com/image/fetch/$s_!ZbPr!,w_1456,c_limit,f_auto,q_auto:good,fl_progressive:steep/https%3A%2F%2Fsubstack-post-media.s3.amazonaws.com%2Fpublic%2Fimages%2F9db35a15-3ead-47fe-9e8a-83e91ddeb575_941x209.png" width="941" height="209" data-attrs="{&quot;src&quot;:&quot;https://substack-post-media.s3.amazonaws.com/public/images/9db35a15-3ead-47fe-9e8a-83e91ddeb575_941x209.png&quot;,&quot;srcNoWatermark&quot;:null,&quot;fullscreen&quot;:null,&quot;imageSize&quot;:null,&quot;height&quot;:209,&quot;width&quot;:941,&quot;resizeWidth&quot;:null,&quot;bytes&quot;:46578,&quot;alt&quot;:null,&quot;title&quot;:null,&quot;type&quot;:&quot;image/png&quot;,&quot;href&quot;:null,&quot;belowTheFold&quot;:true,&quot;topImage&quot;:false,&quot;internalRedirect&quot;:&quot;https://www.rohan-paul.com/i/165852818?img=https%3A%2F%2Fsubstack-post-media.s3.amazonaws.com%2Fpublic%2Fimages%2F9db35a15-3ead-47fe-9e8a-83e91ddeb575_941x209.png&quot;,&quot;isProcessing&quot;:false,&quot;align&quot;:null,&quot;offset&quot;:false}" class="sizing-normal" alt="" srcset="https://substackcdn.com/image/fetch/$s_!ZbPr!,w_424,c_limit,f_auto,q_auto:good,fl_progressive:steep/https%3A%2F%2Fsubstack-post-media.s3.amazonaws.com%2Fpublic%2Fimages%2F9db35a15-3ead-47fe-9e8a-83e91ddeb575_941x209.png 424w, https://substackcdn.com/image/fetch/$s_!ZbPr!,w_848,c_limit,f_auto,q_auto:good,fl_progressive:steep/https%3A%2F%2Fsubstack-post-media.s3.amazonaws.com%2Fpublic%2Fimages%2F9db35a15-3ead-47fe-9e8a-83e91ddeb575_941x209.png 848w, https://substackcdn.com/image/fetch/$s_!ZbPr!,w_1272,c_limit,f_auto,q_auto:good,fl_progressive:steep/https%3A%2F%2Fsubstack-post-media.s3.amazonaws.com%2Fpublic%2Fimages%2F9db35a15-3ead-47fe-9e8a-83e91ddeb575_941x209.png 1272w, https://substackcdn.com/image/fetch/$s_!ZbPr!,w_1456,c_limit,f_auto,q_auto:good,fl_progressive:steep/https%3A%2F%2Fsubstack-post-media.s3.amazonaws.com%2Fpublic%2Fimages%2F9db35a15-3ead-47fe-9e8a-83e91ddeb575_941x209.png 1456w" sizes="100vw" loading="lazy"></picture><div></div></div></a></figure></div><p>Pitfall: Overly strict corrections (like a naive Bonferroni) can become very conservative, potentially inflating Type II errors&#8212;meaning genuine effects might be missed.</p><p>Edge case: In large-scale model hyperparameter tuning, tens or hundreds of parameters might be tested. Without a proper correction, you can easily conclude that certain hyperparameters work &#8220;significantly better&#8221; due to random chance. This can lead to over-optimistic performance estimates that fail in real-world deployment.</p><h2><strong>How Do Type I and Type II Errors Translate to Decision Costs in a Real Business or Clinical Setting?</strong></h2><p>While false positives and false negatives are abstract statistics, real-world impact is measured in costs or consequences. For instance, in a bank:</p><ul><li><p>A false positive on a fraud check might lead to an unnecessary call to a customer or a temporary card block. The direct cost is a customer service call and a possible inconvenience that could damage customer satisfaction.</p></li><li><p>A false negative would allow a fraudulent transaction to go through, leading to higher financial and reputational losses.</p></li></ul><p>In a medical diagnosis:</p><ul><li><p>A false positive might cause a patient to undergo unnecessary, potentially invasive testing (extra cost, emotional distress).</p></li><li><p>A false negative can lead to late detection of a serious disease, resulting in severe health consequences or even loss of life.</p></li></ul><p>Pitfall: Many organizations only track one side of the error (e.g., the losses from letting fraud through) and do not properly quantify the &#8220;customer dissatisfaction cost.&#8221; This incomplete view can skew the threshold decision.</p><p>Edge case: The relative costs can vary dramatically across different segments or over time. For example, an extremely high-value transaction might be worth accepting a higher false-positive risk (manual review) compared to a small transaction. Handling these scenario-specific cost structures often requires dynamic thresholds or segment-based modeling.</p><h2><strong>How Do Type I and Type II Errors Manifest in Imbalanced Multiclass Problems?</strong></h2><p>When extending beyond binary classification to multiclass problems (e.g., diagnosing multiple diseases, or classifying multiple types of fraudulent behavior), you have multiple ways to generalize the concepts of false positives and false negatives. For each class, you can define a confusion matrix row by row or column by column, and then compute:</p><ul><li><p>False positives for a specific class: cases incorrectly labeled as that class</p></li><li><p>False negatives for a specific class: cases that belong to that class but were labeled otherwise</p></li></ul><p>Pitfall: A model might misclassify one minority class as another minority class. Tracking a global Type I or Type II error can mask which specific class is being misclassified. This is why analyzing the per-class confusion matrix is crucial.</p><p>Edge case: Some real-world settings have more than two classes, but the cost structure is more important for certain classes. For instance, you might have &#8220;legitimate transaction,&#8221; &#8220;friendly fraud,&#8221; &#8220;organized fraud,&#8221; and &#8220;technical error&#8221; as multiple classes. The real cost might be highest for missing organized fraud. Hence, you might accept more confusion among the other classes just to reduce false negatives on the organized fraud class.</p><h2><strong>How Do Type I and Type II Errors Play Out in Reinforcement Learning Settings?</strong></h2><p>Although reinforcement learning (RL) typically focuses on maximizing long-term reward rather than minimizing classification error, the concept of Type I and Type II errors can still arise in sub-problems within RL. For instance, in a policy that detects a rare event and triggers a certain action, a false positive could mean an unnecessary action, while a false negative could mean failing to take a crucial action.</p><p>One challenge is that, in RL, feedback (rewards) about a positive or negative action may be delayed, partial, or noisy. This partial feedback complicates the direct measurement of false positives or false negatives in each step.</p><p>Pitfall: Overfitting to short-term rewards might inadvertently increase either Type I or Type II errors in the long run. For instance, the agent might take too many &#8220;safe actions&#8221; to avoid penalties in the short term, inadvertently generating excessive false positives.</p><p>Edge case: In high-stakes RL scenarios (e.g., robotics, self-driving cars), a single false negative (failing to detect an obstacle) can be catastrophic. One approach is to incorporate risk-sensitive or safety-oriented methods that explicitly penalize dangerous false negatives more heavily than false positives.</p><h2><strong>Could a Model Perform Well on Average Yet Have High Type I or Type II Errors in Specific Subgroups?</strong></h2><p>Yes. This is closely related to fairness and bias issues. A model might yield overall acceptable false positive and false negative rates but perform poorly for certain protected groups. This translates to substantial Type I or Type II error disparities among demographic subgroups.</p><p>Pitfall: Relying solely on global error metrics can mask these subgroup-specific problems, leading to unfair or even illegal discrimination in domains such as hiring, lending, or medical diagnosis.</p><p>Edge case: If a certain subgroup is underrepresented in the training data, the model might systematically produce more false negatives for that group. Addressing this often requires additional data collection, reweighting, or specialized fairness constraints (e.g., equal opportunity constraints to ensure balanced false negative rates across groups).</p><h2><strong>How Can You Systematically Explore the Trade-off Curve Between Type I and Type II Errors in Practice?</strong></h2><p>One common method is to plot a Precision-Recall curve or an ROC curve across various thresholds. From these plots, you can visualize how the true positive rate and false positive rate change as you shift the classification boundary.</p><p>You then overlay business or clinical constraints on top of that curve. For example, if you know that surpassing a certain false positive rate is extremely costly, you look for a threshold that keeps FPR below that limit while trying to maximize TPR.</p><p>Pitfall: In highly imbalanced datasets, the ROC curve can be overly optimistic, and the Precision-Recall curve often presents a clearer picture of performance for the positive class.</p><p>Edge case: If the positive class is extremely rare (e.g., 0.1% of the data), even small absolute changes in the false positive rate can lead to a large relative number of false positives. You might need to zoom in on a very specific region of the curve (a high-precision zone) to find a practical operating point.</p><h2><strong>How Can Active Learning Strategies Help Reduce Type I and Type II Errors Over Time?</strong></h2><p>Active learning focuses on selectively querying the most informative or uncertain samples for labeling. The goal is to improve the model using fewer labeled samples, which is especially valuable in cases where labeling is costly (e.g., needing expert verification for fraud or medical data).</p><p>By directing labeling efforts at samples near the decision boundary, active learning can help the model refine that boundary, reducing both false positives and false negatives in the region that matters most for your application.</p><p>Pitfall: If active learning is solely driven by model uncertainty, the model might repeatedly sample from certain feature space regions and overlook rare but critical outlier patterns&#8212;thus failing to reduce false negatives in those outlier segments.</p><p>Edge case: In an online environment, combining active learning with real-time feedback from domain experts requires a robust infrastructure for continuously updating the training set and re-deploying the model, which can be technically complex and prone to distribution shifts.</p><h2><strong>How Do We Incorporate Human-in-the-Loop Systems to Manage Type I and Type II Errors?</strong></h2><p>In some high-stakes or high-cost-of-failure domains, a typical workflow is to have a model provide initial screening, then route ambiguous or high-risk cases to a human expert for review. The human can override the model&#8217;s prediction if needed. This approach can lower overall false negatives (since the expert can catch subtle positives) without exploding the false positive rate for all instances.</p><p>Pitfall: If the system floods human reviewers with too many cases (due to a high false positive rate), reviewers might become fatigued or complacent. Their error rate could rise because they start to trust the model&#8217;s predictions too often.</p><p>Edge case: Over time, human reviewers might adapt to the model&#8217;s blind spots. They might devote more time to particular scenarios the model is prone to misclassify. This co-adaptation can be beneficial but also risky if not tracked. If the model&#8217;s distribution changes, the human reviewers might need new training or updated knowledge about the model&#8217;s new failure modes.</p><h2><strong>How Do You Monitor Type I and Type II Errors in Post-Deployment, Real-World Systems?</strong></h2><p>It is critical to define a feedback loop. For example, in a fraud detection scenario, real fraud might be discovered days or weeks after the transaction. That delayed label has to be integrated back into the system to re-measure false negatives (transactions flagged as legitimate that turned out fraudulent). Similarly, legitimate transactions that were flagged and reversed must be accounted for as false positives.</p><p>Pitfall: In some contexts, it is impossible to get perfect ground truth for negatives (e.g., a transaction that was never proven fraudulent might simply have been unobserved or not yet discovered). This incomplete feedback can bias your error estimates.</p><p>Edge case: After a user is falsely flagged multiple times, they might change their behavior (e.g., they use a different payment method), or they might churn from the system entirely, so you lose the ability to track their subsequent activity. This phenomenon is known as &#8220;selective labels&#8221; or &#8220;label leakage,&#8221; where the process of flagging or intervening changes the data distribution and complicates error measurement.</p><h2><strong>What Is the Difference Between a Statistical Confidence Interval and the Probability of a Type I Error?</strong></h2><p>A statistical confidence interval (for example, a 95% confidence interval around a mean) indicates the range within which the true parameter (like a population mean) is likely to lie given the observed data. It does not directly speak to the probability of incorrectly rejecting H0 in hypothesis testing.</p><div class="captioned-image-container"><figure><a class="image-link image2" target="_blank" href="https://substackcdn.com/image/fetch/$s_!_0n_!,f_auto,q_auto:good,fl_progressive:steep/https%3A%2F%2Fsubstack-post-media.s3.amazonaws.com%2Fpublic%2Fimages%2Febadc491-b0a0-49e6-931d-a38f6789fe73_892x127.png" data-component-name="Image2ToDOM"><div class="image2-inset"><picture><source type="image/webp" srcset="https://substackcdn.com/image/fetch/$s_!_0n_!,w_424,c_limit,f_webp,q_auto:good,fl_progressive:steep/https%3A%2F%2Fsubstack-post-media.s3.amazonaws.com%2Fpublic%2Fimages%2Febadc491-b0a0-49e6-931d-a38f6789fe73_892x127.png 424w, https://substackcdn.com/image/fetch/$s_!_0n_!,w_848,c_limit,f_webp,q_auto:good,fl_progressive:steep/https%3A%2F%2Fsubstack-post-media.s3.amazonaws.com%2Fpublic%2Fimages%2Febadc491-b0a0-49e6-931d-a38f6789fe73_892x127.png 848w, https://substackcdn.com/image/fetch/$s_!_0n_!,w_1272,c_limit,f_webp,q_auto:good,fl_progressive:steep/https%3A%2F%2Fsubstack-post-media.s3.amazonaws.com%2Fpublic%2Fimages%2Febadc491-b0a0-49e6-931d-a38f6789fe73_892x127.png 1272w, https://substackcdn.com/image/fetch/$s_!_0n_!,w_1456,c_limit,f_webp,q_auto:good,fl_progressive:steep/https%3A%2F%2Fsubstack-post-media.s3.amazonaws.com%2Fpublic%2Fimages%2Febadc491-b0a0-49e6-931d-a38f6789fe73_892x127.png 1456w" sizes="100vw"><img src="https://substackcdn.com/image/fetch/$s_!_0n_!,w_1456,c_limit,f_auto,q_auto:good,fl_progressive:steep/https%3A%2F%2Fsubstack-post-media.s3.amazonaws.com%2Fpublic%2Fimages%2Febadc491-b0a0-49e6-931d-a38f6789fe73_892x127.png" width="892" height="127" data-attrs="{&quot;src&quot;:&quot;https://substack-post-media.s3.amazonaws.com/public/images/ebadc491-b0a0-49e6-931d-a38f6789fe73_892x127.png&quot;,&quot;srcNoWatermark&quot;:null,&quot;fullscreen&quot;:null,&quot;imageSize&quot;:null,&quot;height&quot;:127,&quot;width&quot;:892,&quot;resizeWidth&quot;:null,&quot;bytes&quot;:30457,&quot;alt&quot;:null,&quot;title&quot;:null,&quot;type&quot;:&quot;image/png&quot;,&quot;href&quot;:null,&quot;belowTheFold&quot;:true,&quot;topImage&quot;:false,&quot;internalRedirect&quot;:&quot;https://www.rohan-paul.com/i/165852818?img=https%3A%2F%2Fsubstack-post-media.s3.amazonaws.com%2Fpublic%2Fimages%2Febadc491-b0a0-49e6-931d-a38f6789fe73_892x127.png&quot;,&quot;isProcessing&quot;:false,&quot;align&quot;:null,&quot;offset&quot;:false}" class="sizing-normal" alt="" srcset="https://substackcdn.com/image/fetch/$s_!_0n_!,w_424,c_limit,f_auto,q_auto:good,fl_progressive:steep/https%3A%2F%2Fsubstack-post-media.s3.amazonaws.com%2Fpublic%2Fimages%2Febadc491-b0a0-49e6-931d-a38f6789fe73_892x127.png 424w, https://substackcdn.com/image/fetch/$s_!_0n_!,w_848,c_limit,f_auto,q_auto:good,fl_progressive:steep/https%3A%2F%2Fsubstack-post-media.s3.amazonaws.com%2Fpublic%2Fimages%2Febadc491-b0a0-49e6-931d-a38f6789fe73_892x127.png 848w, https://substackcdn.com/image/fetch/$s_!_0n_!,w_1272,c_limit,f_auto,q_auto:good,fl_progressive:steep/https%3A%2F%2Fsubstack-post-media.s3.amazonaws.com%2Fpublic%2Fimages%2Febadc491-b0a0-49e6-931d-a38f6789fe73_892x127.png 1272w, https://substackcdn.com/image/fetch/$s_!_0n_!,w_1456,c_limit,f_auto,q_auto:good,fl_progressive:steep/https%3A%2F%2Fsubstack-post-media.s3.amazonaws.com%2Fpublic%2Fimages%2Febadc491-b0a0-49e6-931d-a38f6789fe73_892x127.png 1456w" sizes="100vw" loading="lazy"></picture><div></div></div></a></figure></div><p>Pitfall: Conflating these concepts can cause confusion. For instance, having a confidence interval for a parameter that barely excludes zero does not always mean the Type I error rate is 5%; it means that if you were to repeat the experiment many times, about 95% of the calculated intervals would contain the true parameter.</p><p>Edge case: In ML experiments, we often estimate model performance (e.g., accuracy, F1-score) with confidence intervals derived from cross-validation. But those intervals do not guarantee that if your model outperforms baseline by a certain margin, the probability that you&#8217;re seeing a &#8220;lucky fluke&#8221; is below some threshold. They are a measure of variability, not strictly the probability of a Type I error in a classical hypothesis-testing sense.</p><h2><strong>How Does the Prevalence of the Positive Class Affect Type I and Type II Errors?</strong></h2><p>Prevalence is the base rate of the positive class in the population (e.g., the proportion of fraudulent transactions, or the rate of a disease in a patient population). If prevalence is very low, even a small false positive rate can result in many more false positives than true positives. Conversely, if the prevalence is high, even a moderate false negative rate can miss a lot of actual positives.</p><p>Pitfall: Focusing on accuracy alone can be misleading, especially if the prevalence is skewed. A trivial model predicting every instance as negative might achieve high accuracy but fail catastrophically in terms of false negatives.</p><p>Edge case: In some adaptive systems, the prevalence can change after the system is deployed. For example, a successful fraud detection system might discourage fraudsters from certain tactics, causing the fraction of certain types of fraud to drop. If the model is not updated, it might continue to produce false positives at the same rate, even though actual fraud patterns are shifting.</p><h2><strong>How Can External Constraints or Regulations Affect the Acceptance of Type I and Type II Errors?</strong></h2><p>In many industries&#8212;like healthcare, finance, or autonomous vehicles&#8212;regulatory bodies set rules or guidelines for acceptable levels of misclassifications. For instance, a regulatory agency might require medical tests to have a minimum sensitivity (i.e., TPR) to ensure that few diseased patients are missed. This effectively puts an upper bound on Type II errors.</p><p>Pitfall: If you push sensitivity extremely high to meet regulations, you might inadvertently raise Type I errors and produce an unmanageably high false-positive workload.</p><p>Edge case: Regulations can also mandate that you cannot discriminate across demographic groups. You might have to demonstrate that false negatives (Type II) for one group are not significantly higher than for another. This can lead to more complex objective functions where you try to optimize overall performance subject to fairness constraints.</p><h2><strong>How Do We Diagnose Whether Our Model Is Suffering More From Type I or Type II Errors Without a Balanced Dataset?</strong></h2><p>One practical approach is to create a confusion matrix on a test set that has known positives and negatives. If the dataset is imbalanced, you can do one of the following:</p><ol><li><p>Use stratified sampling to maintain the same ratio of positives to negatives that appears in the real world, then measure false positives and false negatives.</p></li><li><p>Oversample positives or undersample negatives to get a balanced or near-balanced test set, calculate errors, and then adjust the metrics back to real-world prevalence.</p></li></ol><p>You also can measure metrics like precision, recall, and specificity:</p><ul><li><p>High recall but low precision often implies more Type I errors.</p></li><li><p>High precision but low recall often implies more Type II errors.</p></li></ul><p>Pitfall: If you artificially balance the test set (e.g., 50% positives, 50% negatives) but do not correct the metrics accordingly, your false positive rate in real-world conditions might be underestimated.</p><p>Edge case: In some domains, the notion of &#8220;positive&#8221; might be fluid or ambiguous (e.g., borderline medical conditions or suspicious transactions with partial evidence). In these cases, even labeling the test data can involve subjective judgments, adding noise to the measured Type I and Type II errors.</p><h2><strong>How Do You Evaluate and Mitigate the Long-Term Impact of Repeated False Positives or False Negatives on User Behavior?</strong></h2><p>In repeated-use scenarios (e.g., spam email filtering, ongoing medical screenings), repeated false positives can cause users to lose trust in the system, while repeated false negatives can cause them to overlook genuine issues. Therefore, you must consider the cumulative or compound effects.</p><p>Strategies to mitigate long-term impact include:</p><ul><li><p>Gradual threshold tuning and user feedback loops</p></li><li><p>Personalized or context-aware thresholds that learn from each user&#8217;s behavior</p></li><li><p>Explanations to the user when the system flags something as suspicious or healthy, helping them understand why</p></li></ul><p>Pitfall: Users might adapt in unpredictable ways. For example, if the system frequently flags legitimate emails as spam, users might stop checking their spam folder altogether, increasing the chance of missing actual spam or incorrectly flagged emails.</p><p>Edge case: In critical domains, a single false negative might be catastrophic (e.g., a patient not receiving an urgent medical alert). In that scenario, you might allow more false positives over the short term until you have enough data to reliably reduce them without increasing the risk of missed positives.</p><h2><strong>How Should We Handle Situations Where the Null Hypothesis Is Not the &#8220;No Event&#8221; Condition?</strong></h2><p>In classical hypothesis testing, we often treat the null as &#8220;no effect&#8221; or &#8220;no difference.&#8221; However, in certain real-world cases (like a new product launch or new medical treatment), the null might be that the new treatment is equally effective as the old one, and the alternative is that it&#8217;s better.</p><p>Type I error then represents concluding the new treatment is better when it is not, and Type II error is concluding it&#8217;s not better when it actually is. While the mapping to &#8220;false positive&#8221; and &#8220;false negative&#8221; remains conceptually similar, the practical interpretation can change.</p><p>Pitfall: In medical research, incorrectly concluding that a new drug is better (Type I error) can lead to widespread adoption of an ineffective or harmful drug. Alternatively, failing to adopt a beneficial drug (Type II error) can have significant missed-benefit consequences for patients.</p><p>Edge case: Some experimental designs reverse the roles of H0 and H1 (e.g., non-inferiority trials in pharmaceuticals). The nature of Type I and Type II errors might be framed differently, and ensuring the correct interpretation is crucial to avoid misapplication of hypothesis testing in practice.</p><h2><strong>How Do You Communicate Type I and Type II Errors to Non-Technical Stakeholders?</strong></h2><p>Conveying the concept of false positives and false negatives in plain language is critical to get buy-in from domain experts, executives, or regulatory agencies. One method is using scenario-based examples:</p><ul><li><p>&#8220;Out of 1,000 legitimate transactions, we accidentally flagged 20 as fraud (false positives). This might upset those 20 customers.&#8221;</p></li><li><p>&#8220;Out of 100 fraudulent transactions, we failed to catch 10 (false negatives). This led to direct financial losses.&#8221;</p></li></ul><p>Pitfall: Merely reporting &#8220;we have a 2% false-positive rate&#8221; can be meaningless without context on the total volume. Non-technical stakeholders might misinterpret or trivialize the implications.</p><p>Edge case: In certain fields, key stakeholders might only care about the worst-case scenario. For example, a hospital might ask, &#8220;What if that false negative is a life-threatening disease?&#8221; So you might need to provide not just average metrics but also risk-based breakdowns of the most severe outcomes.</p><h2><strong>How Do Type I and Type II Errors Arise in Generative or Self-Supervised Learning Tasks?</strong></h2><p>In generative models (e.g., for text generation, image synthesis), the concepts of Type I and Type II errors can appear in evaluation sub-problems. For instance, a &#8220;false positive&#8221; might be generating content that is classified as realistic or correct when it is not. A &#8220;false negative&#8221; might be failing to generate a valid concept that should be possible under the data distribution.</p><p>Pitfall: Subjective evaluations are common in generative tasks (like the realism of generated images or the fluency of generated text). Standard definitions of Type I and Type II errors become blurred if the ground truth is not strictly binary (e.g., something can be partially correct).</p><p>Edge case: In text generation, certain tasks have clearly defined constraints (like grammar rules or known facts). The generative model might appear to follow them but occasionally produce &#8220;hallucinations,&#8221; effectively a false positive (the model claims a statement is valid when it is incorrect). If the environment is zero-sum (like misinformation detection), these errors are costly and need specialized mitigations.</p><h2><strong>How Do We Use Confidence Intervals for Model Metrics (e.g., Accuracy, AUC) to Infer Possible Type I or Type II Error Bounds?</strong></h2><p>While confidence intervals for metrics like accuracy or AUC provide a sense of statistical variability, they do not directly give you false-positive or false-negative rates under all thresholds. However, you can sample from the distribution of predictions (via bootstrap or cross-validation) to derive intervals for FPR and FNR at a given threshold.</p><p>Pitfall: Relying on a single test set and computing a single point estimate for FPR or FNR can be misleading&#8212;especially if the test set is not large or is unrepresentative.</p><p>Edge case: If you&#8217;re dealing with extremely rare events, the confidence intervals for FPR or FNR can become quite wide unless you have a massive sample of data. This can complicate decisions about threshold tuning if you do not have enough examples of the positive class to get a stable estimate.</p><h2><strong>How Could Emerging Privacy Restrictions (e.g., GDPR) Influence Measurement of Type I and Type II Errors?</strong></h2><p>Laws like GDPR can restrict data retention, making it harder to track outcomes and measure errors over time. For instance, if you must delete user data after a certain period, you might lose the ability to verify whether older predictions were false positives or false negatives. Additionally, obtaining ground-truth labels might require explicit user consent, limiting your labeled dataset.</p><p>Pitfall: If you cannot store certain personally identifiable information, you might lack the necessary contextual features for accurate classification. This could push up either Type I or Type II errors, depending on how critical those features were.</p><p>Edge case: The &#8220;right to be forgotten&#8221; could erase records you need to detect repeat fraudulent behaviors. The system might treat a known fraudster as a fresh user, inadvertently repeating the same Type I or Type II errors. Techniques like anonymization or secure hashing can partially mitigate these problems but need to comply strictly with privacy regulations.</p><h2><strong>How Do Type I and Type II Errors Interact With Interpretability in Machine Learning?</strong></h2><p>Highly complex models (e.g., large neural networks) can be difficult to interpret, making it challenging to explain why a particular sample was classified as positive or negative. If stakeholders cannot understand why a system produced false positives or false negatives, they may mistrust or reject the model altogether.</p><p>Pitfall: Even if a model has good overall performance, its &#8220;black-box&#8221; nature might obscure systematic biases or pockets of high false-negative rates in certain conditions. This can be especially problematic in regulated industries where explainability is required.</p><p>Edge case: Methods like LIME or SHAP provide local explanations for model predictions, potentially revealing consistent reasons behind false positives or false negatives (e.g., certain keywords or features). However, these explanation methods have their own limitations, and a misleading explanation can itself cause stakeholders to misjudge the severity of Type I or Type II errors.</p><h2><strong>How Do Type I and Type II Errors Affect the Design of Manual Overrides or Fallback Mechanisms?</strong></h2><p>Many production systems include fallback rules&#8212;manual or heuristic-based checks&#8212;that override model decisions. For example, a credit card might have a rule: &#8220;If the transaction amount is over $10,000 from a new user, automatically flag for review regardless of model score.&#8221; Such rules aim to mitigate high-stakes false negatives.</p><p>Pitfall: Over-reliance on fallback rules can overshadow the model&#8217;s benefits if the fallback triggers too often. You might end up with excessive false positives, negating the efficiency gains of automation.</p><p>Edge case: If the fallback rules are derived from older patterns (e.g., historical insights about how fraud was done years ago), they might cause a mismatch with modern patterns. The system can end up with unpredictable interplay: the model might classify something as legitimate, but the fallback flags it anyway for a manual check&#8212;leading to user frustration and potential duplication of work.</p><h2><strong>How Does Early Stopping or Model Regularization Influence Type I and Type II Errors?</strong></h2><p>In supervised learning, you typically split data into training and validation sets, and you might apply early stopping to prevent overfitting. Overfitting often manifests as a model that appears to reduce both false positives and false negatives on the training set but performs poorly on validation or test data.</p><p>With proper regularization and early stopping, you often get better generalization. This reduces both Type I and Type II errors on unseen data compared to an overfit model. However, the exact effect on each error type depends on the nature of the overfitting.</p><p>Pitfall: If you over-regularize or stop too early, the model might be underfitting, which could elevate both false positives and false negatives (or shift them in unpredictable ways).</p><p>Edge case: In some specialized tasks, a slight overfit might be acceptable if you&#8217;re trying to minimize false negatives above all else. For instance, in a medical screening for a deadly disease, if slight overfitting means fewer missed positives, the trade-off might be worthwhile&#8212;though you should still keep an eye on generalization performance in real-world settings.</p><h2><strong>How Do We Quantify the Uncertainty in Our Estimates of Type I and Type II Errors?</strong></h2><p>Because all measurements of false positives and false negatives are sample-based, we can compute confidence intervals or credible intervals (in a Bayesian context) around these estimates. A typical frequentist approach might apply a binomial proportion confidence interval for FPR or FNR.</p><p>Pitfall: A naive confidence interval formula might not account for correlation between samples or for the model&#8217;s possible overfit to your data split. You might need advanced bootstrap methods or cross-validation to get a more robust interval.</p><p>Edge case: In real-time streaming data with autocorrelation (e.g., repeated transactions from the same user), standard binomial assumptions can be violated. FPR or FNR estimates might require specialized time-series or hierarchical modeling approaches to capture the correlation across events from the same source.</p><h2><strong>How Do You Handle a Scenario Where Type I or Type II Error Definitions Are Not Clear-Cut?</strong></h2><p>Some problems don&#8217;t have a clean boundary between positive and negative, such as detecting &#8220;interesting&#8221; or &#8220;useful&#8221; content in a recommendation system. One user&#8217;s interesting content might be uninteresting to another. In these subjective domains, the concept of a &#8220;true&#8221; positive vs. negative can be fuzzy.</p><p>Pitfall: If you force a binary ground truth label (&#8220;interesting&#8221; vs. &#8220;not interesting&#8221;) based on minimal feedback, you might artificially inflate either false positives or false negatives. This can degrade user experience over time.</p><p>Edge case: A more nuanced approach might track user engagement signals (e.g., watch time, likes, shares) rather than a binary classification. In this setting, false positives and false negatives become tied to user satisfaction metrics, requiring careful experimental design (like A/B testing) to gauge real-world impact.</p><h2><strong>How Do Oversampling or Undersampling Techniques Affect Type I and Type II Error Rates?</strong></h2><p>When dealing with a highly imbalanced dataset, oversampling the positive class (e.g., SMOTE) or undersampling the negative class can help the model train on a more balanced view of data. This often reduces false negatives (Type II errors) for the minority class. However, if the oversampling introduces too many synthetic examples that are not representative, or if undersampling discards too many negative examples, the model might learn boundaries that are not optimal, possibly inflating false positives (Type I errors).</p><p>Pitfall: SMOTE or random oversampling might replicate rare edge cases or generate synthetic samples that do not accurately reflect real-world data, leading to over-optimistic estimates of model performance.</p><p>Edge case: If your negative class is extremely large (e.g., 10 million examples) and your positive class is very small (1,000 examples), random undersampling can cause you to lose a vast amount of potentially valuable negative data. A more nuanced approach (stratified or cluster-based undersampling) might be necessary to preserve a good representation of the negative class distribution.</p><h2><strong>Are There Situations Where You&#8217;d Actively Prefer to Increase a Certain Error Type?</strong></h2><p>Yes, if your domain or product requirements favor one error type due to cost or strategy considerations. For example, in marketing lead qualification, you might prefer to err on the side of false positives&#8212;i.e., reaching out to some leads who are not actually interested&#8212;rather than missing out on valuable leads (false negatives).</p><p>Pitfall: Overly aggressive outreach can annoy potential customers who are labeled as leads but have no interest, possibly damaging your brand.</p><p>Edge case: In a triage system for mental health crises, you might prefer to route borderline cases to care rather than risk missing a serious crisis. In that scenario, you deliberately allow more Type I errors (false positives) for the sake of reducing Type II errors (false negatives) to a minimal level.</p><h2><strong>How Do We Handle Situations Where the Ground Truth Labels Themselves Have Error or Noise?</strong></h2><p>In some datasets, even the &#8220;true&#8221; labels are uncertain. For example, in medical imaging, different radiologists might disagree on whether a lesion is benign or malignant. This label noise can confuse the model, leading to an inflated estimate of both false positives and false negatives (some &#8220;errors&#8221; might just reflect label disagreement).</p><p>Pitfall: If you treat noisy labels as gospel, you might train a model that attempts to replicate the labeling inconsistencies. This can distort your measurement of Type I and Type II errors, because you are partially capturing label noise rather than genuine misclassifications.</p><p>Edge case: Methods for learning with noisy labels (like using a confusion matrix for annotators or employing a consensus approach) can mitigate the problem. However, if the label disagreement itself is high, it becomes difficult to define a precise ground truth. In such a scenario, you might measure inter-annotator agreement as a reference baseline for your model&#8217;s performance.</p><h2><strong>How Does the Concept of Type III Error Fit Into This Discussion?</strong></h2><p>A Type III error is sometimes informally mentioned in statistical literature as an error where you correctly reject H0 for the wrong reason, or you correctly reject H0 but answer a different question than what you intended to test. In ML contexts, you could think of it as the model making a &#8220;correct&#8221; classification for a spurious or unrelated reason (like overfitting to an artifact).</p><p>While less formally recognized than Type I or Type II, it underscores the importance of verifying that your model&#8217;s reasoning generalizes. If your model is correct for the &#8220;wrong reason,&#8221; it might fail badly under slightly changed conditions.</p><p>Pitfall: Relying purely on performance metrics can hide the fact that your model is using spurious correlations to achieve good accuracy on the training or test sets. This can lead to unexpected spikes in false positives or false negatives when the distribution changes.</p><p>Edge case: In image recognition tasks, a model might learn to detect a label from background details rather than the object of interest. During deployment (with different backgrounds), it suddenly exhibits high false negative rates for images it previously handled well in test data.</p><h2><strong>How Do You Implement Hierarchical Classification to Reduce Certain Error Types?</strong></h2><p>A hierarchical classification approach breaks down a complex classification decision into stages. For example, you can first decide if a transaction is suspicious or not. If suspicious, you pass it to a more specialized model or rule-based system to determine whether it is truly fraudulent. This two-stage approach can help refine the boundary.</p><p>Pitfall: If the first stage is too aggressive, you might flood the second stage with too many false positives, overloading resources. If it&#8217;s too lenient, you risk too many false negatives skipping detailed scrutiny.</p><p>Edge case: In medical diagnostics, you might have a preliminary screening test (which can afford to be highly sensitive, i.e., few false negatives) followed by a confirmatory test (which aims to reduce false positives). The overall result is that Type I or Type II error is more tightly controlled across the pipeline.</p><h2><strong>How Might an Adversary Exploit Knowledge of Your System&#8217;s False Positive or False Negative Rates?</strong></h2><p>In adversarial settings (fraud, spam, cybersecurity), attackers might deliberately craft inputs that exploit your system&#8217;s weaknesses. If they realize the system is tuned to avoid false positives at all costs, they might attempt borderline behaviors that slip under the threshold.</p><p>Pitfall: If you publicly disclose that your system has a very low tolerance for false positives, adversaries might guess that your threshold is set high, so they can operate in a region just below that threshold to evade detection (increasing Type II errors).</p><p>Edge case: A dynamic adversary might run test queries to see when they trigger a positive. This feedback loop lets them calibrate their own strategy. The interplay of Type I/Type II errors becomes an arms race, where each side attempts to outmaneuver the other&#8217;s boundary.</p>]]></content:encoded></item><item><title><![CDATA[ML Interview Q Series: Decoding P-values: Accurate Interpretation in Hypothesis Testing and A/B Experiments.]]></title><description><![CDATA[&#128218; Browse the full ML Interview series here.]]></description><link>https://www.rohan-paul.com/p/ml-interview-q-series-decoding-p</link><guid isPermaLink="false">https://www.rohan-paul.com/p/ml-interview-q-series-decoding-p</guid><pubDate>Fri, 13 Jun 2025 09:21:47 GMT</pubDate><enclosure url="https://substackcdn.com/image/fetch/$s_!jYBf!,f_auto,q_auto:good,fl_progressive:steep/https%3A%2F%2Fsubstack-post-media.s3.amazonaws.com%2Fpublic%2Fimages%2Fa3c2de7b-55b3-4629-8e95-7bbf3c780171_1024x576.png" length="0" type="image/jpeg"/><content:encoded><![CDATA[<div class="captioned-image-container"><figure><a class="image-link image2 is-viewable-img" target="_blank" href="https://substackcdn.com/image/fetch/$s_!jYBf!,f_auto,q_auto:good,fl_progressive:steep/https%3A%2F%2Fsubstack-post-media.s3.amazonaws.com%2Fpublic%2Fimages%2Fa3c2de7b-55b3-4629-8e95-7bbf3c780171_1024x576.png" data-component-name="Image2ToDOM"><div class="image2-inset"><picture><source type="image/webp" srcset="https://substackcdn.com/image/fetch/$s_!jYBf!,w_424,c_limit,f_webp,q_auto:good,fl_progressive:steep/https%3A%2F%2Fsubstack-post-media.s3.amazonaws.com%2Fpublic%2Fimages%2Fa3c2de7b-55b3-4629-8e95-7bbf3c780171_1024x576.png 424w, https://substackcdn.com/image/fetch/$s_!jYBf!,w_848,c_limit,f_webp,q_auto:good,fl_progressive:steep/https%3A%2F%2Fsubstack-post-media.s3.amazonaws.com%2Fpublic%2Fimages%2Fa3c2de7b-55b3-4629-8e95-7bbf3c780171_1024x576.png 848w, https://substackcdn.com/image/fetch/$s_!jYBf!,w_1272,c_limit,f_webp,q_auto:good,fl_progressive:steep/https%3A%2F%2Fsubstack-post-media.s3.amazonaws.com%2Fpublic%2Fimages%2Fa3c2de7b-55b3-4629-8e95-7bbf3c780171_1024x576.png 1272w, https://substackcdn.com/image/fetch/$s_!jYBf!,w_1456,c_limit,f_webp,q_auto:good,fl_progressive:steep/https%3A%2F%2Fsubstack-post-media.s3.amazonaws.com%2Fpublic%2Fimages%2Fa3c2de7b-55b3-4629-8e95-7bbf3c780171_1024x576.png 1456w" sizes="100vw"><img src="https://substackcdn.com/image/fetch/$s_!jYBf!,w_1456,c_limit,f_auto,q_auto:good,fl_progressive:steep/https%3A%2F%2Fsubstack-post-media.s3.amazonaws.com%2Fpublic%2Fimages%2Fa3c2de7b-55b3-4629-8e95-7bbf3c780171_1024x576.png" width="1024" height="576" data-attrs="{&quot;src&quot;:&quot;https://substack-post-media.s3.amazonaws.com/public/images/a3c2de7b-55b3-4629-8e95-7bbf3c780171_1024x576.png&quot;,&quot;srcNoWatermark&quot;:null,&quot;fullscreen&quot;:null,&quot;imageSize&quot;:null,&quot;height&quot;:576,&quot;width&quot;:1024,&quot;resizeWidth&quot;:null,&quot;bytes&quot;:818591,&quot;alt&quot;:null,&quot;title&quot;:null,&quot;type&quot;:&quot;image/png&quot;,&quot;href&quot;:null,&quot;belowTheFold&quot;:false,&quot;topImage&quot;:true,&quot;internalRedirect&quot;:&quot;https://www.rohan-paul.com/i/165852537?img=https%3A%2F%2Fsubstack-post-media.s3.amazonaws.com%2Fpublic%2Fimages%2Fa3c2de7b-55b3-4629-8e95-7bbf3c780171_1024x576.png&quot;,&quot;isProcessing&quot;:false,&quot;align&quot;:null,&quot;offset&quot;:false}" class="sizing-normal" alt="" srcset="https://substackcdn.com/image/fetch/$s_!jYBf!,w_424,c_limit,f_auto,q_auto:good,fl_progressive:steep/https%3A%2F%2Fsubstack-post-media.s3.amazonaws.com%2Fpublic%2Fimages%2Fa3c2de7b-55b3-4629-8e95-7bbf3c780171_1024x576.png 424w, https://substackcdn.com/image/fetch/$s_!jYBf!,w_848,c_limit,f_auto,q_auto:good,fl_progressive:steep/https%3A%2F%2Fsubstack-post-media.s3.amazonaws.com%2Fpublic%2Fimages%2Fa3c2de7b-55b3-4629-8e95-7bbf3c780171_1024x576.png 848w, https://substackcdn.com/image/fetch/$s_!jYBf!,w_1272,c_limit,f_auto,q_auto:good,fl_progressive:steep/https%3A%2F%2Fsubstack-post-media.s3.amazonaws.com%2Fpublic%2Fimages%2Fa3c2de7b-55b3-4629-8e95-7bbf3c780171_1024x576.png 1272w, https://substackcdn.com/image/fetch/$s_!jYBf!,w_1456,c_limit,f_auto,q_auto:good,fl_progressive:steep/https%3A%2F%2Fsubstack-post-media.s3.amazonaws.com%2Fpublic%2Fimages%2Fa3c2de7b-55b3-4629-8e95-7bbf3c780171_1024x576.png 1456w" sizes="100vw" fetchpriority="high"></picture><div class="image-link-expand"><div class="pencraft pc-display-flex pc-gap-8 pc-reset"><button tabindex="0" type="button" class="pencraft pc-reset pencraft icon-container restack-image"><svg role="img" width="20" height="20" viewBox="0 0 20 20" fill="none" stroke-width="1.5" stroke="var(--color-fg-primary)" stroke-linecap="round" stroke-linejoin="round" xmlns="http://www.w3.org/2000/svg"><g><title></title><path d="M2.53001 7.81595C3.49179 4.73911 6.43281 2.5 9.91173 2.5C13.1684 2.5 15.9537 4.46214 17.0852 7.23684L17.6179 8.67647M17.6179 8.67647L18.5002 4.26471M17.6179 8.67647L13.6473 6.91176M17.4995 12.1841C16.5378 15.2609 13.5967 17.5 10.1178 17.5C6.86118 17.5 4.07589 15.5379 2.94432 12.7632L2.41165 11.3235M2.41165 11.3235L1.5293 15.7353M2.41165 11.3235L6.38224 13.0882"></path></g></svg></button><button tabindex="0" type="button" class="pencraft pc-reset pencraft icon-container view-image"><svg xmlns="http://www.w3.org/2000/svg" width="20" height="20" viewBox="0 0 24 24" fill="none" stroke="currentColor" stroke-width="2" stroke-linecap="round" stroke-linejoin="round" class="lucide lucide-maximize2 lucide-maximize-2"><polyline points="15 3 21 3 21 9"></polyline><polyline points="9 21 3 21 3 15"></polyline><line x1="21" x2="14" y1="3" y2="10"></line><line x1="3" x2="10" y1="21" y2="14"></line></svg></button></div></div></div></a></figure></div><p>&#128218; Browse <strong><a href="https://rohanpaul.substack.com/s/ml-interview-series/archive?sort=new">the full ML Interview series here</a></strong>.</p><h2><strong>Interpreting p-values: In the context of hypothesis testing (such as evaluating an A/B test for an ML model), what does a p-value represent? If an experiment yields a p-value of 0.01, what does that imply about the result, and what are common misconceptions about what a p-value means?</strong></h2><p class="button-wrapper" data-attrs="{&quot;url&quot;:&quot;https://x.com/rohanpaul_ai&quot;,&quot;text&quot;:&quot;Connect with me on X (Twitter)&quot;,&quot;action&quot;:null,&quot;class&quot;:&quot;button-wrapper&quot;}" data-component-name="ButtonCreateButton"><a class="button primary button-wrapper" href="https://x.com/rohanpaul_ai"><span>Connect with me on X (Twitter)</span></a></p><p>Meaning of the p-value</p><p>A p-value is associated with the framework of hypothesis testing. It is the probability of obtaining results at least as extreme as those observed, assuming the null hypothesis is true. When we conduct a hypothesis test (for example, evaluating whether there is a statistically significant improvement in an A/B test), we start with a null hypothesis, often denoted as (H_0). The null hypothesis typically states that there is "no difference" or "no effect" between two conditions (e.g., no difference in click-through rates between the control and treatment variants).</p><div class="captioned-image-container"><figure><a class="image-link image2" target="_blank" href="https://substackcdn.com/image/fetch/$s_!-XUK!,f_auto,q_auto:good,fl_progressive:steep/https%3A%2F%2Fsubstack-post-media.s3.amazonaws.com%2Fpublic%2Fimages%2F279d09a9-cfc2-4654-8287-64c1cc1b1b8e_1171x74.png" data-component-name="Image2ToDOM"><div class="image2-inset"><picture><source type="image/webp" srcset="https://substackcdn.com/image/fetch/$s_!-XUK!,w_424,c_limit,f_webp,q_auto:good,fl_progressive:steep/https%3A%2F%2Fsubstack-post-media.s3.amazonaws.com%2Fpublic%2Fimages%2F279d09a9-cfc2-4654-8287-64c1cc1b1b8e_1171x74.png 424w, https://substackcdn.com/image/fetch/$s_!-XUK!,w_848,c_limit,f_webp,q_auto:good,fl_progressive:steep/https%3A%2F%2Fsubstack-post-media.s3.amazonaws.com%2Fpublic%2Fimages%2F279d09a9-cfc2-4654-8287-64c1cc1b1b8e_1171x74.png 848w, https://substackcdn.com/image/fetch/$s_!-XUK!,w_1272,c_limit,f_webp,q_auto:good,fl_progressive:steep/https%3A%2F%2Fsubstack-post-media.s3.amazonaws.com%2Fpublic%2Fimages%2F279d09a9-cfc2-4654-8287-64c1cc1b1b8e_1171x74.png 1272w, https://substackcdn.com/image/fetch/$s_!-XUK!,w_1456,c_limit,f_webp,q_auto:good,fl_progressive:steep/https%3A%2F%2Fsubstack-post-media.s3.amazonaws.com%2Fpublic%2Fimages%2F279d09a9-cfc2-4654-8287-64c1cc1b1b8e_1171x74.png 1456w" sizes="100vw"><img src="https://substackcdn.com/image/fetch/$s_!-XUK!,w_1456,c_limit,f_auto,q_auto:good,fl_progressive:steep/https%3A%2F%2Fsubstack-post-media.s3.amazonaws.com%2Fpublic%2Fimages%2F279d09a9-cfc2-4654-8287-64c1cc1b1b8e_1171x74.png" width="1171" height="74" data-attrs="{&quot;src&quot;:&quot;https://substack-post-media.s3.amazonaws.com/public/images/279d09a9-cfc2-4654-8287-64c1cc1b1b8e_1171x74.png&quot;,&quot;srcNoWatermark&quot;:null,&quot;fullscreen&quot;:null,&quot;imageSize&quot;:null,&quot;height&quot;:74,&quot;width&quot;:1171,&quot;resizeWidth&quot;:null,&quot;bytes&quot;:17832,&quot;alt&quot;:null,&quot;title&quot;:null,&quot;type&quot;:&quot;image/png&quot;,&quot;href&quot;:null,&quot;belowTheFold&quot;:false,&quot;topImage&quot;:false,&quot;internalRedirect&quot;:&quot;https://www.rohan-paul.com/i/165852537?img=https%3A%2F%2Fsubstack-post-media.s3.amazonaws.com%2Fpublic%2Fimages%2F279d09a9-cfc2-4654-8287-64c1cc1b1b8e_1171x74.png&quot;,&quot;isProcessing&quot;:false,&quot;align&quot;:null,&quot;offset&quot;:false}" class="sizing-normal" alt="" srcset="https://substackcdn.com/image/fetch/$s_!-XUK!,w_424,c_limit,f_auto,q_auto:good,fl_progressive:steep/https%3A%2F%2Fsubstack-post-media.s3.amazonaws.com%2Fpublic%2Fimages%2F279d09a9-cfc2-4654-8287-64c1cc1b1b8e_1171x74.png 424w, https://substackcdn.com/image/fetch/$s_!-XUK!,w_848,c_limit,f_auto,q_auto:good,fl_progressive:steep/https%3A%2F%2Fsubstack-post-media.s3.amazonaws.com%2Fpublic%2Fimages%2F279d09a9-cfc2-4654-8287-64c1cc1b1b8e_1171x74.png 848w, https://substackcdn.com/image/fetch/$s_!-XUK!,w_1272,c_limit,f_auto,q_auto:good,fl_progressive:steep/https%3A%2F%2Fsubstack-post-media.s3.amazonaws.com%2Fpublic%2Fimages%2F279d09a9-cfc2-4654-8287-64c1cc1b1b8e_1171x74.png 1272w, https://substackcdn.com/image/fetch/$s_!-XUK!,w_1456,c_limit,f_auto,q_auto:good,fl_progressive:steep/https%3A%2F%2Fsubstack-post-media.s3.amazonaws.com%2Fpublic%2Fimages%2F279d09a9-cfc2-4654-8287-64c1cc1b1b8e_1171x74.png 1456w" sizes="100vw"></picture><div></div></div></a></figure></div><p>This expression means: If (H_0) truly holds, we look at how likely we would be to see the current data we actually observed (or something even more extreme in the same direction). A "small" p-value suggests that we would rarely observe such data if (H_0) was indeed correct.</p><p>Interpretation of a p-value of 0.01</p><p>A p-value of 0.01 typically signals that, assuming the null hypothesis is true, there is a 1% probability of observing data as extreme (or more extreme) than what you observed in your experiment. This is usually taken to mean that the evidence in the data is relatively strong against the null hypothesis, because such results would only occur 1% of the time by random chance if there really were no difference.</p><p>Many organizations use a conventional threshold, such as 0.05, to define "statistical significance." When the p-value is below that threshold (p &lt; 0.05), the result is often called "statistically significant." For a p-value of 0.01, it is below 0.05, so the result would be considered statistically significant. However, choosing 0.05 or 0.01 as a cutoff is a somewhat arbitrary convention; it does not always imply real-world importance or guaranteed correctness.</p><p>Common misconceptions</p><p>One misconception is believing that the p-value is the probability that the null hypothesis is true. It does not represent (P(H_0 \mid \text{data})). Instead, it represents (P(\text{data} \mid H_0)). They are fundamentally different quantities. Another common misconception is that a p-value tells you the probability that your result will replicate, or that there is a certain percentage chance the observed difference is "real." Neither is correct.</p><p>A further misconception is thinking that a small p-value automatically translates to a large real-world effect size. Even if a p-value is small, the actual magnitude of the difference in an A/B test might be negligible. Statistical significance does not necessarily equate to practical significance.</p><p>A related misconception is the notion that a p-value of 0.01 means there is a 1% chance the experiment&#8217;s findings are due to random chance. That is not strictly correct, because the p-value is computed under the assumption that chance is the only factor at work (i.e., the null hypothesis). It is not the probability that chance alone created your effect. It is the probability that if the null were true, you would see data as extreme or more extreme 1% of the time.</p><div class="subscription-widget-wrap-editor" data-attrs="{&quot;url&quot;:&quot;https://www.rohan-paul.com/subscribe?&quot;,&quot;text&quot;:&quot;Subscribe&quot;,&quot;language&quot;:&quot;en&quot;}" data-component-name="SubscribeWidgetToDOM"><div class="subscription-widget show-subscribe"><div class="preamble"><p class="cta-caption">I write everyday for my readers on actionable AI. Subscribe and instantly get a 1300+ page Python book.</p></div><form class="subscription-widget-subscribe"><input type="email" class="email-input" name="email" placeholder="Type your email&#8230;" tabindex="-1"><input type="submit" class="button primary" value="Subscribe"><div class="fake-input-wrapper"><div class="fake-input"></div><div class="fake-button"></div></div></form></div></div><h2><strong>What are Type I and Type II errors, and how do they relate to p-values?</strong></h2><p>Type I error is rejecting the null hypothesis when the null hypothesis is actually true. In an A/B testing setting, this would mean concluding that your new model or variant is better when in reality it is not. The significance level ((\alpha)) of a test (often set at 0.05) is the maximum allowable probability of a Type I error. If you decide on an (\alpha) of 0.05, you are stating that you accept a 5% chance of erroneously rejecting a true null hypothesis.</p><p>The p-value is compared to (\alpha) to determine whether you should reject (H_0). When p-value &lt; (\alpha), the result is said to be statistically significant, and you proceed to reject (H_0). The probability of incorrectly rejecting (H_0) (when (H_0) is in fact true) is tied to your chosen significance level, so if you set (\alpha = 0.05), you are accepting up to a 5% risk of a Type I error.</p><p>Type II error is failing to reject the null hypothesis when it is actually false. This relates to test power: the higher the power of your experiment design, the lower the chance of a Type II error. Power is defined as (1 - \beta), where (\beta) is the probability of making a Type II error. The p-value doesn&#8217;t directly measure power, but a well-chosen sample size can help ensure that your test has sufficient power to detect the effects that you care about.</p><h2><strong>What if we run multiple tests without accounting for multiple comparisons?</strong></h2><p>Conducting multiple hypothesis tests without any correction can inflate your overall Type I error rate. If you run many parallel tests and keep (\alpha = 0.05) for each test, the chance that you get at least one false positive (Type I error) across all tests increases substantially. Common ways to adjust for multiple comparisons include the Bonferroni correction, the Holm-Bonferroni method, or the Benjamini-Hochberg procedure. These methods adjust the threshold or procedure for declaring significance so that the overall family-wise error rate remains controlled at a desired level.</p><p>If you do not account for multiple comparisons, a p-value of 0.01 might be less meaningful than you think, because if you have 100 comparisons, purely by chance you might expect around 1 significant result at the 1% level even if all null hypotheses are truly correct. This can lead to &#8220;false discoveries&#8221; if the analyst is not careful.</p><h2><strong>How is the p-value connected to confidence intervals?</strong></h2><p>A 95% confidence interval for a parameter (for example, the difference in conversion rates between two variants) is closely related to a significance test at (\alpha = 0.05). A 95% confidence interval that does not include 0 is akin to rejecting the null hypothesis at that level. While a confidence interval provides a range of plausible values for the parameter, a p-value indicates how likely it is to see data at least as extreme, assuming no true effect. Both forms give related but distinct insights into the data. Confidence intervals help you see the potential size and direction of the effect, while p-values give a sense of how unexpected your results are under (H_0).</p><h2><strong>How do we avoid p-hacking and misinterpretation of p-values?</strong></h2><p>P-hacking arises when researchers run many analyses, measure many outcomes, or repeatedly peek at the data until they find a p-value below 0.05. This leads to overstated significance and false discoveries. Best practices include:</p><p>Using a clear hypothesis and analysis plan prior to collecting data. Correcting for multiple comparisons if you test multiple hypotheses. Performing power analysis to choose an adequate sample size. Reporting effect sizes and confidence intervals, not just p-values. Looking at real-world significance or cost-benefit considerations rather than only statistical significance.</p><p>Ensuring code and data transparency also helps. Colleagues or reviewers can validate whether the analyses conformed to a pre-established plan. In real-world ML product experiments, it is wise to avoid repeated significance testing as data trickles in, unless your procedure is specifically designed for sequential analysis (e.g., using group sequential methods or Bayesian approaches).</p><p>By carefully designing experiments, choosing an appropriate (\alpha), and interpreting results in the context of effect size, domain knowledge, and the cost of errors, one can get the most out of p-values and avoid the pitfalls and misconceptions tied to them.</p><div><hr></div><h2><strong>Below are additional follow-up questions</strong></h2><h2><strong>What if the underlying assumptions of the statistical test are violated?</strong></h2><p>When we talk about p-values in a classical frequentist framework (for example, a t-test or a z-test), there are standard assumptions such as normality of residuals, independence of observations, and homoscedasticity (equal variances in different groups). If these assumptions are violated, the theoretical distributions used to compute the p-value (e.g., the t-distribution for a two-sample t-test) may not match the actual behavior of the data. Consequently, the calculated p-values might be misleading or incorrect.</p><p>One subtlety is that many tests (especially the t-test) are reasonably robust to mild violations of normality if sample sizes are sufficiently large, thanks to the Central Limit Theorem. However, if the dataset is small or has strong outliers, normality assumptions can be severely violated. In such cases:</p><ul><li><p>You might switch to a non-parametric alternative (like the Mann-Whitney U test or Wilcoxon Signed-Rank test).</p></li><li><p>You might transform your data (log transform, Box-Cox transform, etc.) to stabilize variance or approximate normality.</p></li><li><p>You might use a permutation test or bootstrap-based test that does not rely on the same parametric assumptions.</p></li></ul><p>An edge case is strong autocorrelation in time series data or in certain ML applications where the data points might not be truly independent. Even if sample sizes are large, correlated observations can cause standard tests to underestimate or overestimate variability, leading to incorrect p-values. For instance, if your data come from a streaming service with user sessions that overlap, independence assumptions might break down. In such scenarios, methods that model correlation (like mixed-effects models or time-series-specific tests) can help produce more reliable inferences.</p><h2><strong>How do small or large sample sizes affect the p-value interpretation?</strong></h2><h3><strong>Very small sample sizes</strong></h3><p>If your sample size is tiny, you might get unstable estimates of the variance or effect size. P-values in that context can swing dramatically with the addition or removal of just a few data points. Even if the effect is truly present, the test may not detect it due to low statistical power, resulting in a high likelihood of Type II error (failing to reject the null when it is indeed false). It also becomes more likely that assumptions of the test are not met (e.g., normality). Confidence intervals tend to be very wide, suggesting high uncertainty.</p><h3><strong>Very large sample sizes</strong></h3><p>With massive datasets, even minuscule differences can become &#8220;statistically significant&#8221; if the test&#8217;s assumptions are not violated. A difference that is practically irrelevant&#8212;for instance, a 0.0001% increase in a click-through rate&#8212;might yield a very low p-value simply because the sample size is enormous. In such scenarios, you may declare "statistically significant" but find the real-world impact is negligible. Here, it&#8217;s essential to look at effect sizes, confidence intervals, domain context, and cost-benefit analyses. Statistical significance alone does not imply practical significance.</p><p>A subtle pitfall in large-scale ML experiments is data leakage or unaccounted-for confounding factors. Because of the large volume of data, extremely small confounding effects can become detectable. You need careful experiment design (randomization, stratification if needed) to ensure that your measured effect is truly attributed to the condition being tested.</p><h2><strong>How do p-values differ for one-sided vs. two-sided tests, and when should each be used?</strong></h2><p>In hypothesis testing, you must define whether you&#8217;re testing a one-sided or two-sided alternative hypothesis:</p><ul><li><p><strong>One-sided test</strong>: You hypothesize a difference in a specific direction. For example, you might state that version B has a higher average conversion rate than version A. The entire significance &#8220;tail&#8221; is placed on one side of the distribution (above or below, depending on your direction).</p></li><li><p><strong>Two-sided test</strong>: You hypothesize a difference in either direction. For instance, you only know that version B&#8217;s conversion rate might differ (be higher or lower) from version A&#8217;s, and you&#8217;re testing for any departure from the status quo.</p></li></ul><p>If you use a one-sided test incorrectly (simply because you noticed your difference was positive and you only want to see significance in that direction), you can overstate the significance of your result. Realistically, a two-sided test is safer when you are open to the possibility of your new variant performing either better or worse. A one-sided test should be chosen before examining the data and only if a negative direction is of no practical or theoretical interest.</p><p>A common pitfall is to run a two-sided test, see a near-significant result in the expected direction, then switch to a one-sided test after seeing the data. This post-hoc decision effectively changes the experiment plan, increasing the risk of Type I error.</p><h2><strong>In what ways can correlated data or repeated measures impact p-value calculation?</strong></h2><p>In many real-world ML applications (especially in recommendation systems, time series forecasting, or repeated user testing scenarios), the assumption of independent and identically distributed samples can break. Correlation or repeated measures (e.g., the same user appearing multiple times under different conditions) can severely affect the estimated variance, typically making naive standard errors too low and p-values artificially small.</p><p>For example, if the same user is exposed to both control and treatment under a within-subject design, or if you measure the same user over multiple time points, repeated measurements are not truly independent. Handling these cases can involve:</p><ul><li><p><strong>Mixed-effects models (also known as hierarchical linear models)</strong>: These introduce random intercepts/slopes for individuals or groups, helping capture correlation within the same user or group of users.</p></li><li><p><strong>Blocking or stratification</strong>: If you know data come in blocks (for instance, days, geographies, or user cohorts), you can incorporate that in the modeling.</p></li><li><p><strong>Time-series methods</strong>: If measurements are sequential, specialized time-series analysis (ARIMA, state-space models, etc.) can factor in autocorrelation.</p></li></ul><p>Failing to address correlation often makes p-values misleadingly small, because the tests assume more independent information is present than there really is.</p><h2><strong>How do we handle missing data in hypothesis testing, and how does it affect p-values?</strong></h2><p>Missing data often arises in A/B tests or observational studies. For example, some users might not complete the funnel or might not be tracked properly. If you simply discard incomplete observations, you can create bias if the missingness is not random. Non-random missingness (missing not at random, or MNAR) can systematically skew your results, causing the test&#8217;s assumptions to break down.</p><p>Possible strategies:</p><ul><li><p>Imputation: For example, you might impute missing values based on mean, median, or model-based predictions. However, incorrectly specifying an imputation model can bias the distribution and p-values.</p></li><li><p><strong>Multiple imputation</strong>: You impute several plausible datasets, run your hypothesis tests on each, and then pool the results. This helps account for the uncertainty in imputation.</p></li><li><p><strong>Sensitivity analysis</strong>: Investigate how different missing-data assumptions change the outcome. If you find that small changes in the imputation procedure drastically shift the p-value, you know your test result is sensitive to the missing data process.</p></li></ul><p>In short, missing data can add complexity and uncertainty. If not addressed properly, it can lead to either inflated or deflated p-values, and your final inferences may be invalid.</p><h2><strong>How do we interpret p-values in the context of adaptive or sequential experimentation?</strong></h2><p>Many real-world ML experiments do not collect data in a single batch. Instead, product teams might want to terminate or pivot an experiment early if results appear conclusive or if performance looks dismal. However, sequentially monitoring the p-value after each batch of data (often called &#8220;peeking&#8221;) inflates the Type I error rate. Because we are effectively doing multiple tests over time, the chance of incorrectly rejecting the null at least once increases.</p><p>Adaptive or sequential designs (such as group sequential methods or techniques like alpha-spending functions) give formal ways to monitor and stop trials early while controlling the overall Type I error. In these designs:</p><ul><li><p>The experiment plan explicitly states at which points you will check the data and how you will adjust your significance threshold.</p></li><li><p>Methods like O&#8217;Brien-Fleming or Pocock boundaries define how to spend your alpha across multiple interim analyses.</p></li><li><p>Alternatively, a fully Bayesian approach can track posterior distributions rather than repeated p-values.</p></li></ul><p>A common pitfall is to check the p-value daily and stop as soon as it dips below 0.05. This practice can lead to a much higher false-positive rate than 5%. Proper sequential or Bayesian methods ensure you can adapt in an online environment while still having valid inferences.</p><h2><strong>Can p-values alone determine real-world decisions, or do we need effect sizes and confidence intervals?</strong></h2><p>P-values by themselves only provide a gauge of how incompatible your data appear with the null hypothesis. They do not quantify the size of the effect. You can have a very small p-value with a trivially small difference in means or proportions if the sample size is large. Conversely, you might have a &#8220;borderline&#8221; p-value with a large effect size if your sample size is small, leaving you with high uncertainty.</p><p>Professional practice typically involves examining:</p><ul><li><p><strong>Effect size</strong>: This could be the raw difference in means (like a 5% increase in click-through rate) or standardized differences (Cohen&#8217;s d, etc.). A large effect size can be valuable in practical terms even if the p-value is borderline.</p></li><li><p><strong>Confidence intervals (CIs)</strong>: A 95% CI for the difference in means or proportions shows the range of plausible values given the observed data. If it&#8217;s narrow and far from zero, that gives strong evidence of a meaningful effect. If the interval is wide, your data may not be sufficiently precise to draw a robust conclusion, even if the p-value is small or large.</p></li></ul><p>Decision-making in an ML environment often factors in cost, user experience, product design considerations, and risk tolerance. A purely statistical approach that looks at p-values alone can overlook these pragmatic aspects.</p><h2><strong>What strategies can be used to avoid over-reliance on p-values in an ML context?</strong></h2><p>Although p-values are a mainstay of statistical testing, modern ML practices sometimes emphasize alternative or complementary techniques:</p><ul><li><p><strong>Bayesian approaches</strong>: Instead of p-values, Bayesian analysis uses posterior probability distributions to show how likely a parameter (e.g., the difference between two treatments) is to lie above or below a certain threshold.</p></li><li><p><strong>Estimation-focused approaches</strong>: Emphasizing confidence intervals or credible intervals over yes/no significance decisions.</p></li><li><p><strong>Effect size and ROI analysis</strong>: A real-world question might be &#8220;If we launch this feature, do we expect at least a 2% improvement in user engagement?&#8221; You can compare your observed effect or posterior distribution to that threshold.</p></li><li><p><strong>Likelihood ratios</strong>: Likelihood ratio tests or information criteria (AIC, BIC) can sometimes be more direct for comparing model fits without relying solely on p-values.</p></li><li><p><strong>Cross-validation or out-of-sample performance</strong>: In purely predictive ML contexts, performance metrics like accuracy, precision, recall, or AUC on holdout sets or cross-validation folds might be more relevant than p-values about parameter significance.</p></li></ul><p>A pitfall is to treat p-values as the only yardstick of success. Many advanced ML methods&#8212;such as neural networks, tree-based ensemble methods, or large language models&#8212;do not inherently produce p-values for their predictions; they rely on metrics and confidence estimates of predictive performance. When doing A/B tests, yes, p-values are common, but that is typically just one piece of the entire model-evaluation puzzle.</p><h2><strong>How should we address the possibility of publication bias or selective reporting in ML experiments?</strong></h2><p>In a corporate setting, teams might run experiments but only internally publicize or share the &#8220;success stories.&#8221; Similarly, academic research can sometimes face publication bias where papers with significant p-values are more likely to be accepted for publication. This selective reporting can distort the perceived success rate of proposed techniques.</p><p>Some ways to combat this:</p><ul><li><p><strong>Pre-registration</strong>: Define your hypotheses, metrics, and analysis plan before you see the data. Document them. Then, even if the results turn out to be non-significant, you still share them.</p></li><li><p><strong>Reproducible pipelines</strong>: Keep a robust pipeline with version-controlled data, analysis scripts, and environment settings so that internal or external stakeholders can verify that no hidden &#8220;forking paths&#8221; or selective analyses were done.</p></li><li><p><strong>Embrace negative or null results</strong>: In some development teams, a &#8220;null result&#8221; might be equally valuable because it prevents wasted resources on a non-effective feature. Transparent reporting helps the organization make well-informed decisions across multiple experiments.</p></li></ul><p>A subtle pitfall is that teams might not see negative results from other groups or time periods and thus replicate mistakes. This can be especially problematic in big companies with many teams. Having a central registry of experiments&#8212;both successes and failures&#8212;can reduce the risk of duplicating efforts.</p><h2><strong>How do we use p-values in the presence of confounders or multi-variate settings?</strong></h2><p>Many real-world problems involve more than one factor influencing an outcome. Suppose you are testing the effect of a new model interface on user satisfaction, but user demographics or device types are also strongly correlated with satisfaction. If these are not balanced between the control and treatment groups, a simple univariate test might give a misleading p-value.</p><p>Common approaches:</p><ul><li><p><strong>Randomization with stratification</strong>: Pre-stratify or block on known confounders (e.g., device type: iOS vs. Android) to ensure balanced representation across groups.</p></li><li><p><strong>Multivariate regression modeling</strong>: A linear or logistic regression can include confounding variables as additional predictors. The p-value for your &#8220;treatment&#8221; variable in this model accounts for partialing out the effects of confounders.</p></li><li><p><strong>Propensity score matching</strong> (in observational studies): Match or weight subjects in the treatment and control groups to create a pseudo-randomized effect, then compute p-values after balancing.</p></li><li><p><strong>Causal inference methods</strong>: Tools like difference-in-differences, instrumental variables, or synthetic controls can help if standard randomization was not feasible.</p></li></ul><p>A pitfall is ignoring confounders and assuming your experiment is purely random or ignoring differences in user populations. Another subtlety is overfitting a model with too many covariates, which can produce artificially small p-values for some terms just by chance. Rigorous validation and domain understanding are key.</p><h2><strong>How do we interpret p-values when dealing with classification thresholds and multiple metrics?</strong></h2><p>In ML tasks, you might have multiple metrics&#8212;precision, recall, F1-score, ROC-AUC, etc.&#8212;and various classification thresholds you tune for a model. If you test each combination of threshold and metric for significance, you inflate Type I error due to multiple comparisons.</p><p>Potential approaches:</p><ul><li><p><strong>Pre-specify a primary metric</strong>: For instance, if recall is critical for your application, define recall at a specific threshold as your primary metric before testing anything else.</p></li><li><p><strong>Use corrections for multiple hypotheses</strong>: If you must compare multiple metrics or thresholds, you can apply methods like Bonferroni or Holm-Bonferroni to adjust your significance level.</p></li><li><p><strong>Multivariate or rank-based methods</strong>: In some advanced scenarios, you can define a single composite objective that captures multiple performance aspects.</p></li></ul><p>A real-world pitfall is that teams might keep adjusting the classification threshold until they see a &#8220;significant&#8221; difference, inadvertently p-hacking their results. A more robust method is to fix the threshold selection method (e.g., maximizing F1 on a validation set) before you perform any final hypothesis test.</p><h2><strong>How do seasonal or time-dependent trends affect p-values in A/B tests?</strong></h2><p>Seasonality or trending behavior over time can influence performance metrics. For instance, user engagement might be higher during weekends or holidays. If your A/B test does not account for these trends, your p-value might reflect differences in seasonality rather than differences caused by the experimental variant.</p><p>Potential strategies include:</p><ul><li><p><strong>Randomization with time blocking</strong>: Launch control and treatment variants simultaneously across the same time intervals.</p></li><li><p><strong>Use difference-in-differences</strong>: For each time window or day, collect baseline from control vs. treatment, then look at changes over time.</p></li><li><p><strong>Wait for full seasonal cycles</strong>: If your product experiences strong weekly or monthly cycles, ensure your test runs for enough time to capture them.</p></li><li><p><strong>Use a time-series approach</strong>: Model seasonality explicitly (e.g., with seasonal ARIMA) and evaluate the incremental effect of the treatment as an additional component.</p></li></ul><p>A hidden pitfall arises if you run an experiment for too short a window during, say, a holiday surge, and incorrectly generalize the result. That can lead to spurious significance or missing the true effect that you&#8217;d see during normal periods.</p><h2><strong>How might we handle extremely low-frequency events?</strong></h2><p>Some metrics&#8212;like rare adverse events or extremely large purchases&#8212;occur only infrequently. When dealing with low-frequency data, standard asymptotic approximations used to derive p-values (like those in a typical z-test for proportions) may not hold. The distribution might be heavily skewed, and zero counts might be common.</p><p>In these cases:</p><ul><li><p><strong>Exact tests</strong>: Techniques like Fisher&#8217;s Exact Test can be used for categorical data with low counts.</p></li><li><p>Bootstrapping: You can bootstrap (resample) your dataset many times to empirically approximate the distribution of your metric and derive an empirical p-value.</p></li><li><p><strong>Aggregated metrics</strong>: You might consider combining multiple similar outcomes or extending the time window to capture more events, though that risks mixing in confounders or ignoring time dynamics.</p></li></ul><p>A pitfall is concluding no effect just because the data are too sparse to detect small differences. With extremely rare events, you might need a much larger sample or a longer observation period to achieve sufficient statistical power.</p><h2><strong>What are potential issues if the p-value threshold is changed after seeing results?</strong></h2><p>It&#8217;s a common temptation: an experiment yields a p-value of 0.06 under a significance threshold of 0.05, and the team says, &#8220;Well, 0.06 is close. Let&#8217;s just adopt 0.10 or 0.06 as our new threshold.&#8221; This is a form of &#8220;significance chasing.&#8221; It undercuts the principle that the significance level ((\alpha)) should be set before observing data. If you adapt (\alpha) based on the observed results, you can no longer interpret the p-value as you originally intended.</p><p>A direct real-world pitfall is that repeated flexible changes to the p-value threshold effectively p-hack the experiment, leading to inflated false-positive rates. If you must adapt or deviate from the initial plan for legitimate reasons, you should document the rationale and note that the resulting p-values are &#8220;exploratory&#8221; rather than confirmatory. In many regulated industries (like pharmaceuticals), changing (\alpha) post-hoc is simply disallowed because it invalidates claims about Type I error control.</p><h2><strong>When do non-significant p-values still lead to important insights?</strong></h2><p>Failing to reject the null hypothesis (i.e., obtaining a large p-value) is not necessarily uninformative. Sometimes, a non-significant result&#8212;especially one accompanied by a narrow confidence interval around zero&#8212;can suggest that if there is an effect, it&#8217;s likely small and might be of no practical consequence. That can guide business or product decisions: maybe there is no justification for rolling out a new feature if it doesn&#8217;t appear to meaningfully change a core metric.</p><p>However, a non-significant result with a very wide confidence interval could indicate a lack of data or power to draw meaningful conclusions. In that scenario, the correct takeaway is not that &#8220;there&#8217;s no effect&#8221; but rather &#8220;the data are inconclusive.&#8221; Additional data collection or improvements to the experiment design could be warranted.</p><p>Real-world subtlety: Even if the p-value is &gt; 0.05, you might glean valuable knowledge about the effect&#8217;s plausible range. If the confidence interval is large but includes a moderate or large positive effect, you might want to refine the experiment or collect more data to confirm or refute that possibility.</p><h2><strong>How do domain-specific cost functions interact with p-values?</strong></h2><p>In many ML applications, the cost of false positives vs. false negatives can differ greatly. For example, in fraud detection, a Type II error (failing to catch fraud) might be extremely costly, whereas a Type I error (flagging a genuine transaction as fraud) might be less costly or equally costly but in different ways. P-values reflect the probability of data given the null, but they don&#8217;t inherently encode domain-specific cost functions.</p><p>An extremely small p-value might justify a decision to adopt a new system, but if the cost of false alarms or the risk to user experience is high, you might still proceed more cautiously. In other words:</p><ul><li><p><strong>High cost of Type I</strong>: You might choose a more stringent (\alpha) (e.g., 0.01 or 0.001) to reduce the risk of adopting a harmful change.</p></li><li><p><strong>High cost of Type II</strong>: You might accept a more relaxed significance threshold to avoid missing a potentially valuable improvement.</p></li></ul><p>In practice, data scientists often weigh business priorities and potential upside/downside alongside p-values or confidence intervals, forging a more holistic approach to making decisions.</p><h2><strong>Why might we consider effect sizes or Bayesian posterior probabilities in addition to p-values?</strong></h2><p>Effect sizes and Bayesian posterior probabilities can provide more intuitive insights:</p><ul><li><p><strong>Effect sizes</strong> show how large the impact is, which helps gauge practical importance rather than just the presence or absence of significance.</p></li><li><p><strong>Bayesian posterior probabilities</strong> let you phrase conclusions like &#8220;We have a 95% probability that the improvement is at least 2%,&#8221; which can be more directly aligned with business or product goals than saying &#8220;We reject the null hypothesis at p &lt; 0.05.&#8221;</p></li></ul><p>In a real-world ML environment, telling stakeholders &#8220;the new recommendation algorithm has a 2.5% chance to be worse than the existing one and a 97.5% chance to be better&#8221; might resonate more than &#8220;the difference was statistically significant at the 5% level,&#8221; especially if decisions involve risk tolerance and ROI.</p><p>A pitfall in purely frequentist approaches is that p-values alone cannot straightforwardly express statements about the probability that a hypothesis is true; they are statements about data given the hypothesis. Bayesian approaches can tackle that question directly (with prior assumptions), but this requires careful choice of priors and might be computationally more complex.</p><h2><strong>How can we ensure that p-value results are robust across different data segments?</strong></h2><p>You might find a significant difference overall, but it could be driven primarily by a single segment of users (e.g., a certain geographic region, device type, or user demographic). Investigating segment-level differences (also known as subgroup analysis) is common and can be illuminating. However, repeatedly slicing the data by many factors can lead to multiple comparisons problems. The more segments you examine, the higher the chance of finding a spurious significant effect somewhere.</p><p>Techniques to address this:</p><ul><li><p><strong>Pre-specify key segments</strong> you are interested in analyzing based on domain knowledge (e.g., region, device type).</p></li><li><p><strong>Use hierarchical or multi-level models</strong> that allow partial pooling across segments, improving estimates in segments with less data.</p></li><li><p><strong>Apply corrections</strong> for multiple testing if you plan to do many subgroup analyses.</p></li></ul><p>A subtle real-world pitfall is that data scientists discover a strong effect in one small segment post-hoc and present that as an important insight, but it might be noise. If it&#8217;s purely exploratory, it should be labeled as such, and a follow-up experiment might be needed to confirm the effect in that segment.</p><h2><strong>Under what circumstances might a p-value misrepresent the &#8220;practical risk&#8221; of adopting a new model?</strong></h2><p>P-values revolve around the idea of the null hypothesis and the probability of seeing the observed data if the null is true. Even if p &lt; 0.05, an ML model that&#8217;s &#8220;better on average&#8221; might have worst-case performance scenarios that harm certain subsets of users or degrade performance in high-stakes situations.</p><p>Consider a text-generation model that is 5% better on standard benchmarks, with a p-value &lt; 0.01. If there is a 0.5% chance it generates highly offensive or problematic content, that might be unacceptable from a brand or user experience perspective. The p-value from your A/B test that measured average user satisfaction does not necessarily capture that risk. Real-world product decisions often incorporate fairness, risk tolerance, or compliance considerations.</p><p>One subtlety is that you can design metrics that incorporate risk. For instance, you might measure not only the mean outcome but also the worst decile or some safety-critical threshold. The p-value on that specialized metric might be more relevant to your real concerns, but it might not align with a classical approach that focuses on average differences.</p><h2><strong>How does the choice of test statistic impact the resulting p-value?</strong></h2><p>Hypothesis testing can use different test statistics: the difference in means, difference in medians, or more complicated metrics. Choice of test statistic can change how sensitive the test is to certain effects. For example:</p><ul><li><p>If the data are heavily skewed with outliers, a test based on means might be overly influenced by large but rare observations, potentially affecting the p-value&#8217;s stability.</p></li><li><p>A rank-based non-parametric statistic (like the Wilcoxon rank-sum for two independent samples) might be more robust to outliers, but less sensitive to differences in distribution tails.</p></li><li><p>In large-scale ML contexts, you might measure metrics like the AUC of a classifier. The variance of such metrics is not always straightforward; specialized tests or bootstrapping can be used to approximate the distribution of the AUC.</p></li></ul><p>A real-world pitfall is blindly applying a test statistic or formula that was taught in a standard class (e.g., t-test) without validating that the underlying assumptions apply to your specific ML-based or domain-specific metric.</p><h2><strong>Are there scenarios where effect direction flips depending on the data sample, and how does that affect interpreting p-values?</strong></h2><p>Sometimes, an effect might appear positive in one subset of data and negative in another&#8212;this is akin to Simpson&#8217;s paradox, where the sign or magnitude of an effect can change when data is aggregated vs. disaggregated. P-values do not inherently warn you about such phenomena. If you only look at the overall aggregated p-value, you may miss that in certain subgroups (like new vs. returning users) the effect direction is reversed.</p><p>In ML model deployment, you could inadvertently degrade user experience for a major segment while improving it for another. Or, you might average out to an overall improvement but create fairness or equity issues. Therefore, it&#8217;s critical to do a thorough exploratory analysis of possible effect modifiers. Where relevant, you can run separate hypothesis tests or use models that include interaction terms (subgroup &#215; treatment). If you do multiple subgroup analyses, remember to correct for multiple comparisons or treat those analyses as exploratory.</p><p>A subtle point is that if you break down your data to hunt for interesting patterns only after an overall test, you might need to do fresh confirmatory tests on new data to validate those patterns. Otherwise, you risk capitalizing on chance variations in the particular sample at hand.</p><h2><strong>What if p-values conflict with domain knowledge or prior evidence?</strong></h2><p>If domain experts strongly believe that a certain change should not have any effect, yet your test yields a tiny p-value, you may be seeing a chance anomaly, data contamination, or an unexpected confounding factor. Alternatively, it might be that the domain experts&#8217; assumption was incomplete. In such conflicts, it&#8217;s wise to:</p><ul><li><p>Double-check your data pipeline, randomization procedures, and potential confounders.</p></li><li><p>Re-run or replicate the experiment, if feasible.</p></li><li><p>Consult domain experts more closely to see if there could be an unaccounted-for mechanism that explains the effect.</p></li></ul><p>P-values are purely statistical, and domain knowledge might reveal that the effect is biologically or physically implausible. Conversely, domain experts might not have considered certain dynamic influences. Either way, replicating or collecting additional data helps resolve the disagreement. Blindly trusting or dismissing the p-value can both lead to errors.</p><h2><strong>What are some best practices for documenting p-values in final reports or internal dashboards?</strong></h2><p>In many tech companies, experiment results are shared through dashboards or analytics tools. Some recommendations for best practice:</p><ul><li><p><strong>Always provide sample sizes and effect sizes</strong> along with p-values.</p></li><li><p><strong>Include confidence intervals</strong> for the metric differences.</p></li><li><p><strong>Document the exact test used</strong> (t-test, z-test, non-parametric test, or a regression approach) and mention any assumptions.</p></li><li><p><strong>Specify the alpha level</strong> that you used and whether you corrected for multiple comparisons.</p></li><li><p><strong>If it&#8217;s a sequential test</strong>, mention how many times the data were &#8220;peeked at.&#8221;</p></li><li><p><strong>Provide disclaimers</strong> if any known confounders or data limitations exist.</p></li></ul><p>A subtle pitfall is presenting a p-value in isolation on a dashboard without context. Stakeholders might misinterpret its meaning or treat it as a conclusive, all-encompassing statement about the success or failure of a change. Transparent, thorough documentation reduces that risk.</p><h2><strong>How can we address noisy labels or measurement errors that might dilute p-values?</strong></h2><p>In some ML scenarios, your response variable might be noisy or your user feedback might be incomplete. Even if your experiment is well-designed, label noise can inflate the variance of your estimates, potentially leading to higher p-values (less chance of seeing a significant effect) or unpredictable bias.</p><p>Possible strategies:</p><ul><li><p><strong>Improve measurement</strong>: Better instrumentation or multiple measurement methods (e.g., collecting both direct user feedback and indirect usage metrics) can reduce noise.</p></li><li><p><strong>Data cleaning</strong>: Remove or correct suspicious data points if you have strong evidence that they are erroneous.</p></li><li><p><strong>Noise-robust metrics or transformations</strong>: If the distribution of noise is known or if outliers are frequent, a robust method (like median-based or rank-based tests) might yield more reliable p-values.</p></li><li><p><strong>Larger sample</strong>: Sometimes, the simplest solution is to increase your sample size to wash out random noise.</p></li></ul><p>A pitfall arises when you suspect you have &#8220;noisy data&#8221; but do not investigate the source of that noise. You might miss a real effect or interpret a spurious pattern as evidence of an effect. Proper diligence in data collection and validation is essential.</p><h2><strong>Could certain resampling or simulation methods be used to validate or refine p-values?</strong></h2><p>Yes. Bootstrap and permutation methods are popular in data science to empirically estimate the distribution of a test statistic:</p><ul><li><p><strong>Permutation tests</strong>: Randomly shuffle labels (e.g., treatment vs. control) under the assumption that the null hypothesis is true and compare the observed test statistic to the distribution of shuffled outcomes.</p></li><li><p>Bootstrap: Re-sample with replacement from the observed data multiple times, each time calculating the difference in means (or other metrics). This yields an empirical distribution of the difference, from which a p-value can be approximated.</p></li></ul><p>These methods can be especially useful if you lack confidence in the parametric assumptions of a standard test or if your data come from complex distributions. The main pitfall is computational cost&#8212;bootstrapping or permutation tests can be expensive for large datasets. Also, if the data collection process or randomization was flawed, resampling methods still replicate that flaw. Hence, the correctness of these approaches rests on the assumption that the original dataset is representative and that the labeling or grouping was done appropriately.</p><h2><strong>When might p-values be misleading in online recommendation systems?</strong></h2><p>Online recommendation systems often use multi-armed bandit approaches that adaptively shift traffic to the better-performing variant. Traditional p-values rely on fixed-allocation designs. If you feed more traffic to the current best performer as the experiment progresses, you are no longer sampling identically or independently from each arm. This adaptive data collection violates standard test assumptions for computing p-values.</p><p>A real-world subtlety is that multi-armed bandit algorithms prioritize optimizing cumulative reward over rigorous inference of significance. If you want both optimization and valid inference, you may need specialized methods (like Thompson sampling with Bayesian posteriors or group sequential frequentist methods). If you try to apply a standard p-value approach at the end of a bandit experiment, the Type I error is typically not well-controlled because of the repeated adaptation.</p><h2><strong>Is there a risk in conflating correlation with causation when interpreting p-values?</strong></h2><p>Yes. Even in an experiment that is believed to be randomized, unrecognized biases or unintentional selection effects could mean that your observed difference correlates with the treatment but is not fully caused by it. A p-value only tells you how surprising the data are under the null hypothesis; it doesn&#8217;t automatically prove that the observed difference is purely causal. Good experimental design and randomization help, but real-world complexities (unequal dropout rates, imperfect randomization, user self-selection, etc.) can reintroduce confounding.</p><p>In observational studies (where you didn&#8217;t randomly assign treatments), a small p-value might just reflect correlation. You must be extra cautious in concluding causality. Adjustments with regression or propensity scores help but do not guarantee the confounders have all been accounted for. This is a major pitfall in ML where observational data are abundant and experiments might be logistically difficult to run. Always remember that a statistically significant correlation does not necessarily imply a direct cause-and-effect relationship.</p><h2><strong>How can we handle scenarios where the p-value approach is not the most appropriate?</strong></h2><p>Sometimes, you might be dealing with:</p><ul><li><p>Non-standard outcomes (like user behavior distributions that are extremely skewed or multi-modal).</p></li><li><p>Complex dependencies (like network effects where one user&#8217;s treatment status affects another user&#8217;s outcome).</p></li><li><p>Very high-dimensional parameter spaces (like large-scale model parameter comparisons).</p></li></ul><p>In these scenarios:</p><ul><li><p><strong>Bayesian methods</strong>: Provide a flexible framework for modeling complicated data structures and directly obtaining posterior distributions.</p></li><li><p><strong>Simulation-based methods</strong>: If you can simulate from your model or environment, you might evaluate performance metrics more directly rather than relying on a closed-form p-value.</p></li><li><p><strong>Machine learning model comparisons</strong>: Out-of-sample performance measures with cross-validation or nested cross-validation might be more transparent or robust than focusing on a single p-value for the difference in performance.</p></li></ul><p>A pitfall is to shoehorn everything into a classic hypothesis testing framework when the real problem might be better served by more specialized approaches. Proper method selection depends on the exact nature of the data, the experiment design, and the business or product question at hand.</p>]]></content:encoded></item><item><title><![CDATA[ML Interview Q Series: Prior vs. Posterior: Understanding Bayesian Belief Updating with Data]]></title><description><![CDATA[&#128218; Browse the full ML Interview series here.]]></description><link>https://www.rohan-paul.com/p/ml-interview-q-series-prior-vs-posterior</link><guid isPermaLink="false">https://www.rohan-paul.com/p/ml-interview-q-series-prior-vs-posterior</guid><pubDate>Fri, 13 Jun 2025 09:15:14 GMT</pubDate><enclosure url="https://substackcdn.com/image/fetch/$s_!FdNs!,f_auto,q_auto:good,fl_progressive:steep/https%3A%2F%2Fsubstack-post-media.s3.amazonaws.com%2Fpublic%2Fimages%2Ff9948611-fa86-4d6e-a124-da16b1786f6f_1024x574.png" length="0" type="image/jpeg"/><content:encoded><![CDATA[<div class="captioned-image-container"><figure><a class="image-link image2 is-viewable-img" target="_blank" href="https://substackcdn.com/image/fetch/$s_!FdNs!,f_auto,q_auto:good,fl_progressive:steep/https%3A%2F%2Fsubstack-post-media.s3.amazonaws.com%2Fpublic%2Fimages%2Ff9948611-fa86-4d6e-a124-da16b1786f6f_1024x574.png" data-component-name="Image2ToDOM"><div class="image2-inset"><picture><source type="image/webp" srcset="https://substackcdn.com/image/fetch/$s_!FdNs!,w_424,c_limit,f_webp,q_auto:good,fl_progressive:steep/https%3A%2F%2Fsubstack-post-media.s3.amazonaws.com%2Fpublic%2Fimages%2Ff9948611-fa86-4d6e-a124-da16b1786f6f_1024x574.png 424w, https://substackcdn.com/image/fetch/$s_!FdNs!,w_848,c_limit,f_webp,q_auto:good,fl_progressive:steep/https%3A%2F%2Fsubstack-post-media.s3.amazonaws.com%2Fpublic%2Fimages%2Ff9948611-fa86-4d6e-a124-da16b1786f6f_1024x574.png 848w, https://substackcdn.com/image/fetch/$s_!FdNs!,w_1272,c_limit,f_webp,q_auto:good,fl_progressive:steep/https%3A%2F%2Fsubstack-post-media.s3.amazonaws.com%2Fpublic%2Fimages%2Ff9948611-fa86-4d6e-a124-da16b1786f6f_1024x574.png 1272w, https://substackcdn.com/image/fetch/$s_!FdNs!,w_1456,c_limit,f_webp,q_auto:good,fl_progressive:steep/https%3A%2F%2Fsubstack-post-media.s3.amazonaws.com%2Fpublic%2Fimages%2Ff9948611-fa86-4d6e-a124-da16b1786f6f_1024x574.png 1456w" sizes="100vw"><img src="https://substackcdn.com/image/fetch/$s_!FdNs!,w_1456,c_limit,f_auto,q_auto:good,fl_progressive:steep/https%3A%2F%2Fsubstack-post-media.s3.amazonaws.com%2Fpublic%2Fimages%2Ff9948611-fa86-4d6e-a124-da16b1786f6f_1024x574.png" width="1024" height="574" data-attrs="{&quot;src&quot;:&quot;https://substack-post-media.s3.amazonaws.com/public/images/f9948611-fa86-4d6e-a124-da16b1786f6f_1024x574.png&quot;,&quot;srcNoWatermark&quot;:null,&quot;fullscreen&quot;:null,&quot;imageSize&quot;:null,&quot;height&quot;:574,&quot;width&quot;:1024,&quot;resizeWidth&quot;:null,&quot;bytes&quot;:899486,&quot;alt&quot;:null,&quot;title&quot;:null,&quot;type&quot;:&quot;image/png&quot;,&quot;href&quot;:null,&quot;belowTheFold&quot;:false,&quot;topImage&quot;:true,&quot;internalRedirect&quot;:&quot;https://www.rohan-paul.com/i/165851063?img=https%3A%2F%2Fsubstack-post-media.s3.amazonaws.com%2Fpublic%2Fimages%2Ff9948611-fa86-4d6e-a124-da16b1786f6f_1024x574.png&quot;,&quot;isProcessing&quot;:false,&quot;align&quot;:null,&quot;offset&quot;:false}" class="sizing-normal" alt="" srcset="https://substackcdn.com/image/fetch/$s_!FdNs!,w_424,c_limit,f_auto,q_auto:good,fl_progressive:steep/https%3A%2F%2Fsubstack-post-media.s3.amazonaws.com%2Fpublic%2Fimages%2Ff9948611-fa86-4d6e-a124-da16b1786f6f_1024x574.png 424w, https://substackcdn.com/image/fetch/$s_!FdNs!,w_848,c_limit,f_auto,q_auto:good,fl_progressive:steep/https%3A%2F%2Fsubstack-post-media.s3.amazonaws.com%2Fpublic%2Fimages%2Ff9948611-fa86-4d6e-a124-da16b1786f6f_1024x574.png 848w, https://substackcdn.com/image/fetch/$s_!FdNs!,w_1272,c_limit,f_auto,q_auto:good,fl_progressive:steep/https%3A%2F%2Fsubstack-post-media.s3.amazonaws.com%2Fpublic%2Fimages%2Ff9948611-fa86-4d6e-a124-da16b1786f6f_1024x574.png 1272w, https://substackcdn.com/image/fetch/$s_!FdNs!,w_1456,c_limit,f_auto,q_auto:good,fl_progressive:steep/https%3A%2F%2Fsubstack-post-media.s3.amazonaws.com%2Fpublic%2Fimages%2Ff9948611-fa86-4d6e-a124-da16b1786f6f_1024x574.png 1456w" sizes="100vw" fetchpriority="high"></picture><div class="image-link-expand"><div class="pencraft pc-display-flex pc-gap-8 pc-reset"><button tabindex="0" type="button" class="pencraft pc-reset pencraft icon-container restack-image"><svg role="img" width="20" height="20" viewBox="0 0 20 20" fill="none" stroke-width="1.5" stroke="var(--color-fg-primary)" stroke-linecap="round" stroke-linejoin="round" xmlns="http://www.w3.org/2000/svg"><g><title></title><path d="M2.53001 7.81595C3.49179 4.73911 6.43281 2.5 9.91173 2.5C13.1684 2.5 15.9537 4.46214 17.0852 7.23684L17.6179 8.67647M17.6179 8.67647L18.5002 4.26471M17.6179 8.67647L13.6473 6.91176M17.4995 12.1841C16.5378 15.2609 13.5967 17.5 10.1178 17.5C6.86118 17.5 4.07589 15.5379 2.94432 12.7632L2.41165 11.3235M2.41165 11.3235L1.5293 15.7353M2.41165 11.3235L6.38224 13.0882"></path></g></svg></button><button tabindex="0" type="button" class="pencraft pc-reset pencraft icon-container view-image"><svg xmlns="http://www.w3.org/2000/svg" width="20" height="20" viewBox="0 0 24 24" fill="none" stroke="currentColor" stroke-width="2" stroke-linecap="round" stroke-linejoin="round" class="lucide lucide-maximize2 lucide-maximize-2"><polyline points="15 3 21 3 21 9"></polyline><polyline points="9 21 3 21 3 15"></polyline><line x1="21" x2="14" y1="3" y2="10"></line><line x1="3" x2="10" y1="21" y2="14"></line></svg></button></div></div></div></a></figure></div><p>&#128218; Browse <strong><a href="https://rohanpaul.substack.com/s/ml-interview-series/archive?sort=new">the full ML Interview series here</a></strong>.</p><h2><strong>Bayesian Prior vs Posterior: Explain the difference between a prior distribution and a posterior distribution in Bayesian inference. For instance, if you have a prior belief about the probability of an event and then observe new data, how do you update your belief to obtain the posterior?</strong></h2><p class="button-wrapper" data-attrs="{&quot;url&quot;:&quot;https://x.com/rohanpaul_ai&quot;,&quot;text&quot;:&quot;Connect with me on X (Twitter)&quot;,&quot;action&quot;:null,&quot;class&quot;:&quot;button-wrapper&quot;}" data-component-name="ButtonCreateButton"><a class="button primary button-wrapper" href="https://x.com/rohanpaul_ai"><span>Connect with me on X (Twitter)</span></a></p><p>Understanding Bayesian inference deeply revolves around how we represent our beliefs about unknown quantities (parameters or events) and how we update those beliefs when new evidence or data arrives. The framework uses &#8220;prior&#8221; and &#8220;posterior&#8221; distributions to capture these beliefs before and after observing data.</p><p>Bayesian inference is anchored in the idea that we have some initial assumption or &#8220;prior&#8221; about a parameter or event&#8217;s distribution. Then, after seeing observed data, we revise or update that assumption. This updated belief is known as the &#8220;posterior&#8221; distribution. Below is an in-depth explanation of each concept, the relationship between them, and potential follow-up discussions that might arise in a rigorous interview setting at a top technology company.</p><p>Heading for in-depth explanation (no numbering)</p><p>Prior Distribution</p><p>A prior distribution is a probability distribution that reflects our beliefs about a random variable (often a model parameter or an event&#8217;s probability) before we consider any new data. The term &#8220;prior&#8221; can sometimes be informed by domain knowledge, previous experiments, or purely subjective assumptions if we do not have much evidence. In more formal Bayesian terms:</p><ul><li><p>The prior encapsulates what we think is plausible for the parameter&#8217;s values. If we are not very sure, we might pick a broad or non-informative prior that spans a wide range of values. If we already have strong reason to believe the parameter is near a certain region, we might choose a more concentrated prior.</p></li><li><p>In practice, the choice of prior can heavily influence the resulting posterior when data is limited. As the dataset grows large, the influence of the prior typically diminishes, and the observed data takes center stage.</p></li></ul><p>Posterior Distribution</p><p>The posterior distribution is the probability distribution representing our updated belief about the parameter after seeing new data. Bayesian inference revolves around the concept of using observed evidence to adjust these beliefs. Intuitively:</p><ul><li><p>We take the prior distribution and modify it by the likelihood of the observed data to obtain the posterior distribution.</p></li><li><p>This posterior not only tells us the most likely values of the parameter but also provides a measure of uncertainty (through its shape and spread).</p></li></ul><p>Bayes&#8217; Theorem and the Update Rule</p><p>The rigorous mechanism that relates prior and posterior is Bayes&#8217; theorem. It essentially states that the posterior is proportional to the prior multiplied by the likelihood of the data under that prior assumption, all normalized by the evidence (or marginal likelihood).</p><p>Below is a typical expression of Bayes&#8217; theorem. We center it and put it in H1 style with double dollar signs around it, as per instructions:</p><div class="captioned-image-container"><figure><a class="image-link image2" target="_blank" href="https://substackcdn.com/image/fetch/$s_!xkVp!,f_auto,q_auto:good,fl_progressive:steep/https%3A%2F%2Fsubstack-post-media.s3.amazonaws.com%2Fpublic%2Fimages%2Fd03ac60d-ea2f-4068-9d89-4dc7785362b7_698x218.png" data-component-name="Image2ToDOM"><div class="image2-inset"><picture><source type="image/webp" srcset="https://substackcdn.com/image/fetch/$s_!xkVp!,w_424,c_limit,f_webp,q_auto:good,fl_progressive:steep/https%3A%2F%2Fsubstack-post-media.s3.amazonaws.com%2Fpublic%2Fimages%2Fd03ac60d-ea2f-4068-9d89-4dc7785362b7_698x218.png 424w, https://substackcdn.com/image/fetch/$s_!xkVp!,w_848,c_limit,f_webp,q_auto:good,fl_progressive:steep/https%3A%2F%2Fsubstack-post-media.s3.amazonaws.com%2Fpublic%2Fimages%2Fd03ac60d-ea2f-4068-9d89-4dc7785362b7_698x218.png 848w, https://substackcdn.com/image/fetch/$s_!xkVp!,w_1272,c_limit,f_webp,q_auto:good,fl_progressive:steep/https%3A%2F%2Fsubstack-post-media.s3.amazonaws.com%2Fpublic%2Fimages%2Fd03ac60d-ea2f-4068-9d89-4dc7785362b7_698x218.png 1272w, https://substackcdn.com/image/fetch/$s_!xkVp!,w_1456,c_limit,f_webp,q_auto:good,fl_progressive:steep/https%3A%2F%2Fsubstack-post-media.s3.amazonaws.com%2Fpublic%2Fimages%2Fd03ac60d-ea2f-4068-9d89-4dc7785362b7_698x218.png 1456w" sizes="100vw"><img src="https://substackcdn.com/image/fetch/$s_!xkVp!,w_1456,c_limit,f_auto,q_auto:good,fl_progressive:steep/https%3A%2F%2Fsubstack-post-media.s3.amazonaws.com%2Fpublic%2Fimages%2Fd03ac60d-ea2f-4068-9d89-4dc7785362b7_698x218.png" width="698" height="218" data-attrs="{&quot;src&quot;:&quot;https://substack-post-media.s3.amazonaws.com/public/images/d03ac60d-ea2f-4068-9d89-4dc7785362b7_698x218.png&quot;,&quot;srcNoWatermark&quot;:null,&quot;fullscreen&quot;:null,&quot;imageSize&quot;:null,&quot;height&quot;:218,&quot;width&quot;:698,&quot;resizeWidth&quot;:null,&quot;bytes&quot;:17327,&quot;alt&quot;:null,&quot;title&quot;:null,&quot;type&quot;:&quot;image/png&quot;,&quot;href&quot;:null,&quot;belowTheFold&quot;:true,&quot;topImage&quot;:false,&quot;internalRedirect&quot;:&quot;https://www.rohan-paul.com/i/165851063?img=https%3A%2F%2Fsubstack-post-media.s3.amazonaws.com%2Fpublic%2Fimages%2Fd03ac60d-ea2f-4068-9d89-4dc7785362b7_698x218.png&quot;,&quot;isProcessing&quot;:false,&quot;align&quot;:null,&quot;offset&quot;:false}" class="sizing-normal" alt="" srcset="https://substackcdn.com/image/fetch/$s_!xkVp!,w_424,c_limit,f_auto,q_auto:good,fl_progressive:steep/https%3A%2F%2Fsubstack-post-media.s3.amazonaws.com%2Fpublic%2Fimages%2Fd03ac60d-ea2f-4068-9d89-4dc7785362b7_698x218.png 424w, https://substackcdn.com/image/fetch/$s_!xkVp!,w_848,c_limit,f_auto,q_auto:good,fl_progressive:steep/https%3A%2F%2Fsubstack-post-media.s3.amazonaws.com%2Fpublic%2Fimages%2Fd03ac60d-ea2f-4068-9d89-4dc7785362b7_698x218.png 848w, https://substackcdn.com/image/fetch/$s_!xkVp!,w_1272,c_limit,f_auto,q_auto:good,fl_progressive:steep/https%3A%2F%2Fsubstack-post-media.s3.amazonaws.com%2Fpublic%2Fimages%2Fd03ac60d-ea2f-4068-9d89-4dc7785362b7_698x218.png 1272w, https://substackcdn.com/image/fetch/$s_!xkVp!,w_1456,c_limit,f_auto,q_auto:good,fl_progressive:steep/https%3A%2F%2Fsubstack-post-media.s3.amazonaws.com%2Fpublic%2Fimages%2Fd03ac60d-ea2f-4068-9d89-4dc7785362b7_698x218.png 1456w" sizes="100vw" loading="lazy"></picture><div></div></div></a></figure></div><p>Where:</p><ul><li><p>( \theta ) is the unknown parameter (or set of parameters).</p></li><li><p>( D ) is the observed data.</p></li><li><p>( P(\theta \mid D) ) is the posterior distribution over ( \theta ) after seeing data ( D ).</p></li><li><p>( P(D \mid \theta) ) is the likelihood function, describing how probable the observed data ( D ) is, given ( \theta ).</p></li><li><p>( P(\theta) ) is the prior distribution over ( \theta ).</p></li><li><p>( P(D) ) is the marginal likelihood or evidence, which ensures that the posterior distribution integrates (or sums) to 1.</p></li></ul><p>Explanatory Notes:</p><ul><li><p>&#8220;Posterior is proportional to Prior &#215; Likelihood.&#8221; We often write ( P(\theta \mid D) \propto P(D \mid \theta), P(\theta) ) because ( P(D) ) is just a normalization term (it does not depend on ( \theta )).</p></li><li><p>The more new data we collect, the more the likelihood term ( P(D \mid \theta) ) typically reshapes and &#8220;updates&#8221; our belief about ( \theta ).</p></li></ul><p>Example to Illustrate Prior and Posterior</p><p>Imagine you want to estimate the probability ( p ) of a coin landing heads. Before flipping it, you have some belief (prior) about ( p ). Perhaps you assume it&#8217;s a fair coin, so your prior is centered around ( p = 0.5 ), but you allow for some uncertainty, so you might choose a Beta distribution ( \mathrm{Beta}(2,2) ) that peaks near 0.5 yet spans (0,1).</p><p>Once you flip the coin several times, you observe, say, 8 heads and 2 tails. You use the likelihood (the binomial likelihood in this case) to update your prior. In a Beta-Binomial conjugate scenario:</p><ul><li><p>Prior ( \mathrm{Beta}(\alpha, \beta) )</p></li><li><p>Posterior ( \mathrm{Beta}(\alpha + \text{number of heads}, \beta + \text{number of tails}) )</p></li></ul><p>Hence if your prior was ( \mathrm{Beta}(2,2) ) and you see 8 heads and 2 tails, your posterior becomes ( \mathrm{Beta}(2 + 8,, 2 + 2) = \mathrm{Beta}(10,4). )</p><p>The updated posterior distribution shifts toward higher values of ( p ) because you observed more heads than tails.</p><p>Discussion of Posterior in Real-World Settings</p><ul><li><p>In real-world scenarios where the model and parameter space are complex (e.g., deep neural networks with many parameters), deriving closed-form posteriors can be difficult. We often resort to approximate methods such as Markov Chain Monte Carlo (MCMC), Variational Inference, or Laplace Approximation to represent or sample from the posterior distribution.</p></li><li><p>Even if we cannot specify a perfect prior, we try to use some partial knowledge or we choose a non-informative / weakly informative prior. The primary goal is to ensure the model predictions reflect both the data and any prior domain knowledge in a balanced way.</p></li></ul><p>Potential Tricky Points in an Interview Setting</p><ul><li><p>Some might ask how sensitive a posterior can be to different priors. If the data is plentiful and of good quality, the posterior typically becomes more data-driven. If data is sparse, the choice of prior becomes critically important.</p></li><li><p>Another subtle point is &#8220;likelihood&#8221; vs. &#8220;posterior predictive.&#8221; In Bayesian inference, we might not only be interested in the distribution of ( \theta ) after seeing data but also in the predictive distribution of new data. The posterior distribution serves as the foundation for generating that posterior predictive distribution.</p></li><li><p>For real-world Bayesian deep learning, we often face high-dimensional parameter spaces. Techniques such as MC Dropout or Bayesian approximations attempt to glean uncertainty estimates that approximate the posterior&#8217;s spread.</p></li></ul><p>Possible Implementation Sketch in Python</p><p>Below is a minimal example of a Bayesian update for a simple Bernoulli process, using a Beta prior.</p><pre><code><code>import numpy as np
from scipy.stats import beta

# Suppose our prior for p is Beta(a_prior, b_prior).
a_prior = 2
b_prior = 2

# Observed data: let's say we have a record of heads and tails
# For demonstration, let's simulate some coin flips
np.random.seed(42)
coin_flips = np.random.binomial(1, 0.7, 10)  # 10 flips, p=0.7 for heads

heads_count = np.sum(coin_flips)
tails_count = len(coin_flips) - heads_count

# Posterior parameters for Beta distribution
a_post = a_prior + heads_count
b_post = b_prior + tails_count

print(f"Posterior parameters: a_post={a_post}, b_post={b_post}")

# We can do further analysis, e.g., posterior mean:
posterior_mean = a_post / (a_post + b_post)
print(f"Posterior mean for p = {posterior_mean}")

# We can also sample from the posterior:
samples = beta.rvs(a_post, b_post, size=10000)
print(f"Approx. 95% credible interval = [{np.percentile(samples,2.5)}, {np.percentile(samples,97.5)}]")
</code></code></pre><p>This snippet demonstrates how you start with a Beta(2,2) prior, update after observing coin flips, and then investigate the posterior distribution (its mean or credible interval).</p><p>Addressing Follow-Up Interview Questions</p><p>In an interview setting at a large tech company, simply reciting the difference between prior and posterior might not be enough. The interviewer often probes further to see if the candidate can handle tricky or deeply conceptual questions. Below are several potential follow-ups, each in H2 format, followed by thorough answers.</p><div class="subscription-widget-wrap-editor" data-attrs="{&quot;url&quot;:&quot;https://www.rohan-paul.com/subscribe?&quot;,&quot;text&quot;:&quot;Subscribe&quot;,&quot;language&quot;:&quot;en&quot;}" data-component-name="SubscribeWidgetToDOM"><div class="subscription-widget show-subscribe"><div class="preamble"><p class="cta-caption">I write everyday for my readers on actionable AI. Subscribe and instantly get a 1300+ page Python book.</p></div><form class="subscription-widget-subscribe"><input type="email" class="email-input" name="email" placeholder="Type your email&#8230;" tabindex="-1"><input type="submit" class="button primary" value="Subscribe"><div class="fake-input-wrapper"><div class="fake-input"></div><div class="fake-button"></div></div></form></div></div><h2><strong>Could you discuss how the choice of prior affects the posterior when the amount of data is small vs. large?</strong></h2><p>When the dataset is small, the prior distribution can dominate because there is not enough empirical evidence to shift our belief drastically. This can be beneficial if we have well-founded domain knowledge encoded in the prior, or it can skew our results if our prior is not well-chosen.</p><p>As the dataset grows and more observations come in, the likelihood term typically overrides the influence of the prior. Even if the prior was somewhat off, a large volume of data will &#8220;pull&#8221; the posterior in the correct direction. This interplay highlights how Bayesian methods let us incorporate domain knowledge for situations where data is limited, and yet rely on data to guide inference when data is plentiful.</p><p>Potential Pitfalls:</p><ul><li><p>Overly strong priors can &#8220;wash out&#8221; the data if the model tries to give excessive weight to the prior.</p></li><li><p>Too vague or flat priors can lead to computational issues or wide posterior distributions that do not reflect practical uncertainty bounds.</p></li></ul><h2><strong>How does Bayesian updating work in high-dimensional models, such as neural networks?</strong></h2><p>In high-dimensional spaces (like modern deep neural networks), direct computation of the posterior becomes analytically intractable because we cannot express or integrate the high-dimensional likelihood easily. Instead, we rely on approximate Bayesian methods. Examples include:</p><ul><li><p>Markov Chain Monte Carlo (MCMC): This samples from the posterior to approximate it with a set of draws. While theoretically exact given enough samples, it can be computationally expensive for very large models.</p></li><li><p>Variational Inference (VI): This technique posits a family of distributions (e.g., a fully factorized Gaussian) and tries to find the member of that family that best approximates the true posterior, typically by minimizing some divergence measure (like KL divergence).</p></li><li><p>Monte Carlo Dropout or Deep Ensembles: Heuristics used in Bayesian deep learning for approximate uncertainty estimation. The idea is that multiple runs or dropout-based sampling can approximate posterior uncertainty in predictions.</p></li></ul><h2><strong>Why might practitioners prefer Bayesian approaches to frequentist methods?</strong></h2><ol><li><p>Full distribution over parameters: Bayesian inference gives us a posterior distribution, not just a single estimate or confidence interval. This distribution can be directly used for predictive modeling and uncertainty quantification.</p></li><li><p>Domain knowledge encoding: Priors allow the inclusion of expert knowledge, which is extremely helpful when data is scarce or expensive.</p></li><li><p>Posterior predictive distributions: Bayesian methods yield a coherent framework to reason about future observations by integrating over all plausible parameters weighted by their posterior probabilities.</p></li></ol><p>Potential concerns:</p><ul><li><p>Computational overhead can be large.</p></li><li><p>Choosing priors can be subjective or non-trivial if domain knowledge is limited.</p></li></ul><h2><strong>Is the posterior always guaranteed to be unimodal or well-behaved?</strong></h2><p>No, the posterior can be multimodal, skewed, or even improper (diverges under certain conditions). In complex models, sometimes local maxima in the likelihood can create multiple &#8220;regions&#8221; in parameter space that are similarly plausible. This complicates inference because naive methods might get stuck in one mode and fail to explore others. Techniques like advanced MCMC (e.g., Hamiltonian Monte Carlo with multiple chains) or specialized optimization methods in Variational Inference help address these complexities.</p><h2><strong>Could you discuss how Bayes&#8217; theorem handles the normalizing constant ( P(D) ) in practice?</strong></h2><p>When we say:</p><div class="captioned-image-container"><figure><a class="image-link image2" target="_blank" href="https://substackcdn.com/image/fetch/$s_!6SLC!,f_auto,q_auto:good,fl_progressive:steep/https%3A%2F%2Fsubstack-post-media.s3.amazonaws.com%2Fpublic%2Fimages%2F76e8211d-a8c4-4837-958c-03c843ce528c_701x215.png" data-component-name="Image2ToDOM"><div class="image2-inset"><picture><source type="image/webp" srcset="https://substackcdn.com/image/fetch/$s_!6SLC!,w_424,c_limit,f_webp,q_auto:good,fl_progressive:steep/https%3A%2F%2Fsubstack-post-media.s3.amazonaws.com%2Fpublic%2Fimages%2F76e8211d-a8c4-4837-958c-03c843ce528c_701x215.png 424w, https://substackcdn.com/image/fetch/$s_!6SLC!,w_848,c_limit,f_webp,q_auto:good,fl_progressive:steep/https%3A%2F%2Fsubstack-post-media.s3.amazonaws.com%2Fpublic%2Fimages%2F76e8211d-a8c4-4837-958c-03c843ce528c_701x215.png 848w, https://substackcdn.com/image/fetch/$s_!6SLC!,w_1272,c_limit,f_webp,q_auto:good,fl_progressive:steep/https%3A%2F%2Fsubstack-post-media.s3.amazonaws.com%2Fpublic%2Fimages%2F76e8211d-a8c4-4837-958c-03c843ce528c_701x215.png 1272w, https://substackcdn.com/image/fetch/$s_!6SLC!,w_1456,c_limit,f_webp,q_auto:good,fl_progressive:steep/https%3A%2F%2Fsubstack-post-media.s3.amazonaws.com%2Fpublic%2Fimages%2F76e8211d-a8c4-4837-958c-03c843ce528c_701x215.png 1456w" sizes="100vw"><img src="https://substackcdn.com/image/fetch/$s_!6SLC!,w_1456,c_limit,f_auto,q_auto:good,fl_progressive:steep/https%3A%2F%2Fsubstack-post-media.s3.amazonaws.com%2Fpublic%2Fimages%2F76e8211d-a8c4-4837-958c-03c843ce528c_701x215.png" width="701" height="215" data-attrs="{&quot;src&quot;:&quot;https://substack-post-media.s3.amazonaws.com/public/images/76e8211d-a8c4-4837-958c-03c843ce528c_701x215.png&quot;,&quot;srcNoWatermark&quot;:null,&quot;fullscreen&quot;:null,&quot;imageSize&quot;:null,&quot;height&quot;:215,&quot;width&quot;:701,&quot;resizeWidth&quot;:null,&quot;bytes&quot;:17309,&quot;alt&quot;:null,&quot;title&quot;:null,&quot;type&quot;:&quot;image/png&quot;,&quot;href&quot;:null,&quot;belowTheFold&quot;:true,&quot;topImage&quot;:false,&quot;internalRedirect&quot;:&quot;https://www.rohan-paul.com/i/165851063?img=https%3A%2F%2Fsubstack-post-media.s3.amazonaws.com%2Fpublic%2Fimages%2F76e8211d-a8c4-4837-958c-03c843ce528c_701x215.png&quot;,&quot;isProcessing&quot;:false,&quot;align&quot;:null,&quot;offset&quot;:false}" class="sizing-normal" alt="" srcset="https://substackcdn.com/image/fetch/$s_!6SLC!,w_424,c_limit,f_auto,q_auto:good,fl_progressive:steep/https%3A%2F%2Fsubstack-post-media.s3.amazonaws.com%2Fpublic%2Fimages%2F76e8211d-a8c4-4837-958c-03c843ce528c_701x215.png 424w, https://substackcdn.com/image/fetch/$s_!6SLC!,w_848,c_limit,f_auto,q_auto:good,fl_progressive:steep/https%3A%2F%2Fsubstack-post-media.s3.amazonaws.com%2Fpublic%2Fimages%2F76e8211d-a8c4-4837-958c-03c843ce528c_701x215.png 848w, https://substackcdn.com/image/fetch/$s_!6SLC!,w_1272,c_limit,f_auto,q_auto:good,fl_progressive:steep/https%3A%2F%2Fsubstack-post-media.s3.amazonaws.com%2Fpublic%2Fimages%2F76e8211d-a8c4-4837-958c-03c843ce528c_701x215.png 1272w, https://substackcdn.com/image/fetch/$s_!6SLC!,w_1456,c_limit,f_auto,q_auto:good,fl_progressive:steep/https%3A%2F%2Fsubstack-post-media.s3.amazonaws.com%2Fpublic%2Fimages%2F76e8211d-a8c4-4837-958c-03c843ce528c_701x215.png 1456w" sizes="100vw" loading="lazy"></picture><div></div></div></a></figure></div><p>the term ( P(D) ) (the marginal likelihood) is often a challenging integral:</p><div class="captioned-image-container"><figure><a class="image-link image2" target="_blank" href="https://substackcdn.com/image/fetch/$s_!OnVz!,f_auto,q_auto:good,fl_progressive:steep/https%3A%2F%2Fsubstack-post-media.s3.amazonaws.com%2Fpublic%2Fimages%2Fe8fee0c1-b33e-4343-8e88-de3ff0ace7f8_775x194.png" data-component-name="Image2ToDOM"><div class="image2-inset"><picture><source type="image/webp" srcset="https://substackcdn.com/image/fetch/$s_!OnVz!,w_424,c_limit,f_webp,q_auto:good,fl_progressive:steep/https%3A%2F%2Fsubstack-post-media.s3.amazonaws.com%2Fpublic%2Fimages%2Fe8fee0c1-b33e-4343-8e88-de3ff0ace7f8_775x194.png 424w, https://substackcdn.com/image/fetch/$s_!OnVz!,w_848,c_limit,f_webp,q_auto:good,fl_progressive:steep/https%3A%2F%2Fsubstack-post-media.s3.amazonaws.com%2Fpublic%2Fimages%2Fe8fee0c1-b33e-4343-8e88-de3ff0ace7f8_775x194.png 848w, https://substackcdn.com/image/fetch/$s_!OnVz!,w_1272,c_limit,f_webp,q_auto:good,fl_progressive:steep/https%3A%2F%2Fsubstack-post-media.s3.amazonaws.com%2Fpublic%2Fimages%2Fe8fee0c1-b33e-4343-8e88-de3ff0ace7f8_775x194.png 1272w, https://substackcdn.com/image/fetch/$s_!OnVz!,w_1456,c_limit,f_webp,q_auto:good,fl_progressive:steep/https%3A%2F%2Fsubstack-post-media.s3.amazonaws.com%2Fpublic%2Fimages%2Fe8fee0c1-b33e-4343-8e88-de3ff0ace7f8_775x194.png 1456w" sizes="100vw"><img src="https://substackcdn.com/image/fetch/$s_!OnVz!,w_1456,c_limit,f_auto,q_auto:good,fl_progressive:steep/https%3A%2F%2Fsubstack-post-media.s3.amazonaws.com%2Fpublic%2Fimages%2Fe8fee0c1-b33e-4343-8e88-de3ff0ace7f8_775x194.png" width="775" height="194" data-attrs="{&quot;src&quot;:&quot;https://substack-post-media.s3.amazonaws.com/public/images/e8fee0c1-b33e-4343-8e88-de3ff0ace7f8_775x194.png&quot;,&quot;srcNoWatermark&quot;:null,&quot;fullscreen&quot;:null,&quot;imageSize&quot;:null,&quot;height&quot;:194,&quot;width&quot;:775,&quot;resizeWidth&quot;:null,&quot;bytes&quot;:15948,&quot;alt&quot;:null,&quot;title&quot;:null,&quot;type&quot;:&quot;image/png&quot;,&quot;href&quot;:null,&quot;belowTheFold&quot;:true,&quot;topImage&quot;:false,&quot;internalRedirect&quot;:&quot;https://www.rohan-paul.com/i/165851063?img=https%3A%2F%2Fsubstack-post-media.s3.amazonaws.com%2Fpublic%2Fimages%2Fe8fee0c1-b33e-4343-8e88-de3ff0ace7f8_775x194.png&quot;,&quot;isProcessing&quot;:false,&quot;align&quot;:null,&quot;offset&quot;:false}" class="sizing-normal" alt="" srcset="https://substackcdn.com/image/fetch/$s_!OnVz!,w_424,c_limit,f_auto,q_auto:good,fl_progressive:steep/https%3A%2F%2Fsubstack-post-media.s3.amazonaws.com%2Fpublic%2Fimages%2Fe8fee0c1-b33e-4343-8e88-de3ff0ace7f8_775x194.png 424w, https://substackcdn.com/image/fetch/$s_!OnVz!,w_848,c_limit,f_auto,q_auto:good,fl_progressive:steep/https%3A%2F%2Fsubstack-post-media.s3.amazonaws.com%2Fpublic%2Fimages%2Fe8fee0c1-b33e-4343-8e88-de3ff0ace7f8_775x194.png 848w, https://substackcdn.com/image/fetch/$s_!OnVz!,w_1272,c_limit,f_auto,q_auto:good,fl_progressive:steep/https%3A%2F%2Fsubstack-post-media.s3.amazonaws.com%2Fpublic%2Fimages%2Fe8fee0c1-b33e-4343-8e88-de3ff0ace7f8_775x194.png 1272w, https://substackcdn.com/image/fetch/$s_!OnVz!,w_1456,c_limit,f_auto,q_auto:good,fl_progressive:steep/https%3A%2F%2Fsubstack-post-media.s3.amazonaws.com%2Fpublic%2Fimages%2Fe8fee0c1-b33e-4343-8e88-de3ff0ace7f8_775x194.png 1456w" sizes="100vw" loading="lazy"></picture><div></div></div></a></figure></div><ul><li><p>For high-dimensional or complicated parameter spaces, this integral is not tractable. Methods like MCMC bypass the explicit calculation by sampling from the posterior in proportion to ( P(D \mid \theta),P(\theta). )</p></li><li><p>Variational inference also attempts to sidestep direct calculation of ( P(D) ) by optimizing a lower bound on the log evidence.</p></li><li><p>In simpler conjugate setups, we can often compute ( P(D) ) in closed form (e.g., Beta-Binomial, Normal-Gamma, etc.).</p></li></ul><h2><strong>In what scenarios might you want to avoid or minimize subjective priors?</strong></h2><p>Although priors are fundamental to Bayesian methods, in some contexts you may not have reliable domain knowledge or you want to reflect a state of relative ignorance. You might then use:</p><ul><li><p>Weakly informative priors that do not overly constrain the posterior.</p></li><li><p>Reference or Jeffreys priors, designed to yield posterior distributions with certain desired properties under transformation invariances.</p></li></ul><p>However, even &#8220;uninformative&#8221; priors can be subtly informative. For instance, a uniform prior on one scale might not be uniform on a transformed scale. Hence, from a purely philosophical standpoint, every prior encodes some information, but you can attempt to reduce its influence.</p><h2><strong>How do Bayesian methods approach hypothesis testing compared to frequentist approaches?</strong></h2><p>In Bayesian hypothesis testing, you often compare model evidence or compute Bayes Factors: the ratio of marginal likelihoods for two competing hypotheses (models). For instance, if you have hypothesis ( H_0 ) vs. ( H_1 ), you compute:</p><div class="captioned-image-container"><figure><a class="image-link image2" target="_blank" href="https://substackcdn.com/image/fetch/$s_!UH8N!,f_auto,q_auto:good,fl_progressive:steep/https%3A%2F%2Fsubstack-post-media.s3.amazonaws.com%2Fpublic%2Fimages%2Fccd16c1e-1bb3-4869-bff9-3d62081450db_737x211.png" data-component-name="Image2ToDOM"><div class="image2-inset"><picture><source type="image/webp" srcset="https://substackcdn.com/image/fetch/$s_!UH8N!,w_424,c_limit,f_webp,q_auto:good,fl_progressive:steep/https%3A%2F%2Fsubstack-post-media.s3.amazonaws.com%2Fpublic%2Fimages%2Fccd16c1e-1bb3-4869-bff9-3d62081450db_737x211.png 424w, https://substackcdn.com/image/fetch/$s_!UH8N!,w_848,c_limit,f_webp,q_auto:good,fl_progressive:steep/https%3A%2F%2Fsubstack-post-media.s3.amazonaws.com%2Fpublic%2Fimages%2Fccd16c1e-1bb3-4869-bff9-3d62081450db_737x211.png 848w, https://substackcdn.com/image/fetch/$s_!UH8N!,w_1272,c_limit,f_webp,q_auto:good,fl_progressive:steep/https%3A%2F%2Fsubstack-post-media.s3.amazonaws.com%2Fpublic%2Fimages%2Fccd16c1e-1bb3-4869-bff9-3d62081450db_737x211.png 1272w, https://substackcdn.com/image/fetch/$s_!UH8N!,w_1456,c_limit,f_webp,q_auto:good,fl_progressive:steep/https%3A%2F%2Fsubstack-post-media.s3.amazonaws.com%2Fpublic%2Fimages%2Fccd16c1e-1bb3-4869-bff9-3d62081450db_737x211.png 1456w" sizes="100vw"><img src="https://substackcdn.com/image/fetch/$s_!UH8N!,w_1456,c_limit,f_auto,q_auto:good,fl_progressive:steep/https%3A%2F%2Fsubstack-post-media.s3.amazonaws.com%2Fpublic%2Fimages%2Fccd16c1e-1bb3-4869-bff9-3d62081450db_737x211.png" width="737" height="211" data-attrs="{&quot;src&quot;:&quot;https://substack-post-media.s3.amazonaws.com/public/images/ccd16c1e-1bb3-4869-bff9-3d62081450db_737x211.png&quot;,&quot;srcNoWatermark&quot;:null,&quot;fullscreen&quot;:null,&quot;imageSize&quot;:null,&quot;height&quot;:211,&quot;width&quot;:737,&quot;resizeWidth&quot;:null,&quot;bytes&quot;:20614,&quot;alt&quot;:null,&quot;title&quot;:null,&quot;type&quot;:&quot;image/png&quot;,&quot;href&quot;:null,&quot;belowTheFold&quot;:true,&quot;topImage&quot;:false,&quot;internalRedirect&quot;:&quot;https://www.rohan-paul.com/i/165851063?img=https%3A%2F%2Fsubstack-post-media.s3.amazonaws.com%2Fpublic%2Fimages%2Fccd16c1e-1bb3-4869-bff9-3d62081450db_737x211.png&quot;,&quot;isProcessing&quot;:false,&quot;align&quot;:null,&quot;offset&quot;:false}" class="sizing-normal" alt="" srcset="https://substackcdn.com/image/fetch/$s_!UH8N!,w_424,c_limit,f_auto,q_auto:good,fl_progressive:steep/https%3A%2F%2Fsubstack-post-media.s3.amazonaws.com%2Fpublic%2Fimages%2Fccd16c1e-1bb3-4869-bff9-3d62081450db_737x211.png 424w, https://substackcdn.com/image/fetch/$s_!UH8N!,w_848,c_limit,f_auto,q_auto:good,fl_progressive:steep/https%3A%2F%2Fsubstack-post-media.s3.amazonaws.com%2Fpublic%2Fimages%2Fccd16c1e-1bb3-4869-bff9-3d62081450db_737x211.png 848w, https://substackcdn.com/image/fetch/$s_!UH8N!,w_1272,c_limit,f_auto,q_auto:good,fl_progressive:steep/https%3A%2F%2Fsubstack-post-media.s3.amazonaws.com%2Fpublic%2Fimages%2Fccd16c1e-1bb3-4869-bff9-3d62081450db_737x211.png 1272w, https://substackcdn.com/image/fetch/$s_!UH8N!,w_1456,c_limit,f_auto,q_auto:good,fl_progressive:steep/https%3A%2F%2Fsubstack-post-media.s3.amazonaws.com%2Fpublic%2Fimages%2Fccd16c1e-1bb3-4869-bff9-3d62081450db_737x211.png 1456w" sizes="100vw" loading="lazy"></picture><div></div></div></a></figure></div><ul><li><p>A large Bayes Factor &gt; 1 in favor of ( H_0 ) means the data is more likely under ( H_0 ).</p></li><li><p>A small Bayes Factor &lt; 1 indicates the data favors ( H_1 ).</p></li></ul><p>This contrasts with p-values in frequentist approaches. Bayesian methods allow a more direct interpretation: you see how the posterior odds change from your prior odds in light of the data, clarifying which hypothesis the data supports.</p><h2><strong>How do you interpret a posterior predictive distribution?</strong></h2><p>Once you have a posterior distribution over parameters ( P(\theta \mid D) ), you can form a posterior predictive distribution for new data ( x_{\text{new}} ) by integrating over all possible ( \theta ). Symbolically:</p><div class="captioned-image-container"><figure><a class="image-link image2" target="_blank" href="https://substackcdn.com/image/fetch/$s_!vwPy!,f_auto,q_auto:good,fl_progressive:steep/https%3A%2F%2Fsubstack-post-media.s3.amazonaws.com%2Fpublic%2Fimages%2Ff5e7265d-9f46-4b65-a4f8-7c302532af8d_1048x209.png" data-component-name="Image2ToDOM"><div class="image2-inset"><picture><source type="image/webp" srcset="https://substackcdn.com/image/fetch/$s_!vwPy!,w_424,c_limit,f_webp,q_auto:good,fl_progressive:steep/https%3A%2F%2Fsubstack-post-media.s3.amazonaws.com%2Fpublic%2Fimages%2Ff5e7265d-9f46-4b65-a4f8-7c302532af8d_1048x209.png 424w, https://substackcdn.com/image/fetch/$s_!vwPy!,w_848,c_limit,f_webp,q_auto:good,fl_progressive:steep/https%3A%2F%2Fsubstack-post-media.s3.amazonaws.com%2Fpublic%2Fimages%2Ff5e7265d-9f46-4b65-a4f8-7c302532af8d_1048x209.png 848w, https://substackcdn.com/image/fetch/$s_!vwPy!,w_1272,c_limit,f_webp,q_auto:good,fl_progressive:steep/https%3A%2F%2Fsubstack-post-media.s3.amazonaws.com%2Fpublic%2Fimages%2Ff5e7265d-9f46-4b65-a4f8-7c302532af8d_1048x209.png 1272w, https://substackcdn.com/image/fetch/$s_!vwPy!,w_1456,c_limit,f_webp,q_auto:good,fl_progressive:steep/https%3A%2F%2Fsubstack-post-media.s3.amazonaws.com%2Fpublic%2Fimages%2Ff5e7265d-9f46-4b65-a4f8-7c302532af8d_1048x209.png 1456w" sizes="100vw"><img src="https://substackcdn.com/image/fetch/$s_!vwPy!,w_1456,c_limit,f_auto,q_auto:good,fl_progressive:steep/https%3A%2F%2Fsubstack-post-media.s3.amazonaws.com%2Fpublic%2Fimages%2Ff5e7265d-9f46-4b65-a4f8-7c302532af8d_1048x209.png" width="1048" height="209" data-attrs="{&quot;src&quot;:&quot;https://substack-post-media.s3.amazonaws.com/public/images/f5e7265d-9f46-4b65-a4f8-7c302532af8d_1048x209.png&quot;,&quot;srcNoWatermark&quot;:null,&quot;fullscreen&quot;:null,&quot;imageSize&quot;:null,&quot;height&quot;:209,&quot;width&quot;:1048,&quot;resizeWidth&quot;:null,&quot;bytes&quot;:22613,&quot;alt&quot;:null,&quot;title&quot;:null,&quot;type&quot;:&quot;image/png&quot;,&quot;href&quot;:null,&quot;belowTheFold&quot;:true,&quot;topImage&quot;:false,&quot;internalRedirect&quot;:&quot;https://www.rohan-paul.com/i/165851063?img=https%3A%2F%2Fsubstack-post-media.s3.amazonaws.com%2Fpublic%2Fimages%2Ff5e7265d-9f46-4b65-a4f8-7c302532af8d_1048x209.png&quot;,&quot;isProcessing&quot;:false,&quot;align&quot;:null,&quot;offset&quot;:false}" class="sizing-normal" alt="" srcset="https://substackcdn.com/image/fetch/$s_!vwPy!,w_424,c_limit,f_auto,q_auto:good,fl_progressive:steep/https%3A%2F%2Fsubstack-post-media.s3.amazonaws.com%2Fpublic%2Fimages%2Ff5e7265d-9f46-4b65-a4f8-7c302532af8d_1048x209.png 424w, https://substackcdn.com/image/fetch/$s_!vwPy!,w_848,c_limit,f_auto,q_auto:good,fl_progressive:steep/https%3A%2F%2Fsubstack-post-media.s3.amazonaws.com%2Fpublic%2Fimages%2Ff5e7265d-9f46-4b65-a4f8-7c302532af8d_1048x209.png 848w, https://substackcdn.com/image/fetch/$s_!vwPy!,w_1272,c_limit,f_auto,q_auto:good,fl_progressive:steep/https%3A%2F%2Fsubstack-post-media.s3.amazonaws.com%2Fpublic%2Fimages%2Ff5e7265d-9f46-4b65-a4f8-7c302532af8d_1048x209.png 1272w, https://substackcdn.com/image/fetch/$s_!vwPy!,w_1456,c_limit,f_auto,q_auto:good,fl_progressive:steep/https%3A%2F%2Fsubstack-post-media.s3.amazonaws.com%2Fpublic%2Fimages%2Ff5e7265d-9f46-4b65-a4f8-7c302532af8d_1048x209.png 1456w" sizes="100vw" loading="lazy"></picture><div></div></div></a></figure></div><p>This integral implies that you consider every possible parameter value, weighting it by how plausible it is after observing the data. The result is a predictive distribution that reflects both your updated best guess about the model parameter and the residual uncertainty in your parameter estimates. This is often considered one of the major advantages of Bayesian methods since it naturally includes uncertainty about parameters in the predictive step.</p><h2><strong>What might happen if the likelihood or prior is misspecified?</strong></h2><p>Bayesian methods rely on the assumption that the likelihood accurately represents the data-generating process and that the prior fairly encodes your beliefs or knowledge. If either is significantly off:</p><ul><li><p>Misspecified Likelihood: If the model does not capture the true data dynamics, your posterior can systematically skew toward certain parameter values. This might lead to poor predictions, even if you collect more data.</p></li><li><p>Poor Prior: If your prior is extremely restrictive or misaligned with reality, it can distort your posterior in the regime of limited data. With more data, the effect of a poor prior typically diminishes, but this depends on how extreme the prior is.</p></li></ul><h2><strong>How does one practically choose a prior?</strong></h2><p>The process can vary based on the problem setting:</p><ul><li><p>Empirical Bayesian approaches: Estimate hyperparameters of the prior from the data itself (though this can be somewhat at odds with strict Bayesian principles).</p></li><li><p>Subject-Matter Expertise: In fields like medicine, astrophysics, or engineering, there might be well-established conventional priors based on decades of experimental results.</p></li><li><p>Non-informative or Weakly Informative: If you lack prior information, you might opt for distributions that are broad and let the data speak. Examples include wide normal priors for regression coefficients or half-Cauchy distributions for scale parameters.</p></li></ul><h2><strong>If the prior is uniform, are we guaranteed to get a frequentist result?</strong></h2><p>In some basic cases (like a Beta prior for a Bernoulli process), a uniform prior on the parameter is the same as Beta(1,1). With enough data, the posterior might look close to the maximum likelihood estimate if we&#8217;re only examining the mean of the posterior. However, Bayesian approaches always maintain a distribution, so you will still have a posterior distribution that can differ from the frequentist confidence intervals or other constructs.</p><h2><strong>Could you highlight how real-life iterative Bayesian updates might work?</strong></h2><p>In certain applications&#8212;like online learning or real-time systems&#8212;you receive data in a streaming fashion. Bayesian methods allow you to recast the posterior after the first data batch as the new prior, then incorporate the next batch of data to obtain an updated posterior, and so on. This iterative update:</p><ol><li><p>Start with prior ( P(\theta) ).</p></li><li><p>Observe data ( D_1 ), compute posterior ( P(\theta \mid D_1) ).</p></li><li><p>Use ( P(\theta \mid D_1) ) as the new prior for the next batch.</p></li><li><p>Observe data ( D_2 ), get ( P(\theta \mid D_1, D_2) ), and repeat.</p></li></ol><p>This pipeline is elegant for evolving or non-stationary systems where data arrives incrementally.</p><div><hr></div><h2><strong>Below are additional follow-up questions</strong></h2><h2><strong>How do we handle partial or mismatched prior knowledge in real-world scenarios?</strong></h2><p>In some practical use cases, you might only have strong domain knowledge about certain aspects of a problem, while other parts remain uncertain. For instance, you may know that a parameter should always remain positive and likely be below a certain threshold, but you lack clarity about its exact distribution. In such cases, you can impose an informative prior on that part of the parameter space you are more confident about and use a broader or less informative prior elsewhere.</p><p>A potential pitfall is applying an overly restrictive prior to parts of the model where your domain knowledge is not fully accurate. If the real-world conditions violate your assumptions, you risk biasing the posterior or ending up with a posterior that is &#8220;locked in&#8221; to unrealistic parameter values when data is sparse. As you collect more data, any mismatch might be partially mitigated, but severe inconsistencies may still persist.</p><p>Another edge case arises when the prior is so radically misaligned with the data that the posterior ends up skewed or heavily bimodal. In some instances, advanced sampling methods might fail to converge (the chain can jump erratically or remain stuck in a small region). Addressing this requires either reevaluating the prior&#8217;s assumptions or collecting additional data to clarify the parameter space.</p><h2><strong>What if the data is extremely high dimensional or complex?</strong></h2><p>When data is high dimensional or you are dealing with complicated models (for example, involving latent variables or high-dimensional feature spaces), the likelihood can be difficult to evaluate. Bayesian updating then faces steep computational costs. Techniques for approximate inference, including Variational Inference or advanced Markov Chain Monte Carlo algorithms like Hamiltonian Monte Carlo, can help manage the complexity.</p><p>Pitfalls arise when the dimensionality of the parameter space outpaces the sampling or optimization capabilities. MCMC chains may mix poorly across vast parameter regimes. Variational approximations might adopt simplifications (like mean-field assumptions) that fail to capture critical dependencies, causing the posterior to be systematically underdispersed or missing certain important correlations.</p><p>Edge cases happen if the data has many redundant or irrelevant features. Bayesian methods might allocate significant posterior probability mass to certain parameter configurations that explain spurious correlations. Proper regularization via careful priors, dimension reduction, or domain-driven constraints can help mitigate these issues.</p><h2><strong>What if we have to handle a continually changing environment and keep updating our posterior?</strong></h2><p>In dynamic or non-stationary environments, the data distribution can shift over time. Standard Bayesian inference typically assumes the data is drawn from the same underlying distribution. To keep the model updated in a shifting environment, you can employ:</p><ul><li><p>Bayesian online learning: Each posterior becomes the prior for the next time step. However, if the data distribution fundamentally changes, the old posterior might not properly represent the new reality.</p></li><li><p>Sliding window or forgetting mechanisms: Give higher weight to more recent data, effectively &#8220;discounting&#8221; older observations so that the posterior remains responsive to changes.</p></li><li><p>Time-varying or hierarchical models: Explicitly model temporal evolution of parameters via state-space methods or hierarchical frameworks that update parameters in a manner consistent with potential drift over time.</p></li></ul><p>A possible pitfall is overreacting to short-term fluctuations. If the environment changes slowly, an aggressive forgetting factor might discard valuable historical data. Conversely, too conservative an approach might make the posterior adapt too slowly. Tuning this trade-off often requires domain insights and empirical testing on real data streams.</p><h2><strong>How do we deal with situations where the posterior distribution might not converge?</strong></h2><p>In well-behaved Bayesian problems with consistent data and a coherent model, the posterior generally concentrates around the true parameter values as data grows. However, there are scenarios where the posterior may fail to converge or converge extremely slowly:</p><ul><li><p>Model misspecification: If the assumed likelihood significantly deviates from the actual data-generating process, the posterior might never concentrate on a correct set of parameters.</p></li><li><p>Incompatible priors: Certain priors might place negligible probability around the true parameter values, preventing the posterior from covering them effectively, especially with limited data.</p></li><li><p>Multi-modal or pathological likelihood surfaces: MCMC-based sampling could have trouble exploring all modes, leading to partial exploration and poor convergence diagnostics.</p></li></ul><p>Practically, it is crucial to monitor convergence indicators (e.g., Gelman&#8211;Rubin statistic for MCMC, or evidence-based measures). Re-examining the model, collecting more data, or adjusting the sampling algorithms are all typical strategies for diagnosing or fixing convergence issues.</p><h2><strong>Could you elaborate on the difference between the full posterior distribution and point estimates like the MAP?</strong></h2><p>While the full posterior distribution captures every possible value of the parameter along with its associated probability (reflecting uncertainty), a maximum a posteriori (MAP) estimate picks out a single parameter value that maximizes the posterior. This is often found by taking the negative log of the posterior and using gradient-based optimization.</p><p>A key difference is that MAP discards the rich spread of uncertainty in the posterior, focusing solely on the most probable point. This can be acceptable if you only need a single estimate and the posterior is fairly peaked. But in cases where you need uncertainty quantification&#8212;such as risk assessment in mission-critical domains&#8212;using the entire posterior is more informative.</p><p>An edge case is when the posterior is multi-modal. MAP could land in a local maximum and miss more globally relevant modes. A full posterior perspective reveals all modes and their relative probabilities, helping you better understand the potential solutions.</p><h2><strong>When might a Bayesian credible interval differ substantially from a frequentist confidence interval?</strong></h2><p>A credible interval directly represents the posterior probability that the parameter lies in a certain range. A frequentist confidence interval is a procedure-based interval that, if repeated many times, will contain the true parameter a certain percentage of the time. Although credible intervals often numerically resemble confidence intervals for large sample sizes, they can differ markedly in small-sample or highly informative-prior situations.</p><p>One subtle scenario is if you have a very strong prior that is not centered around the frequentist estimate. The Bayesian credible interval may be shifted or narrower due to that prior information. Meanwhile, a frequentist confidence interval typically does not incorporate such knowledge and might be wider or differently shaped based solely on the likelihood from the data.</p><p>Pitfalls arise in interpreting confidence intervals as if they were Bayesian statements about the probability of containing the parameter. Such an interpretation is incorrect in frequentist statistics but is precisely how one can interpret a Bayesian credible interval.</p><h2><strong>How do we handle large data sets in Bayesian inference without incurring enormous computational overhead?</strong></h2><p>For massive data sets, the cost of evaluating the likelihood for every observation in each iteration of MCMC can become prohibitive. Several strategies address this challenge:</p><ul><li><p>Stochastic Variational Inference: Uses mini-batches of data to update an approximate posterior in an iterative fashion.</p></li><li><p>Stochastic Gradient MCMC (e.g., Stochastic Gradient Langevin Dynamics): Incorporates gradient information from random subsets of data to approximate posterior sampling.</p></li><li><p>Divide-and-Conquer Techniques: Partition the data into subsets, run parallel Bayesian updates, and then combine the posterior approximations using methods designed for distributed settings.</p></li></ul><p>A potential pitfall is that approximate or distributed methods may lose accuracy or induce bias, especially if the data partitions are not representative of the overall distribution. Careful sampling or weighting may be required to mitigate these risks.</p><h2><strong>How do hierarchical or multi-level priors influence the posterior?</strong></h2><p>Hierarchical Bayesian modeling introduces another layer of parameters, often called hyperparameters, which govern the priors for lower-level parameters. For example, in a multi-level model of multiple experimental units, each unit might have a local parameter, but these local parameters share a hyperprior that enforces partial pooling across units.</p><p>In these models:</p><ul><li><p>Each level&#8217;s posterior depends on the priors or hyperpriors above it.</p></li><li><p>Data from different units can inform each other indirectly by updating the hyperparameters, which then shift or constrain the local-level posteriors.</p></li></ul><p>A common pitfall is that hierarchical models can be quite sensitive to the choice of hyperprior if data is scarce. Conversely, if data is plentiful across many units, a hierarchical framework can greatly improve inference by leveraging shared information. Convergence can be trickier; multi-level structures introduce correlations between layers, and naive MCMC methods might mix poorly if the dimensionality grows large.</p><h2><strong>How do robust Bayesian methods deal with outliers or heavy-tailed distributions?</strong></h2><p>A standard Gaussian likelihood may be vulnerable to outliers, as a few extreme data points can disproportionately alter the posterior, particularly when the prior is not strongly controlling the tails. Robust Bayesian methods might use:</p><ul><li><p>Heavy-tailed likelihoods (e.g., Student&#8217;s t distribution) to reduce the influence of large residuals.</p></li><li><p>Mixture models that explicitly allow a small fraction of outlier data to be explained by a separate distribution.</p></li><li><p>Priors structured in a way that impose cautious updates in the presence of suspicious data.</p></li></ul><p>A subtle edge case occurs if your data includes systematic anomalies rather than random outliers. Merely adopting a robust likelihood will not automatically fix the mismatch, especially if the anomalies represent a meaningful component of the data generating process. In such scenarios, a carefully designed model that includes an outlier or contamination component can prevent the main posterior from being distorted.</p><h2><strong>How do we incorporate non-traditional forms of evidence (like expert statements) into a prior?</strong></h2><p>Sometimes you have experts providing statements about possible parameter ranges or relationships. For example, a doctor might say, &#8220;In nearly all patients, the effect of this drug should not exceed a certain dosage effect.&#8221; Translating qualitative or soft constraints into a prior can involve:</p><ul><li><p>Using a bounding prior that heavily penalizes parameter values beyond stated thresholds.</p></li><li><p>Transforming statements about likelihood of success or risk levels into a Beta or normal distribution parameterization.</p></li></ul><p>An edge case arises when multiple experts disagree or provide conflicting statements. You could combine their opinions into a mixture prior, weighting each expert&#8217;s input. Alternatively, you may run separate analyses under each expert&#8217;s prior to see how the posterior changes (a sensitivity analysis). Care must be taken that these subjective priors do not overshadow strong empirical trends if you do eventually observe data that contradicts the experts&#8217; positions.</p><h2><strong>Why do conjugate priors matter, and do they still matter in modern large-scale Bayesian inference?</strong></h2><p>Conjugate priors are chosen such that the posterior remains in the same parametric family as the prior. A classic example is the Beta prior for a Bernoulli likelihood, yielding a Beta posterior. This can be mathematically elegant and computationally efficient because updating the posterior requires only analytical formulae.</p><p>In modern large-scale or high-dimensional Bayesian tasks, conjugacy is often not feasible due to more complicated likelihoods. Nonetheless, conjugate or semi-conjugate priors remain useful in simpler submodules of a larger model, or for quick updates in streaming situations where real-time computation is essential. They also serve as good pedagogical examples or baseline approaches before introducing more advanced approximate methods. In some edge cases, specifically engineered model components can preserve partial conjugacy and thereby simplify the inference steps for certain parameters.</p><h2><strong>What are practical concerns for validating a Bayesian model&#8217;s posterior?</strong></h2><p>A Bayesian model can be validated by checking whether the posterior predictions align with observed data and domain knowledge. Techniques like posterior predictive checks allow you to:</p><ul><li><p>Sample new data points from the posterior predictive distribution.</p></li><li><p>Compare those generated samples to actual observations to see if they look qualitatively similar or if there are systematic discrepancies.</p></li></ul><p>You can also use scoring rules (like the log predictive density on held-out data) to quantify predictive accuracy. However, pitfalls appear when the model is substantially mis-specified or if the prior strongly biases certain outcomes. Merely &#8220;fitting the data well&#8221; does not guarantee that the posterior is capturing the right structure if you used a flexible but misspecified likelihood. Sensitivity analyses&#8212;varying priors or removing subsets of data&#8212;can help highlight how robust your posterior is to specific assumptions.</p>]]></content:encoded></item><item><title><![CDATA[ML Interview Q Series: Zero Correlation vs. Independence: Detecting Hidden Non-Linear Dependencies.]]></title><description><![CDATA[&#128218; Browse the full ML Interview series here.]]></description><link>https://www.rohan-paul.com/p/ml-interview-q-series-zero-correlation</link><guid isPermaLink="false">https://www.rohan-paul.com/p/ml-interview-q-series-zero-correlation</guid><pubDate>Fri, 13 Jun 2025 08:42:47 GMT</pubDate><enclosure url="https://substackcdn.com/image/fetch/$s_!Grfg!,f_auto,q_auto:good,fl_progressive:steep/https%3A%2F%2Fsubstack-post-media.s3.amazonaws.com%2Fpublic%2Fimages%2Fd2df7c0b-16ed-49d0-b018-4fffd8f29127_1024x680.png" length="0" type="image/jpeg"/><content:encoded><![CDATA[<div class="captioned-image-container"><figure><a class="image-link image2 is-viewable-img" target="_blank" href="https://substackcdn.com/image/fetch/$s_!Grfg!,f_auto,q_auto:good,fl_progressive:steep/https%3A%2F%2Fsubstack-post-media.s3.amazonaws.com%2Fpublic%2Fimages%2Fd2df7c0b-16ed-49d0-b018-4fffd8f29127_1024x680.png" data-component-name="Image2ToDOM"><div class="image2-inset"><picture><source type="image/webp" srcset="https://substackcdn.com/image/fetch/$s_!Grfg!,w_424,c_limit,f_webp,q_auto:good,fl_progressive:steep/https%3A%2F%2Fsubstack-post-media.s3.amazonaws.com%2Fpublic%2Fimages%2Fd2df7c0b-16ed-49d0-b018-4fffd8f29127_1024x680.png 424w, https://substackcdn.com/image/fetch/$s_!Grfg!,w_848,c_limit,f_webp,q_auto:good,fl_progressive:steep/https%3A%2F%2Fsubstack-post-media.s3.amazonaws.com%2Fpublic%2Fimages%2Fd2df7c0b-16ed-49d0-b018-4fffd8f29127_1024x680.png 848w, https://substackcdn.com/image/fetch/$s_!Grfg!,w_1272,c_limit,f_webp,q_auto:good,fl_progressive:steep/https%3A%2F%2Fsubstack-post-media.s3.amazonaws.com%2Fpublic%2Fimages%2Fd2df7c0b-16ed-49d0-b018-4fffd8f29127_1024x680.png 1272w, https://substackcdn.com/image/fetch/$s_!Grfg!,w_1456,c_limit,f_webp,q_auto:good,fl_progressive:steep/https%3A%2F%2Fsubstack-post-media.s3.amazonaws.com%2Fpublic%2Fimages%2Fd2df7c0b-16ed-49d0-b018-4fffd8f29127_1024x680.png 1456w" sizes="100vw"><img src="https://substackcdn.com/image/fetch/$s_!Grfg!,w_1456,c_limit,f_auto,q_auto:good,fl_progressive:steep/https%3A%2F%2Fsubstack-post-media.s3.amazonaws.com%2Fpublic%2Fimages%2Fd2df7c0b-16ed-49d0-b018-4fffd8f29127_1024x680.png" width="1024" height="680" data-attrs="{&quot;src&quot;:&quot;https://substack-post-media.s3.amazonaws.com/public/images/d2df7c0b-16ed-49d0-b018-4fffd8f29127_1024x680.png&quot;,&quot;srcNoWatermark&quot;:null,&quot;fullscreen&quot;:null,&quot;imageSize&quot;:null,&quot;height&quot;:680,&quot;width&quot;:1024,&quot;resizeWidth&quot;:null,&quot;bytes&quot;:983036,&quot;alt&quot;:null,&quot;title&quot;:null,&quot;type&quot;:&quot;image/png&quot;,&quot;href&quot;:null,&quot;belowTheFold&quot;:false,&quot;topImage&quot;:true,&quot;internalRedirect&quot;:&quot;https://www.rohan-paul.com/i/165850447?img=https%3A%2F%2Fsubstack-post-media.s3.amazonaws.com%2Fpublic%2Fimages%2Fd2df7c0b-16ed-49d0-b018-4fffd8f29127_1024x680.png&quot;,&quot;isProcessing&quot;:false,&quot;align&quot;:null,&quot;offset&quot;:false}" class="sizing-normal" alt="" srcset="https://substackcdn.com/image/fetch/$s_!Grfg!,w_424,c_limit,f_auto,q_auto:good,fl_progressive:steep/https%3A%2F%2Fsubstack-post-media.s3.amazonaws.com%2Fpublic%2Fimages%2Fd2df7c0b-16ed-49d0-b018-4fffd8f29127_1024x680.png 424w, https://substackcdn.com/image/fetch/$s_!Grfg!,w_848,c_limit,f_auto,q_auto:good,fl_progressive:steep/https%3A%2F%2Fsubstack-post-media.s3.amazonaws.com%2Fpublic%2Fimages%2Fd2df7c0b-16ed-49d0-b018-4fffd8f29127_1024x680.png 848w, https://substackcdn.com/image/fetch/$s_!Grfg!,w_1272,c_limit,f_auto,q_auto:good,fl_progressive:steep/https%3A%2F%2Fsubstack-post-media.s3.amazonaws.com%2Fpublic%2Fimages%2Fd2df7c0b-16ed-49d0-b018-4fffd8f29127_1024x680.png 1272w, https://substackcdn.com/image/fetch/$s_!Grfg!,w_1456,c_limit,f_auto,q_auto:good,fl_progressive:steep/https%3A%2F%2Fsubstack-post-media.s3.amazonaws.com%2Fpublic%2Fimages%2Fd2df7c0b-16ed-49d0-b018-4fffd8f29127_1024x680.png 1456w" sizes="100vw" fetchpriority="high"></picture><div class="image-link-expand"><div class="pencraft pc-display-flex pc-gap-8 pc-reset"><button tabindex="0" type="button" class="pencraft pc-reset pencraft icon-container restack-image"><svg role="img" width="20" height="20" viewBox="0 0 20 20" fill="none" stroke-width="1.5" stroke="var(--color-fg-primary)" stroke-linecap="round" stroke-linejoin="round" xmlns="http://www.w3.org/2000/svg"><g><title></title><path d="M2.53001 7.81595C3.49179 4.73911 6.43281 2.5 9.91173 2.5C13.1684 2.5 15.9537 4.46214 17.0852 7.23684L17.6179 8.67647M17.6179 8.67647L18.5002 4.26471M17.6179 8.67647L13.6473 6.91176M17.4995 12.1841C16.5378 15.2609 13.5967 17.5 10.1178 17.5C6.86118 17.5 4.07589 15.5379 2.94432 12.7632L2.41165 11.3235M2.41165 11.3235L1.5293 15.7353M2.41165 11.3235L6.38224 13.0882"></path></g></svg></button><button tabindex="0" type="button" class="pencraft pc-reset pencraft icon-container view-image"><svg xmlns="http://www.w3.org/2000/svg" width="20" height="20" viewBox="0 0 24 24" fill="none" stroke="currentColor" stroke-width="2" stroke-linecap="round" stroke-linejoin="round" class="lucide lucide-maximize2 lucide-maximize-2"><polyline points="15 3 21 3 21 9"></polyline><polyline points="9 21 3 21 3 15"></polyline><line x1="21" x2="14" y1="3" y2="10"></line><line x1="3" x2="10" y1="21" y2="14"></line></svg></button></div></div></div></a></figure></div><p>&#128218; Browse <strong><a href="https://rohanpaul.substack.com/s/ml-interview-series/archive?sort=new">the full ML Interview series here</a></strong>.</p><h2><strong>Correlation vs. Independence: If two random variables have zero correlation, does that guarantee they are independent? Provide an explanation or a counter-example to illustrate the difference between no linear correlation and true statistical independence.</strong></h2><p class="button-wrapper" data-attrs="{&quot;url&quot;:&quot;https://x.com/rohanpaul_ai&quot;,&quot;text&quot;:&quot;Connect with me on X (Twitter)&quot;,&quot;action&quot;:null,&quot;class&quot;:&quot;button-wrapper&quot;}" data-component-name="ButtonCreateButton"><a class="button primary button-wrapper" href="https://x.com/rohanpaul_ai"><span>Connect with me on X (Twitter)</span></a></p><p><strong>Detailed Explanation</strong></p><p><strong>Understanding Correlation vs. Independence</strong></p><p>Correlation measures the linear relationship between two random variables. It is usually expressed by the Pearson correlation coefficient. When we say two variables X and Y have zero correlation, it specifically means their expected linear relationship is zero. Formally, if E[&#8901;] denotes expectation, then zero correlation is:</p><div class="captioned-image-container"><figure><a class="image-link image2" target="_blank" href="https://substackcdn.com/image/fetch/$s_!HUBY!,f_auto,q_auto:good,fl_progressive:steep/https%3A%2F%2Fsubstack-post-media.s3.amazonaws.com%2Fpublic%2Fimages%2Fa6a3fbcb-e985-4012-9820-3243e919c1a6_1131x122.png" data-component-name="Image2ToDOM"><div class="image2-inset"><picture><source type="image/webp" srcset="https://substackcdn.com/image/fetch/$s_!HUBY!,w_424,c_limit,f_webp,q_auto:good,fl_progressive:steep/https%3A%2F%2Fsubstack-post-media.s3.amazonaws.com%2Fpublic%2Fimages%2Fa6a3fbcb-e985-4012-9820-3243e919c1a6_1131x122.png 424w, https://substackcdn.com/image/fetch/$s_!HUBY!,w_848,c_limit,f_webp,q_auto:good,fl_progressive:steep/https%3A%2F%2Fsubstack-post-media.s3.amazonaws.com%2Fpublic%2Fimages%2Fa6a3fbcb-e985-4012-9820-3243e919c1a6_1131x122.png 848w, https://substackcdn.com/image/fetch/$s_!HUBY!,w_1272,c_limit,f_webp,q_auto:good,fl_progressive:steep/https%3A%2F%2Fsubstack-post-media.s3.amazonaws.com%2Fpublic%2Fimages%2Fa6a3fbcb-e985-4012-9820-3243e919c1a6_1131x122.png 1272w, https://substackcdn.com/image/fetch/$s_!HUBY!,w_1456,c_limit,f_webp,q_auto:good,fl_progressive:steep/https%3A%2F%2Fsubstack-post-media.s3.amazonaws.com%2Fpublic%2Fimages%2Fa6a3fbcb-e985-4012-9820-3243e919c1a6_1131x122.png 1456w" sizes="100vw"><img src="https://substackcdn.com/image/fetch/$s_!HUBY!,w_1456,c_limit,f_auto,q_auto:good,fl_progressive:steep/https%3A%2F%2Fsubstack-post-media.s3.amazonaws.com%2Fpublic%2Fimages%2Fa6a3fbcb-e985-4012-9820-3243e919c1a6_1131x122.png" width="1131" height="122" data-attrs="{&quot;src&quot;:&quot;https://substack-post-media.s3.amazonaws.com/public/images/a6a3fbcb-e985-4012-9820-3243e919c1a6_1131x122.png&quot;,&quot;srcNoWatermark&quot;:null,&quot;fullscreen&quot;:null,&quot;imageSize&quot;:null,&quot;height&quot;:122,&quot;width&quot;:1131,&quot;resizeWidth&quot;:null,&quot;bytes&quot;:23168,&quot;alt&quot;:null,&quot;title&quot;:null,&quot;type&quot;:&quot;image/png&quot;,&quot;href&quot;:null,&quot;belowTheFold&quot;:false,&quot;topImage&quot;:false,&quot;internalRedirect&quot;:&quot;https://www.rohan-paul.com/i/165850447?img=https%3A%2F%2Fsubstack-post-media.s3.amazonaws.com%2Fpublic%2Fimages%2Fa6a3fbcb-e985-4012-9820-3243e919c1a6_1131x122.png&quot;,&quot;isProcessing&quot;:false,&quot;align&quot;:null,&quot;offset&quot;:false}" class="sizing-normal" alt="" srcset="https://substackcdn.com/image/fetch/$s_!HUBY!,w_424,c_limit,f_auto,q_auto:good,fl_progressive:steep/https%3A%2F%2Fsubstack-post-media.s3.amazonaws.com%2Fpublic%2Fimages%2Fa6a3fbcb-e985-4012-9820-3243e919c1a6_1131x122.png 424w, https://substackcdn.com/image/fetch/$s_!HUBY!,w_848,c_limit,f_auto,q_auto:good,fl_progressive:steep/https%3A%2F%2Fsubstack-post-media.s3.amazonaws.com%2Fpublic%2Fimages%2Fa6a3fbcb-e985-4012-9820-3243e919c1a6_1131x122.png 848w, https://substackcdn.com/image/fetch/$s_!HUBY!,w_1272,c_limit,f_auto,q_auto:good,fl_progressive:steep/https%3A%2F%2Fsubstack-post-media.s3.amazonaws.com%2Fpublic%2Fimages%2Fa6a3fbcb-e985-4012-9820-3243e919c1a6_1131x122.png 1272w, https://substackcdn.com/image/fetch/$s_!HUBY!,w_1456,c_limit,f_auto,q_auto:good,fl_progressive:steep/https%3A%2F%2Fsubstack-post-media.s3.amazonaws.com%2Fpublic%2Fimages%2Fa6a3fbcb-e985-4012-9820-3243e919c1a6_1131x122.png 1456w" sizes="100vw"></picture><div></div></div></a></figure></div><p>However, independence between X and Y means that their joint distribution factorizes into the product of their individual distributions:</p><div class="captioned-image-container"><figure><a class="image-link image2" target="_blank" href="https://substackcdn.com/image/fetch/$s_!4968!,f_auto,q_auto:good,fl_progressive:steep/https%3A%2F%2Fsubstack-post-media.s3.amazonaws.com%2Fpublic%2Fimages%2F3fff1575-14b8-4e0e-add5-cb63c8322114_1055x128.png" data-component-name="Image2ToDOM"><div class="image2-inset"><picture><source type="image/webp" srcset="https://substackcdn.com/image/fetch/$s_!4968!,w_424,c_limit,f_webp,q_auto:good,fl_progressive:steep/https%3A%2F%2Fsubstack-post-media.s3.amazonaws.com%2Fpublic%2Fimages%2F3fff1575-14b8-4e0e-add5-cb63c8322114_1055x128.png 424w, https://substackcdn.com/image/fetch/$s_!4968!,w_848,c_limit,f_webp,q_auto:good,fl_progressive:steep/https%3A%2F%2Fsubstack-post-media.s3.amazonaws.com%2Fpublic%2Fimages%2F3fff1575-14b8-4e0e-add5-cb63c8322114_1055x128.png 848w, https://substackcdn.com/image/fetch/$s_!4968!,w_1272,c_limit,f_webp,q_auto:good,fl_progressive:steep/https%3A%2F%2Fsubstack-post-media.s3.amazonaws.com%2Fpublic%2Fimages%2F3fff1575-14b8-4e0e-add5-cb63c8322114_1055x128.png 1272w, https://substackcdn.com/image/fetch/$s_!4968!,w_1456,c_limit,f_webp,q_auto:good,fl_progressive:steep/https%3A%2F%2Fsubstack-post-media.s3.amazonaws.com%2Fpublic%2Fimages%2F3fff1575-14b8-4e0e-add5-cb63c8322114_1055x128.png 1456w" sizes="100vw"><img src="https://substackcdn.com/image/fetch/$s_!4968!,w_1456,c_limit,f_auto,q_auto:good,fl_progressive:steep/https%3A%2F%2Fsubstack-post-media.s3.amazonaws.com%2Fpublic%2Fimages%2F3fff1575-14b8-4e0e-add5-cb63c8322114_1055x128.png" width="1055" height="128" data-attrs="{&quot;src&quot;:&quot;https://substack-post-media.s3.amazonaws.com/public/images/3fff1575-14b8-4e0e-add5-cb63c8322114_1055x128.png&quot;,&quot;srcNoWatermark&quot;:null,&quot;fullscreen&quot;:null,&quot;imageSize&quot;:null,&quot;height&quot;:128,&quot;width&quot;:1055,&quot;resizeWidth&quot;:null,&quot;bytes&quot;:16852,&quot;alt&quot;:null,&quot;title&quot;:null,&quot;type&quot;:&quot;image/png&quot;,&quot;href&quot;:null,&quot;belowTheFold&quot;:true,&quot;topImage&quot;:false,&quot;internalRedirect&quot;:&quot;https://www.rohan-paul.com/i/165850447?img=https%3A%2F%2Fsubstack-post-media.s3.amazonaws.com%2Fpublic%2Fimages%2F3fff1575-14b8-4e0e-add5-cb63c8322114_1055x128.png&quot;,&quot;isProcessing&quot;:false,&quot;align&quot;:null,&quot;offset&quot;:false}" class="sizing-normal" alt="" srcset="https://substackcdn.com/image/fetch/$s_!4968!,w_424,c_limit,f_auto,q_auto:good,fl_progressive:steep/https%3A%2F%2Fsubstack-post-media.s3.amazonaws.com%2Fpublic%2Fimages%2F3fff1575-14b8-4e0e-add5-cb63c8322114_1055x128.png 424w, https://substackcdn.com/image/fetch/$s_!4968!,w_848,c_limit,f_auto,q_auto:good,fl_progressive:steep/https%3A%2F%2Fsubstack-post-media.s3.amazonaws.com%2Fpublic%2Fimages%2F3fff1575-14b8-4e0e-add5-cb63c8322114_1055x128.png 848w, https://substackcdn.com/image/fetch/$s_!4968!,w_1272,c_limit,f_auto,q_auto:good,fl_progressive:steep/https%3A%2F%2Fsubstack-post-media.s3.amazonaws.com%2Fpublic%2Fimages%2F3fff1575-14b8-4e0e-add5-cb63c8322114_1055x128.png 1272w, https://substackcdn.com/image/fetch/$s_!4968!,w_1456,c_limit,f_auto,q_auto:good,fl_progressive:steep/https%3A%2F%2Fsubstack-post-media.s3.amazonaws.com%2Fpublic%2Fimages%2F3fff1575-14b8-4e0e-add5-cb63c8322114_1055x128.png 1456w" sizes="100vw" loading="lazy"></picture><div></div></div></a></figure></div><p>In other words, knowledge of X<em> </em>does not provide any information about Y, and vice versa. Independence implies <strong>no dependence of any kind</strong>, whether linear or non-linear, or even more complex relationships. It also implies zero correlation, but the reverse is not necessarily true.</p><p><strong>Counter-Example Illustrating the Difference</strong></p><div class="captioned-image-container"><figure><a class="image-link image2 is-viewable-img" target="_blank" href="https://substackcdn.com/image/fetch/$s_!OItz!,f_auto,q_auto:good,fl_progressive:steep/https%3A%2F%2Fsubstack-post-media.s3.amazonaws.com%2Fpublic%2Fimages%2Fc9ae8dde-185e-440a-8bbe-539dd01d8590_980x492.png" data-component-name="Image2ToDOM"><div class="image2-inset"><picture><source type="image/webp" srcset="https://substackcdn.com/image/fetch/$s_!OItz!,w_424,c_limit,f_webp,q_auto:good,fl_progressive:steep/https%3A%2F%2Fsubstack-post-media.s3.amazonaws.com%2Fpublic%2Fimages%2Fc9ae8dde-185e-440a-8bbe-539dd01d8590_980x492.png 424w, https://substackcdn.com/image/fetch/$s_!OItz!,w_848,c_limit,f_webp,q_auto:good,fl_progressive:steep/https%3A%2F%2Fsubstack-post-media.s3.amazonaws.com%2Fpublic%2Fimages%2Fc9ae8dde-185e-440a-8bbe-539dd01d8590_980x492.png 848w, https://substackcdn.com/image/fetch/$s_!OItz!,w_1272,c_limit,f_webp,q_auto:good,fl_progressive:steep/https%3A%2F%2Fsubstack-post-media.s3.amazonaws.com%2Fpublic%2Fimages%2Fc9ae8dde-185e-440a-8bbe-539dd01d8590_980x492.png 1272w, https://substackcdn.com/image/fetch/$s_!OItz!,w_1456,c_limit,f_webp,q_auto:good,fl_progressive:steep/https%3A%2F%2Fsubstack-post-media.s3.amazonaws.com%2Fpublic%2Fimages%2Fc9ae8dde-185e-440a-8bbe-539dd01d8590_980x492.png 1456w" sizes="100vw"><img src="https://substackcdn.com/image/fetch/$s_!OItz!,w_1456,c_limit,f_auto,q_auto:good,fl_progressive:steep/https%3A%2F%2Fsubstack-post-media.s3.amazonaws.com%2Fpublic%2Fimages%2Fc9ae8dde-185e-440a-8bbe-539dd01d8590_980x492.png" width="980" height="492" data-attrs="{&quot;src&quot;:&quot;https://substack-post-media.s3.amazonaws.com/public/images/c9ae8dde-185e-440a-8bbe-539dd01d8590_980x492.png&quot;,&quot;srcNoWatermark&quot;:null,&quot;fullscreen&quot;:null,&quot;imageSize&quot;:null,&quot;height&quot;:492,&quot;width&quot;:980,&quot;resizeWidth&quot;:null,&quot;bytes&quot;:107513,&quot;alt&quot;:null,&quot;title&quot;:null,&quot;type&quot;:&quot;image/png&quot;,&quot;href&quot;:null,&quot;belowTheFold&quot;:true,&quot;topImage&quot;:false,&quot;internalRedirect&quot;:&quot;https://www.rohan-paul.com/i/165850447?img=https%3A%2F%2Fsubstack-post-media.s3.amazonaws.com%2Fpublic%2Fimages%2Fc9ae8dde-185e-440a-8bbe-539dd01d8590_980x492.png&quot;,&quot;isProcessing&quot;:false,&quot;align&quot;:null,&quot;offset&quot;:false}" class="sizing-normal" alt="" srcset="https://substackcdn.com/image/fetch/$s_!OItz!,w_424,c_limit,f_auto,q_auto:good,fl_progressive:steep/https%3A%2F%2Fsubstack-post-media.s3.amazonaws.com%2Fpublic%2Fimages%2Fc9ae8dde-185e-440a-8bbe-539dd01d8590_980x492.png 424w, https://substackcdn.com/image/fetch/$s_!OItz!,w_848,c_limit,f_auto,q_auto:good,fl_progressive:steep/https%3A%2F%2Fsubstack-post-media.s3.amazonaws.com%2Fpublic%2Fimages%2Fc9ae8dde-185e-440a-8bbe-539dd01d8590_980x492.png 848w, https://substackcdn.com/image/fetch/$s_!OItz!,w_1272,c_limit,f_auto,q_auto:good,fl_progressive:steep/https%3A%2F%2Fsubstack-post-media.s3.amazonaws.com%2Fpublic%2Fimages%2Fc9ae8dde-185e-440a-8bbe-539dd01d8590_980x492.png 1272w, https://substackcdn.com/image/fetch/$s_!OItz!,w_1456,c_limit,f_auto,q_auto:good,fl_progressive:steep/https%3A%2F%2Fsubstack-post-media.s3.amazonaws.com%2Fpublic%2Fimages%2Fc9ae8dde-185e-440a-8bbe-539dd01d8590_980x492.png 1456w" sizes="100vw" loading="lazy"></picture><div class="image-link-expand"><div class="pencraft pc-display-flex pc-gap-8 pc-reset"><button tabindex="0" type="button" class="pencraft pc-reset pencraft icon-container restack-image"><svg role="img" width="20" height="20" viewBox="0 0 20 20" fill="none" stroke-width="1.5" stroke="var(--color-fg-primary)" stroke-linecap="round" stroke-linejoin="round" xmlns="http://www.w3.org/2000/svg"><g><title></title><path d="M2.53001 7.81595C3.49179 4.73911 6.43281 2.5 9.91173 2.5C13.1684 2.5 15.9537 4.46214 17.0852 7.23684L17.6179 8.67647M17.6179 8.67647L18.5002 4.26471M17.6179 8.67647L13.6473 6.91176M17.4995 12.1841C16.5378 15.2609 13.5967 17.5 10.1178 17.5C6.86118 17.5 4.07589 15.5379 2.94432 12.7632L2.41165 11.3235M2.41165 11.3235L1.5293 15.7353M2.41165 11.3235L6.38224 13.0882"></path></g></svg></button><button tabindex="0" type="button" class="pencraft pc-reset pencraft icon-container view-image"><svg xmlns="http://www.w3.org/2000/svg" width="20" height="20" viewBox="0 0 24 24" fill="none" stroke="currentColor" stroke-width="2" stroke-linecap="round" stroke-linejoin="round" class="lucide lucide-maximize2 lucide-maximize-2"><polyline points="15 3 21 3 21 9"></polyline><polyline points="9 21 3 21 3 15"></polyline><line x1="21" x2="14" y1="3" y2="10"></line><line x1="3" x2="10" y1="21" y2="14"></line></svg></button></div></div></div></a></figure></div><p>Therefore, zero correlation merely states there is no linear relationship, but there could still be a non-linear relationship that reflects genuine dependence.</p><p><strong>Practical Relevance</strong></p><ul><li><p>In real-world data, you can easily have variables with complex dependencies. For instance, a variable might be related to the square, exponential, or logarithm of another variable. Standard correlation checks (like Pearson correlation) will not always detect such relationships.</p></li><li><p>To detect more general dependencies, you would look at higher-order statistics or use mutual information, kernel-based measures (like HSIC), or methods like distance correlation.</p></li></ul><div class="subscription-widget-wrap-editor" data-attrs="{&quot;url&quot;:&quot;https://www.rohan-paul.com/subscribe?&quot;,&quot;text&quot;:&quot;Subscribe&quot;,&quot;language&quot;:&quot;en&quot;}" data-component-name="SubscribeWidgetToDOM"><div class="subscription-widget show-subscribe"><div class="preamble"><p class="cta-caption">I write everyday for my readers on actionable AI. Subscribe and instantly get a 1300+ page Python book.</p></div><form class="subscription-widget-subscribe"><input type="email" class="email-input" name="email" placeholder="Type your email&#8230;" tabindex="-1"><input type="submit" class="button primary" value="Subscribe"><div class="fake-input-wrapper"><div class="fake-input"></div><div class="fake-button"></div></div></form></div></div><h2><strong>Follow-up Question 1</strong></h2><h3><strong>Why does independence always imply zero correlation, but zero correlation does not necessarily imply independence?</strong></h3><p>Because independence means that the joint distribution is completely factorizable into separate distributions of each variable. This complete factorization implies there is no way to predict one variable from the other, even via non-linear transformations. Consequently, all moments factorize, leading to a covariance of zero. However, having zero covariance only rules out linear relationships but does not exclude more general functional relationships or dependence. Hence, zero correlation is a much weaker condition than independence.</p><h2><strong>Follow-up Question 2</strong></h2><h3><strong>How does this phenomenon manifest in practice when analyzing real-world data?</strong></h3><p>In practical scenarios, you might compute correlation between two variables and find a near-zero value. If you prematurely conclude &#8220;these variables are unrelated,&#8221; you might miss strong non-linear effects. For instance, a stock market variable X<em> </em>and another market indicator Y might have zero correlation on paper, yet Y might respond to the absolute changes in X. If your analysis only looks at linear correlation, you could overlook a crucial risk factor. Therefore, advanced exploratory data analysis techniques&#8212;like plotting the variables, computing rank correlations (Spearman&#8217;s or Kendall&#8217;s), or using generalized correlation measures&#8212;are often used.</p><h2><strong>Follow-up Question 3</strong></h2><h3><strong>Could you give an example of how to code a quick check for non-linear dependence in Python?</strong></h3><div class="captioned-image-container"><figure><a class="image-link image2" target="_blank" href="https://substackcdn.com/image/fetch/$s_!0RVB!,f_auto,q_auto:good,fl_progressive:steep/https%3A%2F%2Fsubstack-post-media.s3.amazonaws.com%2Fpublic%2Fimages%2Fc441b1cc-7828-466f-b8e4-27a5740d8f5c_923x171.png" data-component-name="Image2ToDOM"><div class="image2-inset"><picture><source type="image/webp" srcset="https://substackcdn.com/image/fetch/$s_!0RVB!,w_424,c_limit,f_webp,q_auto:good,fl_progressive:steep/https%3A%2F%2Fsubstack-post-media.s3.amazonaws.com%2Fpublic%2Fimages%2Fc441b1cc-7828-466f-b8e4-27a5740d8f5c_923x171.png 424w, https://substackcdn.com/image/fetch/$s_!0RVB!,w_848,c_limit,f_webp,q_auto:good,fl_progressive:steep/https%3A%2F%2Fsubstack-post-media.s3.amazonaws.com%2Fpublic%2Fimages%2Fc441b1cc-7828-466f-b8e4-27a5740d8f5c_923x171.png 848w, https://substackcdn.com/image/fetch/$s_!0RVB!,w_1272,c_limit,f_webp,q_auto:good,fl_progressive:steep/https%3A%2F%2Fsubstack-post-media.s3.amazonaws.com%2Fpublic%2Fimages%2Fc441b1cc-7828-466f-b8e4-27a5740d8f5c_923x171.png 1272w, https://substackcdn.com/image/fetch/$s_!0RVB!,w_1456,c_limit,f_webp,q_auto:good,fl_progressive:steep/https%3A%2F%2Fsubstack-post-media.s3.amazonaws.com%2Fpublic%2Fimages%2Fc441b1cc-7828-466f-b8e4-27a5740d8f5c_923x171.png 1456w" sizes="100vw"><img src="https://substackcdn.com/image/fetch/$s_!0RVB!,w_1456,c_limit,f_auto,q_auto:good,fl_progressive:steep/https%3A%2F%2Fsubstack-post-media.s3.amazonaws.com%2Fpublic%2Fimages%2Fc441b1cc-7828-466f-b8e4-27a5740d8f5c_923x171.png" width="923" height="171" data-attrs="{&quot;src&quot;:&quot;https://substack-post-media.s3.amazonaws.com/public/images/c441b1cc-7828-466f-b8e4-27a5740d8f5c_923x171.png&quot;,&quot;srcNoWatermark&quot;:null,&quot;fullscreen&quot;:null,&quot;imageSize&quot;:null,&quot;height&quot;:171,&quot;width&quot;:923,&quot;resizeWidth&quot;:null,&quot;bytes&quot;:34334,&quot;alt&quot;:null,&quot;title&quot;:null,&quot;type&quot;:&quot;image/png&quot;,&quot;href&quot;:null,&quot;belowTheFold&quot;:true,&quot;topImage&quot;:false,&quot;internalRedirect&quot;:&quot;https://www.rohan-paul.com/i/165850447?img=https%3A%2F%2Fsubstack-post-media.s3.amazonaws.com%2Fpublic%2Fimages%2Fc441b1cc-7828-466f-b8e4-27a5740d8f5c_923x171.png&quot;,&quot;isProcessing&quot;:false,&quot;align&quot;:null,&quot;offset&quot;:false}" class="sizing-normal" alt="" srcset="https://substackcdn.com/image/fetch/$s_!0RVB!,w_424,c_limit,f_auto,q_auto:good,fl_progressive:steep/https%3A%2F%2Fsubstack-post-media.s3.amazonaws.com%2Fpublic%2Fimages%2Fc441b1cc-7828-466f-b8e4-27a5740d8f5c_923x171.png 424w, https://substackcdn.com/image/fetch/$s_!0RVB!,w_848,c_limit,f_auto,q_auto:good,fl_progressive:steep/https%3A%2F%2Fsubstack-post-media.s3.amazonaws.com%2Fpublic%2Fimages%2Fc441b1cc-7828-466f-b8e4-27a5740d8f5c_923x171.png 848w, https://substackcdn.com/image/fetch/$s_!0RVB!,w_1272,c_limit,f_auto,q_auto:good,fl_progressive:steep/https%3A%2F%2Fsubstack-post-media.s3.amazonaws.com%2Fpublic%2Fimages%2Fc441b1cc-7828-466f-b8e4-27a5740d8f5c_923x171.png 1272w, https://substackcdn.com/image/fetch/$s_!0RVB!,w_1456,c_limit,f_auto,q_auto:good,fl_progressive:steep/https%3A%2F%2Fsubstack-post-media.s3.amazonaws.com%2Fpublic%2Fimages%2Fc441b1cc-7828-466f-b8e4-27a5740d8f5c_923x171.png 1456w" sizes="100vw" loading="lazy"></picture><div></div></div></a></figure></div><pre><code><code>import numpy as np
from scipy.stats import pearsonr, spearmanr

np.random.seed(42)

# Generate X uniformly in [-1,1]
X = np.random.uniform(-1, 1, 10000)
Y = X**2

# Pearson correlation (linear)
pearson_corr, _ = pearsonr(X, Y)

# Spearman correlation (rank-based, can detect some non-linear correlations)
spearman_corr, _ = spearmanr(X, Y)

print("Pearson correlation:", pearson_corr)
print("Spearman correlation:", spearman_corr)
</code></code></pre><p><strong>Explanation of the code</strong></p><ul><li><p>We first create a large sample of size 10,000 from a uniform distribution in the interval [-1,1].</p></li><li><p>We define Y as the square of X.</p></li><li><p>We compute Pearson&#8217;s correlation with <code>pearsonr</code>. Because of the symmetric nature of X, it should be near zero.</p></li><li><p>We then compute Spearman&#8217;s rank correlation via <code>spearmanr</code>. This measure can detect that Y grows with the magnitude of X, so you expect a non-trivial, positive Spearman correlation, indicating a dependence not captured by Pearson&#8217;s correlation.</p></li></ul><h2><strong>Follow-up Question 4</strong></h2><h3><strong>Are there scenarios in which even advanced correlation measures might fail to capture certain dependences?</strong></h3><p>Yes. Some particularly pathological relationships or high-dimensional dependencies can be missed by standard correlation-based metrics (including rank-based measures). For instance, if the dependency is very subtle or only apparent in small pockets of the feature space, you might need specialized or domain-specific methods, or you could rely on generalized metrics like <strong>mutual information</strong> or other information-theoretic measures. In higher dimensions, the &#8220;curse of dimensionality&#8221; can also obscure dependence, requiring more sophisticated dimensionality reduction or specialized algorithms.</p><h2><strong>Follow-up Question 5</strong></h2><h3><strong>If we see zero correlation, what steps can we take in practice to confirm or refute independence?</strong></h3><ul><li><p><strong>Visual Inspection</strong>: Always plot your variables in scatter plots. Sometimes you will visually identify a pattern that the correlation measure fails to quantify (like a parabolic or circular pattern).</p></li><li><p><strong>Compute Alternative Dependence Measures</strong>: Spearman&#8217;s correlation, Kendall&#8217;s tau, distance correlation, HSIC, or mutual information can give broader insight.</p></li><li><p><strong>Hypothesis Testing</strong>: Use independence tests. There are many advanced statistical approaches (like kernel-based tests) that can directly test the hypothesis of independence.</p></li></ul><div class="captioned-image-container"><figure><a class="image-link image2" target="_blank" href="https://substackcdn.com/image/fetch/$s_!Jujk!,f_auto,q_auto:good,fl_progressive:steep/https%3A%2F%2Fsubstack-post-media.s3.amazonaws.com%2Fpublic%2Fimages%2F7b24433a-0cbc-49d8-a92b-477021706b98_794x121.png" data-component-name="Image2ToDOM"><div class="image2-inset"><picture><source type="image/webp" srcset="https://substackcdn.com/image/fetch/$s_!Jujk!,w_424,c_limit,f_webp,q_auto:good,fl_progressive:steep/https%3A%2F%2Fsubstack-post-media.s3.amazonaws.com%2Fpublic%2Fimages%2F7b24433a-0cbc-49d8-a92b-477021706b98_794x121.png 424w, https://substackcdn.com/image/fetch/$s_!Jujk!,w_848,c_limit,f_webp,q_auto:good,fl_progressive:steep/https%3A%2F%2Fsubstack-post-media.s3.amazonaws.com%2Fpublic%2Fimages%2F7b24433a-0cbc-49d8-a92b-477021706b98_794x121.png 848w, https://substackcdn.com/image/fetch/$s_!Jujk!,w_1272,c_limit,f_webp,q_auto:good,fl_progressive:steep/https%3A%2F%2Fsubstack-post-media.s3.amazonaws.com%2Fpublic%2Fimages%2F7b24433a-0cbc-49d8-a92b-477021706b98_794x121.png 1272w, https://substackcdn.com/image/fetch/$s_!Jujk!,w_1456,c_limit,f_webp,q_auto:good,fl_progressive:steep/https%3A%2F%2Fsubstack-post-media.s3.amazonaws.com%2Fpublic%2Fimages%2F7b24433a-0cbc-49d8-a92b-477021706b98_794x121.png 1456w" sizes="100vw"><img src="https://substackcdn.com/image/fetch/$s_!Jujk!,w_1456,c_limit,f_auto,q_auto:good,fl_progressive:steep/https%3A%2F%2Fsubstack-post-media.s3.amazonaws.com%2Fpublic%2Fimages%2F7b24433a-0cbc-49d8-a92b-477021706b98_794x121.png" width="794" height="121" data-attrs="{&quot;src&quot;:&quot;https://substack-post-media.s3.amazonaws.com/public/images/7b24433a-0cbc-49d8-a92b-477021706b98_794x121.png&quot;,&quot;srcNoWatermark&quot;:null,&quot;fullscreen&quot;:null,&quot;imageSize&quot;:null,&quot;height&quot;:121,&quot;width&quot;:794,&quot;resizeWidth&quot;:null,&quot;bytes&quot;:31112,&quot;alt&quot;:null,&quot;title&quot;:null,&quot;type&quot;:&quot;image/png&quot;,&quot;href&quot;:null,&quot;belowTheFold&quot;:true,&quot;topImage&quot;:false,&quot;internalRedirect&quot;:&quot;https://www.rohan-paul.com/i/165850447?img=https%3A%2F%2Fsubstack-post-media.s3.amazonaws.com%2Fpublic%2Fimages%2F7b24433a-0cbc-49d8-a92b-477021706b98_794x121.png&quot;,&quot;isProcessing&quot;:false,&quot;align&quot;:null,&quot;offset&quot;:false}" class="sizing-normal" alt="" srcset="https://substackcdn.com/image/fetch/$s_!Jujk!,w_424,c_limit,f_auto,q_auto:good,fl_progressive:steep/https%3A%2F%2Fsubstack-post-media.s3.amazonaws.com%2Fpublic%2Fimages%2F7b24433a-0cbc-49d8-a92b-477021706b98_794x121.png 424w, https://substackcdn.com/image/fetch/$s_!Jujk!,w_848,c_limit,f_auto,q_auto:good,fl_progressive:steep/https%3A%2F%2Fsubstack-post-media.s3.amazonaws.com%2Fpublic%2Fimages%2F7b24433a-0cbc-49d8-a92b-477021706b98_794x121.png 848w, https://substackcdn.com/image/fetch/$s_!Jujk!,w_1272,c_limit,f_auto,q_auto:good,fl_progressive:steep/https%3A%2F%2Fsubstack-post-media.s3.amazonaws.com%2Fpublic%2Fimages%2F7b24433a-0cbc-49d8-a92b-477021706b98_794x121.png 1272w, https://substackcdn.com/image/fetch/$s_!Jujk!,w_1456,c_limit,f_auto,q_auto:good,fl_progressive:steep/https%3A%2F%2Fsubstack-post-media.s3.amazonaws.com%2Fpublic%2Fimages%2F7b24433a-0cbc-49d8-a92b-477021706b98_794x121.png 1456w" sizes="100vw" loading="lazy"></picture><div></div></div></a></figure></div><h2><strong>Follow-up Question 6</strong></h2><h3><strong>What can happen if someone incorrectly assumes zero correlation implies independence in a machine learning pipeline?</strong></h3><p>If you incorrectly treat two variables as &#8220;safe to consider independent,&#8221; you might apply modeling or feature engineering decisions that ignore strong non-linear interactions. For example, you might throw away a feature because its correlation with the target is zero, yet in reality the feature has a significant non-linear effect that a complex model (like a neural network or random forest) could have exploited. This can lead to suboptimal model performance, overlooked predictive power, or incorrect inferences in statistical models.</p><h2><strong>Follow-up Question 7</strong></h2><h3><strong>How might this affect feature selection or dimensionality reduction steps in deep learning models?</strong></h3><ul><li><p>In many deep learning pipelines, automatic feature extraction might circumvent some of the pitfalls of ignoring non-linear relationships. However, if a human is performing feature selection upfront based on correlation thresholds, potentially valuable non-linear features might be discarded.</p></li><li><p>Dimensionality reduction techniques such as PCA rely on maximizing variance along principal components, which is inherently a linear method. If important non-linear relationships exist, PCA might not capture them well, so methods like kernel PCA or other manifold learning approaches (t-SNE, UMAP) might be more appropriate.</p></li></ul><h2><strong>Follow-up Question 8</strong></h2><h3><strong>Could independence be proven if we only tested a finite set of correlations and transformations?</strong></h3><p>No. True statistical independence requires that every possible relationship between the variables is absent. Testing only a finite set of transformations&#8212;be it polynomial relationships or just rank correlations&#8212;cannot conclusively prove independence for all functional forms. One often resorts to domain knowledge or advanced non-parametric tests, but in strict theory, it is impossible to fully prove independence using only finite observational data without strong assumptions.</p><h2><strong>Follow-up Question 9</strong></h2><h3><strong>Are there real-world distributions where zero correlation but dependence frequently occurs?</strong></h3><p>Yes. Financial time series often exhibit relationships that are more evident in volatility (squared returns) rather than the raw returns themselves. For instance, raw returns over short intervals can appear to have near-zero correlation, yet their magnitudes or squares can show volatility clustering. Many cyclical or periodic phenomena (e.g., certain seasonal patterns) can also exhibit zero mean correlation but exhibit dependence in other ways (like phases aligning).</p><div><hr></div><h2><strong>Below are additional follow-up questions</strong></h2><h2><strong>How do partial correlations factor into the idea that zero correlation does not imply independence?</strong></h2><p><strong>Detailed Explanation of the Question</strong> Partial correlation attempts to measure the linear dependence between two variables while controlling for other variables in the dataset. Even if two variables X and Y have zero correlation when considered in isolation, it is possible that once we hold a third variable Z constant, there emerges a non-zero partial correlation or vice versa. The key point is that direct correlation (Pearson correlation) is only one perspective; partial correlation can uncover hidden relationships that are masked when all variables vary freely.</p><p><strong>Why This Matters</strong> In practice, especially in multivariate settings, we rarely analyze only two variables in isolation. Controlling for confounding variables can reveal or mask important non-linear or even linear relationships that are not evident otherwise. A zero correlation in raw data might lead to an incorrect conclusion of independence unless we check partial correlations and other measures that account for additional factors.</p><p><strong>Example Scenario</strong> Imagine a situation with three variables: X, Y, and Z. Suppose that Y depends strongly on Z, and X also depends strongly on Z. If that dependence has a particular structure (e.g., X and Y each vary linearly with Z but in opposite directions), X and Y might appear to have near-zero correlation. However, if you control for Z (via partial correlation), you might see a significant relationship between the residuals of X and Y once Z is held constant.</p><p><strong>Pitfalls or Edge Cases</strong> A common pitfall is to measure simple correlation between X and Y, find zero or close to zero, and conclude no relationship exists. Failing to measure partial correlations in complex datasets can lead to overlooking variables that become relevant only under certain conditions.</p><h2><strong>What role does canonical correlation analysis play in detecting more subtle relationships among sets of variables?</strong></h2><p><strong>Detailed Explanation of the Question</strong> Canonical correlation analysis (CCA) extends the concept of correlation to pairs of sets of variables. Instead of measuring the correlation between two single variables, CCA finds linear combinations of one set of variables and linear combinations of another set of variables that maximize their mutual correlation.</p><p><strong>Relevance to the Zero Correlation vs. Independence Discussion</strong> If each variable in set 1 is individually zero-correlated with each variable in set 2, one might hastily conclude there is no relationship. However, it is possible that a certain combination (a linear mixture) of the variables in set 1 is highly correlated with another combination of variables in set 2. Zero pairwise correlation does not guarantee that no such linear combinations exist.</p><p>Example In many neuroscience or genomics applications, each data point might consist of dozens or hundreds of measurements. Canonical correlation can show that a weighted sum of some neural signals is strongly associated with a weighted sum of gene expression signals, even though any individual neural measurement has a near-zero correlation with any individual gene measurement.</p><p><strong>Pitfalls or Edge Cases</strong> Interpreting canonical correlations can be non-trivial. If the dataset is high-dimensional with relatively few samples, spurious canonical correlations might appear. Proper regularization or dimensionality reduction might be needed before trusting the results.</p><h2><strong>Can non-linear transformations mask or artificially create correlations, and how does that relate to the zero-correlation vs. independence distinction?</strong></h2><p><strong>Detailed Explanation of the Question</strong> Transformations (such as logarithms, exponentials, squaring, or even standardizing) can drastically alter the correlation structure of data. A transformation might introduce curvature or distort scale in a way that either inflates or deflates correlation.</p><p><strong>Why This Matters</strong> When we discuss the difference between zero correlation and independence, transformations can obscure or highlight relationships. A variable pair may exhibit zero correlation in their raw forms, but a log-transform could reveal a linear relationship (and thus a non-zero correlation). Conversely, a poor transformation can mask an otherwise visible correlation.</p><p><strong>Subtle Real-World Example</strong> Financial returns are often log-transformed because price-level correlations may differ drastically from returns-level correlations. If someone incorrectly applies or omits the log transform, they might find spurious correlations or miss real ones.</p><p><strong>Pitfalls or Edge Cases</strong> In some data preprocessing pipelines, multiple transformations are applied without carefully inspecting how they affect correlation structure. This can lead to contradictory or misleading findings about which features are &#8220;correlated.&#8221;</p><h2><strong>How do we differentiate between correlation and causation in scenarios where variables might be dependent but exhibit zero correlation?</strong></h2><p><strong>Detailed Explanation of the Question</strong> Causation implies that changes in one variable bring about changes in another. Correlation, on the other hand, measures only a relationship&#8212;whether linear or non-linear&#8212;without specifying direction or mechanism. When variables have zero correlation but remain dependent, it demonstrates how tricky it can be to deduce causal relationships from purely observational data.</p><div class="captioned-image-container"><figure><a class="image-link image2" target="_blank" href="https://substackcdn.com/image/fetch/$s_!B-Oo!,f_auto,q_auto:good,fl_progressive:steep/https%3A%2F%2Fsubstack-post-media.s3.amazonaws.com%2Fpublic%2Fimages%2Fbf10ca53-e009-412d-bf1c-e3047c33dd72_941x189.png" data-component-name="Image2ToDOM"><div class="image2-inset"><picture><source type="image/webp" srcset="https://substackcdn.com/image/fetch/$s_!B-Oo!,w_424,c_limit,f_webp,q_auto:good,fl_progressive:steep/https%3A%2F%2Fsubstack-post-media.s3.amazonaws.com%2Fpublic%2Fimages%2Fbf10ca53-e009-412d-bf1c-e3047c33dd72_941x189.png 424w, https://substackcdn.com/image/fetch/$s_!B-Oo!,w_848,c_limit,f_webp,q_auto:good,fl_progressive:steep/https%3A%2F%2Fsubstack-post-media.s3.amazonaws.com%2Fpublic%2Fimages%2Fbf10ca53-e009-412d-bf1c-e3047c33dd72_941x189.png 848w, https://substackcdn.com/image/fetch/$s_!B-Oo!,w_1272,c_limit,f_webp,q_auto:good,fl_progressive:steep/https%3A%2F%2Fsubstack-post-media.s3.amazonaws.com%2Fpublic%2Fimages%2Fbf10ca53-e009-412d-bf1c-e3047c33dd72_941x189.png 1272w, https://substackcdn.com/image/fetch/$s_!B-Oo!,w_1456,c_limit,f_webp,q_auto:good,fl_progressive:steep/https%3A%2F%2Fsubstack-post-media.s3.amazonaws.com%2Fpublic%2Fimages%2Fbf10ca53-e009-412d-bf1c-e3047c33dd72_941x189.png 1456w" sizes="100vw"><img src="https://substackcdn.com/image/fetch/$s_!B-Oo!,w_1456,c_limit,f_auto,q_auto:good,fl_progressive:steep/https%3A%2F%2Fsubstack-post-media.s3.amazonaws.com%2Fpublic%2Fimages%2Fbf10ca53-e009-412d-bf1c-e3047c33dd72_941x189.png" width="941" height="189" data-attrs="{&quot;src&quot;:&quot;https://substack-post-media.s3.amazonaws.com/public/images/bf10ca53-e009-412d-bf1c-e3047c33dd72_941x189.png&quot;,&quot;srcNoWatermark&quot;:null,&quot;fullscreen&quot;:null,&quot;imageSize&quot;:null,&quot;height&quot;:189,&quot;width&quot;:941,&quot;resizeWidth&quot;:null,&quot;bytes&quot;:41752,&quot;alt&quot;:null,&quot;title&quot;:null,&quot;type&quot;:&quot;image/png&quot;,&quot;href&quot;:null,&quot;belowTheFold&quot;:true,&quot;topImage&quot;:false,&quot;internalRedirect&quot;:&quot;https://www.rohan-paul.com/i/165850447?img=https%3A%2F%2Fsubstack-post-media.s3.amazonaws.com%2Fpublic%2Fimages%2Fbf10ca53-e009-412d-bf1c-e3047c33dd72_941x189.png&quot;,&quot;isProcessing&quot;:false,&quot;align&quot;:null,&quot;offset&quot;:false}" class="sizing-normal" alt="" srcset="https://substackcdn.com/image/fetch/$s_!B-Oo!,w_424,c_limit,f_auto,q_auto:good,fl_progressive:steep/https%3A%2F%2Fsubstack-post-media.s3.amazonaws.com%2Fpublic%2Fimages%2Fbf10ca53-e009-412d-bf1c-e3047c33dd72_941x189.png 424w, https://substackcdn.com/image/fetch/$s_!B-Oo!,w_848,c_limit,f_auto,q_auto:good,fl_progressive:steep/https%3A%2F%2Fsubstack-post-media.s3.amazonaws.com%2Fpublic%2Fimages%2Fbf10ca53-e009-412d-bf1c-e3047c33dd72_941x189.png 848w, https://substackcdn.com/image/fetch/$s_!B-Oo!,w_1272,c_limit,f_auto,q_auto:good,fl_progressive:steep/https%3A%2F%2Fsubstack-post-media.s3.amazonaws.com%2Fpublic%2Fimages%2Fbf10ca53-e009-412d-bf1c-e3047c33dd72_941x189.png 1272w, https://substackcdn.com/image/fetch/$s_!B-Oo!,w_1456,c_limit,f_auto,q_auto:good,fl_progressive:steep/https%3A%2F%2Fsubstack-post-media.s3.amazonaws.com%2Fpublic%2Fimages%2Fbf10ca53-e009-412d-bf1c-e3047c33dd72_941x189.png 1456w" sizes="100vw" loading="lazy"></picture><div></div></div></a></figure></div><p><strong>Real-World Pitfall</strong> In time-series analysis of economic indicators, one might see zero correlation in raw data, but more sophisticated methods (like Granger causality, structural equation models, or domain-based logic) reveal a causal mechanism. Relying solely on correlation-based arguments can lead to erroneous policy or business decisions.</p><h2><strong>In multivariate data, how can two variables each be correlated with a third variable but not correlate with each other?</strong></h2><p><strong>Detailed Explanation of the Question</strong> This situation arises when X and Y each correlate with Z but not with each other. Specifically, X could increase with Z, and Y could also increase with Z, but the link between X and Y is negligible once Z is factored out. This ties back to the concept of partial correlation and confounding.</p><p><strong>Relation to Zero Correlation vs. Independence</strong> X and Y might appear uncorrelated overall. However, they may still exhibit a conditional dependence given Z. Zero correlation does not necessarily mean independence, nor does correlation with a shared third variable ensure a direct relationship between X and Y.</p><p><strong>Practical Pitfall</strong> In medical data, cholesterol level (X) and blood pressure (Y) might each correlate strongly with age (Z), but not necessarily with each other. If an analysis lumps everything together and checks only for correlation between cholesterol and blood pressure, it may overlook the underlying influence of age.</p><h2><strong>Could zero correlation arise purely from sampling issues, and how do we check for that?</strong></h2><p><strong>Detailed Explanation of the Question</strong> Small sample sizes or biased sampling can yield misleading correlation measures. With a limited or non-representative sample, the empirical correlation might hover near zero even if there is a real underlying dependence.</p><p><strong>How to Address This</strong> Researchers often perform statistical significance tests or confidence interval estimations for correlation coefficients. For small sample sizes, non-parametric methods or robust sampling techniques may be needed. In large sample sizes, correlation estimates become more stable, but one can still face issues if the data is systematically biased (e.g., missing not at random).</p><p><strong>Potential Edge Cases</strong> A dataset with heavy outliers could bring the sample correlation closer to zero, even though most of the data exhibits a clear positive or negative trend. It&#8217;s essential to visualize data and possibly remove or mitigate outliers before concluding zero correlation.</p><h2><strong>How might zero correlation but dependence appear when dealing with periodic or cyclical data (e.g., signals with different phases)?</strong></h2><p><strong>Detailed Explanation of the Question</strong> Cyclical or periodic variables might be completely out of phase with each other. If one signal peaks when the other is at a trough, and they do so consistently, the linear correlation could be near zero over a full cycle. However, if you align the signals or examine time-lagged correlations, a clear dependence might emerge.</p><p><strong>Real-World Example</strong> Seasonal effects in climate data: daily temperature and daily humidity might have complicated time-lag relationships. Over certain months, these variables appear negatively correlated, while in other months they appear positively correlated. Over the entire year, the net correlation might be near zero, yet they exhibit strong seasonal dependence.</p><p>Pitfalls If one lumps an entire year&#8217;s data together, the correlation might vanish. If an analyst incorrectly concludes independence, important cyclical relationships can be missed. Breaking the data into appropriate segments or looking at cross-correlation with time lags can reveal the hidden dependence.</p><h2><strong>Is there a scenario where a non-monotonic relationship leads to zero correlation, and can we detect it with rank-based methods?</strong></h2><p><strong>Detailed Explanation of the Question</strong> A non-monotonic relationship might increase in one region of <em>X</em>&#8217;s domain but decrease in another region. One classic example is a sinusoidal relationship: Y=sin&#8289;(X). Over a full period, the ups and downs can cancel out in a Pearson correlation sense, yielding zero.</p><p><strong>Rank-Based Detection</strong> Spearman&#8217;s rank correlation captures monotonic relationships but not all non-monotonic ones. So if the relationship is strictly monotonic, Spearman&#8217;s correlation will detect it. But if the relationship oscillates multiple times, you might still see near-zero rank correlation while a clear pattern remains. You might need more sophisticated measures (e.g., distance correlation or mutual information).</p><p><strong>Real-World Subtlety</strong> In many engineering or physics contexts, signals can have harmonics or be wave-like. If an analyst tries only Pearson or Spearman correlation, they might see zero or near-zero correlation. A time-domain or frequency-domain analysis would be more appropriate.</p><h2><strong>How can spurious correlations complicate our understanding of zero correlation vs. independence?</strong></h2><p><strong>Detailed Explanation of the Question</strong> A spurious correlation is a false or coincidental statistical relationship that arises from chance or from confounding variables. Even though we&#8217;re primarily concerned with the case of zero correlation, spurious correlations are important to consider because they remind us how easily random patterns can be interpreted incorrectly. Likewise, an apparent zero correlation might also be spurious if, in a larger dataset or under different conditions, a correlation emerges.</p><p><strong>Edge Cases</strong> If we sample certain time frames or subsets of data, we might see ephemeral correlations or ephemeral zero correlations. The real distribution might yield a stable dependence if we had more comprehensive data.</p><p><strong>Practical Advice</strong> Always scrutinize your data collection method. Look at broader time frames or different sub-populations to see if the zero correlation persists or changes drastically.</p><h2><strong>Can domain-specific knowledge override a zero correlation measure when suspecting an underlying relationship?</strong></h2><p><strong>Detailed Explanation of the Question</strong> Zero correlation is a purely statistical measure of linear association. Domain knowledge might suggest that a causal or functional mechanism must exist (for example, physical laws or biological pathways). Even if you observe zero correlation in a given dataset, the prior knowledge might lead you to suspect that data sampling issues, transformations, or confounding variables are obscuring the relationship.</p><p><strong>Why This is Important</strong> In fields like physics, chemistry, biology, or engineering, prior theoretical frameworks can be more reliable than raw statistical measures. If a well-established theory indicates Y depends on X, but your data yields zero correlation, you should be skeptical about concluding independence.</p><p>Pitfalls Overreliance on domain knowledge without checking the data properly can lead to ignoring real anomalies. Conversely, blindly trusting the correlation coefficient can make you miss a scientifically justified relationship that is masked in your observed sample.</p>]]></content:encoded></item><item><title><![CDATA[ML Interview Q Series: Kullback–Leibler Divergence: Measuring Distribution Differences in Machine Learning.]]></title><description><![CDATA[&#128218; Browse the full ML Interview series here.]]></description><link>https://www.rohan-paul.com/p/ml-interview-q-series-kullbackleibler</link><guid isPermaLink="false">https://www.rohan-paul.com/p/ml-interview-q-series-kullbackleibler</guid><pubDate>Fri, 13 Jun 2025 08:28:31 GMT</pubDate><enclosure url="https://substackcdn.com/image/fetch/$s_!HPNL!,f_auto,q_auto:good,fl_progressive:steep/https%3A%2F%2Fsubstack-post-media.s3.amazonaws.com%2Fpublic%2Fimages%2Fe2351c1f-7a47-4bfd-9c35-215a83ced0fb_1024x508.png" length="0" type="image/jpeg"/><content:encoded><![CDATA[<div class="captioned-image-container"><figure><a class="image-link image2 is-viewable-img" target="_blank" href="https://substackcdn.com/image/fetch/$s_!HPNL!,f_auto,q_auto:good,fl_progressive:steep/https%3A%2F%2Fsubstack-post-media.s3.amazonaws.com%2Fpublic%2Fimages%2Fe2351c1f-7a47-4bfd-9c35-215a83ced0fb_1024x508.png" data-component-name="Image2ToDOM"><div class="image2-inset"><picture><source type="image/webp" srcset="https://substackcdn.com/image/fetch/$s_!HPNL!,w_424,c_limit,f_webp,q_auto:good,fl_progressive:steep/https%3A%2F%2Fsubstack-post-media.s3.amazonaws.com%2Fpublic%2Fimages%2Fe2351c1f-7a47-4bfd-9c35-215a83ced0fb_1024x508.png 424w, https://substackcdn.com/image/fetch/$s_!HPNL!,w_848,c_limit,f_webp,q_auto:good,fl_progressive:steep/https%3A%2F%2Fsubstack-post-media.s3.amazonaws.com%2Fpublic%2Fimages%2Fe2351c1f-7a47-4bfd-9c35-215a83ced0fb_1024x508.png 848w, https://substackcdn.com/image/fetch/$s_!HPNL!,w_1272,c_limit,f_webp,q_auto:good,fl_progressive:steep/https%3A%2F%2Fsubstack-post-media.s3.amazonaws.com%2Fpublic%2Fimages%2Fe2351c1f-7a47-4bfd-9c35-215a83ced0fb_1024x508.png 1272w, https://substackcdn.com/image/fetch/$s_!HPNL!,w_1456,c_limit,f_webp,q_auto:good,fl_progressive:steep/https%3A%2F%2Fsubstack-post-media.s3.amazonaws.com%2Fpublic%2Fimages%2Fe2351c1f-7a47-4bfd-9c35-215a83ced0fb_1024x508.png 1456w" sizes="100vw"><img src="https://substackcdn.com/image/fetch/$s_!HPNL!,w_1456,c_limit,f_auto,q_auto:good,fl_progressive:steep/https%3A%2F%2Fsubstack-post-media.s3.amazonaws.com%2Fpublic%2Fimages%2Fe2351c1f-7a47-4bfd-9c35-215a83ced0fb_1024x508.png" width="1024" height="508" data-attrs="{&quot;src&quot;:&quot;https://substack-post-media.s3.amazonaws.com/public/images/e2351c1f-7a47-4bfd-9c35-215a83ced0fb_1024x508.png&quot;,&quot;srcNoWatermark&quot;:null,&quot;fullscreen&quot;:null,&quot;imageSize&quot;:null,&quot;height&quot;:508,&quot;width&quot;:1024,&quot;resizeWidth&quot;:null,&quot;bytes&quot;:669144,&quot;alt&quot;:null,&quot;title&quot;:null,&quot;type&quot;:&quot;image/png&quot;,&quot;href&quot;:null,&quot;belowTheFold&quot;:false,&quot;topImage&quot;:true,&quot;internalRedirect&quot;:&quot;https://www.rohan-paul.com/i/165850161?img=https%3A%2F%2Fsubstack-post-media.s3.amazonaws.com%2Fpublic%2Fimages%2Fe2351c1f-7a47-4bfd-9c35-215a83ced0fb_1024x508.png&quot;,&quot;isProcessing&quot;:false,&quot;align&quot;:null,&quot;offset&quot;:false}" class="sizing-normal" alt="" srcset="https://substackcdn.com/image/fetch/$s_!HPNL!,w_424,c_limit,f_auto,q_auto:good,fl_progressive:steep/https%3A%2F%2Fsubstack-post-media.s3.amazonaws.com%2Fpublic%2Fimages%2Fe2351c1f-7a47-4bfd-9c35-215a83ced0fb_1024x508.png 424w, https://substackcdn.com/image/fetch/$s_!HPNL!,w_848,c_limit,f_auto,q_auto:good,fl_progressive:steep/https%3A%2F%2Fsubstack-post-media.s3.amazonaws.com%2Fpublic%2Fimages%2Fe2351c1f-7a47-4bfd-9c35-215a83ced0fb_1024x508.png 848w, https://substackcdn.com/image/fetch/$s_!HPNL!,w_1272,c_limit,f_auto,q_auto:good,fl_progressive:steep/https%3A%2F%2Fsubstack-post-media.s3.amazonaws.com%2Fpublic%2Fimages%2Fe2351c1f-7a47-4bfd-9c35-215a83ced0fb_1024x508.png 1272w, https://substackcdn.com/image/fetch/$s_!HPNL!,w_1456,c_limit,f_auto,q_auto:good,fl_progressive:steep/https%3A%2F%2Fsubstack-post-media.s3.amazonaws.com%2Fpublic%2Fimages%2Fe2351c1f-7a47-4bfd-9c35-215a83ced0fb_1024x508.png 1456w" sizes="100vw" fetchpriority="high"></picture><div class="image-link-expand"><div class="pencraft pc-display-flex pc-gap-8 pc-reset"><button tabindex="0" type="button" class="pencraft pc-reset pencraft icon-container restack-image"><svg role="img" width="20" height="20" viewBox="0 0 20 20" fill="none" stroke-width="1.5" stroke="var(--color-fg-primary)" stroke-linecap="round" stroke-linejoin="round" xmlns="http://www.w3.org/2000/svg"><g><title></title><path d="M2.53001 7.81595C3.49179 4.73911 6.43281 2.5 9.91173 2.5C13.1684 2.5 15.9537 4.46214 17.0852 7.23684L17.6179 8.67647M17.6179 8.67647L18.5002 4.26471M17.6179 8.67647L13.6473 6.91176M17.4995 12.1841C16.5378 15.2609 13.5967 17.5 10.1178 17.5C6.86118 17.5 4.07589 15.5379 2.94432 12.7632L2.41165 11.3235M2.41165 11.3235L1.5293 15.7353M2.41165 11.3235L6.38224 13.0882"></path></g></svg></button><button tabindex="0" type="button" class="pencraft pc-reset pencraft icon-container view-image"><svg xmlns="http://www.w3.org/2000/svg" width="20" height="20" viewBox="0 0 24 24" fill="none" stroke="currentColor" stroke-width="2" stroke-linecap="round" stroke-linejoin="round" class="lucide lucide-maximize2 lucide-maximize-2"><polyline points="15 3 21 3 21 9"></polyline><polyline points="9 21 3 21 3 15"></polyline><line x1="21" x2="14" y1="3" y2="10"></line><line x1="3" x2="10" y1="21" y2="14"></line></svg></button></div></div></div></a></figure></div><p>&#128218; Browse <strong><a href="https://rohanpaul.substack.com/s/ml-interview-series/archive?sort=new">the full ML Interview series here</a></strong>.</p><h2><strong>KL Divergence: What is Kullback&#8211;Leibler (KL) divergence and how is it used in machine learning? Explain what it means for KL divergence to be 0, and give an example of an application (such as in model training or measuring distribution shift) where you would minimize a KL divergence.</strong></h2><p class="button-wrapper" data-attrs="{&quot;url&quot;:&quot;https://x.com/rohanpaul_ai&quot;,&quot;text&quot;:&quot;Connect with me on X (Twitter)&quot;,&quot;action&quot;:null,&quot;class&quot;:&quot;button-wrapper&quot;}" data-component-name="ButtonCreateButton"><a class="button primary button-wrapper" href="https://x.com/rohanpaul_ai"><span>Connect with me on X (Twitter)</span></a></p><p>Understanding KL Divergence</p><p>Kullback&#8211;Leibler (KL) divergence is a statistical measure of how one probability distribution diverges from a second, reference probability distribution. In simpler terms, it quantifies the &#8220;distance&#8221; or dissimilarity between two distributions, although it is not a true distance metric (because it is not symmetric and does not satisfy the triangle inequality).</p><p>The KL divergence from a probability distribution P to another probability distribution Q, defined over the same probability space, is often expressed as:</p><div class="captioned-image-container"><figure><a class="image-link image2 is-viewable-img" target="_blank" href="https://substackcdn.com/image/fetch/$s_!QPTK!,f_auto,q_auto:good,fl_progressive:steep/https%3A%2F%2Fsubstack-post-media.s3.amazonaws.com%2Fpublic%2Fimages%2F8981e65f-1cb8-4ef9-a1fd-bf3941b5e53d_911x522.png" data-component-name="Image2ToDOM"><div class="image2-inset"><picture><source type="image/webp" srcset="https://substackcdn.com/image/fetch/$s_!QPTK!,w_424,c_limit,f_webp,q_auto:good,fl_progressive:steep/https%3A%2F%2Fsubstack-post-media.s3.amazonaws.com%2Fpublic%2Fimages%2F8981e65f-1cb8-4ef9-a1fd-bf3941b5e53d_911x522.png 424w, https://substackcdn.com/image/fetch/$s_!QPTK!,w_848,c_limit,f_webp,q_auto:good,fl_progressive:steep/https%3A%2F%2Fsubstack-post-media.s3.amazonaws.com%2Fpublic%2Fimages%2F8981e65f-1cb8-4ef9-a1fd-bf3941b5e53d_911x522.png 848w, https://substackcdn.com/image/fetch/$s_!QPTK!,w_1272,c_limit,f_webp,q_auto:good,fl_progressive:steep/https%3A%2F%2Fsubstack-post-media.s3.amazonaws.com%2Fpublic%2Fimages%2F8981e65f-1cb8-4ef9-a1fd-bf3941b5e53d_911x522.png 1272w, https://substackcdn.com/image/fetch/$s_!QPTK!,w_1456,c_limit,f_webp,q_auto:good,fl_progressive:steep/https%3A%2F%2Fsubstack-post-media.s3.amazonaws.com%2Fpublic%2Fimages%2F8981e65f-1cb8-4ef9-a1fd-bf3941b5e53d_911x522.png 1456w" sizes="100vw"><img src="https://substackcdn.com/image/fetch/$s_!QPTK!,w_1456,c_limit,f_auto,q_auto:good,fl_progressive:steep/https%3A%2F%2Fsubstack-post-media.s3.amazonaws.com%2Fpublic%2Fimages%2F8981e65f-1cb8-4ef9-a1fd-bf3941b5e53d_911x522.png" width="911" height="522" data-attrs="{&quot;src&quot;:&quot;https://substack-post-media.s3.amazonaws.com/public/images/8981e65f-1cb8-4ef9-a1fd-bf3941b5e53d_911x522.png&quot;,&quot;srcNoWatermark&quot;:null,&quot;fullscreen&quot;:null,&quot;imageSize&quot;:null,&quot;height&quot;:522,&quot;width&quot;:911,&quot;resizeWidth&quot;:null,&quot;bytes&quot;:58854,&quot;alt&quot;:null,&quot;title&quot;:null,&quot;type&quot;:&quot;image/png&quot;,&quot;href&quot;:null,&quot;belowTheFold&quot;:false,&quot;topImage&quot;:false,&quot;internalRedirect&quot;:&quot;https://www.rohan-paul.com/i/165850161?img=https%3A%2F%2Fsubstack-post-media.s3.amazonaws.com%2Fpublic%2Fimages%2F8981e65f-1cb8-4ef9-a1fd-bf3941b5e53d_911x522.png&quot;,&quot;isProcessing&quot;:false,&quot;align&quot;:null,&quot;offset&quot;:false}" class="sizing-normal" alt="" srcset="https://substackcdn.com/image/fetch/$s_!QPTK!,w_424,c_limit,f_auto,q_auto:good,fl_progressive:steep/https%3A%2F%2Fsubstack-post-media.s3.amazonaws.com%2Fpublic%2Fimages%2F8981e65f-1cb8-4ef9-a1fd-bf3941b5e53d_911x522.png 424w, https://substackcdn.com/image/fetch/$s_!QPTK!,w_848,c_limit,f_auto,q_auto:good,fl_progressive:steep/https%3A%2F%2Fsubstack-post-media.s3.amazonaws.com%2Fpublic%2Fimages%2F8981e65f-1cb8-4ef9-a1fd-bf3941b5e53d_911x522.png 848w, https://substackcdn.com/image/fetch/$s_!QPTK!,w_1272,c_limit,f_auto,q_auto:good,fl_progressive:steep/https%3A%2F%2Fsubstack-post-media.s3.amazonaws.com%2Fpublic%2Fimages%2F8981e65f-1cb8-4ef9-a1fd-bf3941b5e53d_911x522.png 1272w, https://substackcdn.com/image/fetch/$s_!QPTK!,w_1456,c_limit,f_auto,q_auto:good,fl_progressive:steep/https%3A%2F%2Fsubstack-post-media.s3.amazonaws.com%2Fpublic%2Fimages%2F8981e65f-1cb8-4ef9-a1fd-bf3941b5e53d_911x522.png 1456w" sizes="100vw"></picture><div class="image-link-expand"><div class="pencraft pc-display-flex pc-gap-8 pc-reset"><button tabindex="0" type="button" class="pencraft pc-reset pencraft icon-container restack-image"><svg role="img" width="20" height="20" viewBox="0 0 20 20" fill="none" stroke-width="1.5" stroke="var(--color-fg-primary)" stroke-linecap="round" stroke-linejoin="round" xmlns="http://www.w3.org/2000/svg"><g><title></title><path d="M2.53001 7.81595C3.49179 4.73911 6.43281 2.5 9.91173 2.5C13.1684 2.5 15.9537 4.46214 17.0852 7.23684L17.6179 8.67647M17.6179 8.67647L18.5002 4.26471M17.6179 8.67647L13.6473 6.91176M17.4995 12.1841C16.5378 15.2609 13.5967 17.5 10.1178 17.5C6.86118 17.5 4.07589 15.5379 2.94432 12.7632L2.41165 11.3235M2.41165 11.3235L1.5293 15.7353M2.41165 11.3235L6.38224 13.0882"></path></g></svg></button><button tabindex="0" type="button" class="pencraft pc-reset pencraft icon-container view-image"><svg xmlns="http://www.w3.org/2000/svg" width="20" height="20" viewBox="0 0 24 24" fill="none" stroke="currentColor" stroke-width="2" stroke-linecap="round" stroke-linejoin="round" class="lucide lucide-maximize2 lucide-maximize-2"><polyline points="15 3 21 3 21 9"></polyline><polyline points="9 21 3 21 3 15"></polyline><line x1="21" x2="14" y1="3" y2="10"></line><line x1="3" x2="10" y1="21" y2="14"></line></svg></button></div></div></div></a></figure></div><p>In words, KL divergence measures how &#8220;inefficient&#8221; it is to assume that samples come from Q when they actually come from P. The larger the divergence, the more Q diverges from faithfully modeling P.</p><p>Why KL Divergence is Useful in Machine Learning</p><p>KL divergence appears in many parts of machine learning, particularly because it helps measure how different one distribution of data or model predictions is from another. It is used in tasks such as:</p><ul><li><p>Training generative models (e.g., Variational Autoencoders): The objective function can include a KL term to ensure that a learned approximate distribution is close to a desired prior distribution.</p></li><li><p>Model regularization and fitting: Minimizing KL divergence is equivalent to maximizing the likelihood of the data under a probabilistic model in many scenarios.</p></li><li><p>Distribution shift detection: By comparing the distribution of new, incoming data to a known baseline distribution, practitioners can detect if there has been a shift or drift that makes the old model or old assumptions inaccurate.</p></li></ul><p>Meaning of KL Divergence Being 0</p><p>KL divergence is always non-negative. It is 0 if and only if the two distributions are exactly the same for almost every point in the space (in other words, P and Q match perfectly everywhere). In discrete terms, for every outcome x in the support, P(x) equals Q(x). This property follows from Gibbs&#8217; inequality.</p><p>Example of Application: Minimizing KL Divergence</p><p>A classic example is in model training, where we often optimize the cross-entropy loss between the data&#8217;s true distribution P and the model&#8217;s predicted distribution Q. The cross-entropy loss can be decomposed into the entropy of P plus the KL divergence between P and Q. Because the entropy of P is constant with respect to Q, minimizing cross-entropy is effectively minimizing the KL divergence between P and Q, thus making the model&#8217;s predicted distribution Q close to the true data distribution P.</p><p>Another application is in measuring distribution shift. If you collect baseline data (distribution P) for a production environment and then later observe new data (distribution Q), you can compute KL divergence to see if the new data significantly diverges from P. If the KL divergence is high, it indicates the new data differs substantially from the baseline.</p><p>Use in Practice</p><p>In practical machine learning frameworks:</p><pre><code><code>import torch
import torch.nn.functional as F

# p and q are probabilities (after softmax) for discrete classes
# p is the target distribution, q is the predicted distribution
def kl_divergence(p, q):
    # Typically we ensure p and q are probabilities that sum to 1
    # We can compute KL Divergence as:
    return torch.sum(p * torch.log(p / q), dim=-1)
</code></code></pre><p>Minimizing this quantity over your dataset encourages q to match p more closely, thereby reducing divergence.</p><div class="subscription-widget-wrap-editor" data-attrs="{&quot;url&quot;:&quot;https://www.rohan-paul.com/subscribe?&quot;,&quot;text&quot;:&quot;Subscribe&quot;,&quot;language&quot;:&quot;en&quot;}" data-component-name="SubscribeWidgetToDOM"><div class="subscription-widget show-subscribe"><div class="preamble"><p class="cta-caption">I write everyday for my readers on actionable AI. Subscribe and instantly get a 1300+ page Python book.</p></div><form class="subscription-widget-subscribe"><input type="email" class="email-input" name="email" placeholder="Type your email&#8230;" tabindex="-1"><input type="submit" class="button primary" value="Subscribe"><div class="fake-input-wrapper"><div class="fake-input"></div><div class="fake-button"></div></div></form></div></div><h2><strong>What if P Contains Zeros Where Q is Non-Zero?</strong></h2><p>In practice, KL divergence can become numerically unstable if P contains zeros or Q is zero at certain points. This is one reason why many modern frameworks prefer stable approximations. Practitioners might add small epsilons to probabilities to avoid undefined or infinite log values.</p><h2><strong>Why is KL Divergence Asymmetric?</strong></h2><p>KL divergence measures how well Q explains P&#8217;s samples, rather than how well P explains Q&#8217;s samples. If you swap P and Q in the expression, you get a different quantity. This asymmetry matters in some scenarios (like model training) where you have a specific direction in mind: &#8220;How well does the model&#8217;s distribution approximate the data distribution?&#8221;</p><h2><strong>How is KL Divergence Used in Variational Inference?</strong></h2><p>In variational autoencoders and other variational inference methods, we typically have a latent variable model. We approximate an intractable posterior distribution of latent variables with a variational distribution. The training objective often has a term that penalizes the KL divergence between the variational distribution and a known prior. Minimizing this KL term helps keep the variational distribution from deviating too far from the prior, promoting generalization and stable training.</p><h2><strong>Potential Pitfalls When Using KL Divergence</strong></h2><p>One subtle pitfall is that KL divergence heavily penalizes places where Q assigns very low probability but P has relatively high probability (because the log term becomes large and positive). If your model distribution Q never assigns enough probability mass to important regions of P, the divergence can blow up. Additionally, KL divergence may not capture certain aspects of distribution mismatch that are relevant if you need a symmetric measure (e.g., if you want to see how far each distribution is from the other in both directions). In those cases, people sometimes consider alternative measures like Jensen&#8211;Shannon divergence or other distance metrics.</p><h2><strong>How Can You Tell If Your KL Divergence is Too High?</strong></h2><p>A large KL divergence means your predicted distribution Q is quite far from the true distribution P. In practical tasks like classification, if your model often places substantial probability on the wrong classes, the KL divergence to the correct distribution (which places all the mass on the correct class in many training schemes) will become high. Monitoring KL divergence during training can help diagnose whether your model is underfitting (very high KL) or if it&#8217;s converging appropriately (KL trending down).</p><h2><strong>Example to Illustrate Minimizing KL Divergence in Training</strong></h2><p>Suppose you have a dataset of images labeled with classes 1 through 10, and you train a neural network to predict these classes. If you treat each label in a one-hot manner, P is the distribution with a 1 for the correct class and 0 for all others. Meanwhile, Q is your model&#8217;s softmax output for that image. Minimizing cross-entropy (which is equivalent to minimizing KL divergence plus a constant term) encourages Q to place the majority of its probability on the correct label. When your model perfectly classifies all images, Q for each image is effectively the same as P (the correct one-hot label), thus making KL divergence 0.</p><h2><strong>Follow-up Question: Could KL Divergence Ever be Negative?</strong></h2><p>KL divergence is always non-negative due to Gibbs&#8217; inequality and the properties of logarithms. It is 0 exactly when P and Q coincide almost everywhere. It cannot go below 0. In practice, you might see floating-point artifacts if your numerical computations are unstable (like negative values approaching zero), but theoretically it is never negative.</p><h2><strong>Follow-up Question: How to Handle Cases Where P is Continuous and Q is Discrete?</strong></h2><p>If P is a continuous distribution and Q is a discrete one, or vice versa, the KL divergence is not straightforward to define unless you map them both to a consistent probability space. One might need to discretize the continuous distribution or approximate one distribution with a continuous function. Typically, you ensure both P and Q are of the same form&#8212;both discrete or both continuous&#8212;and defined on the same set or space.</p><h2><strong>Follow-up Question: Why Might One Use Jensen&#8211;Shannon Divergence Instead?</strong></h2><p>The Jensen&#8211;Shannon (JS) divergence is a symmetrized and smoothed version of KL divergence. It is defined as:</p><div class="captioned-image-container"><figure><a class="image-link image2" target="_blank" href="https://substackcdn.com/image/fetch/$s_!ijit!,f_auto,q_auto:good,fl_progressive:steep/https%3A%2F%2Fsubstack-post-media.s3.amazonaws.com%2Fpublic%2Fimages%2F8e22719f-5170-44f8-9d8c-a03268ffd8e8_1080x199.png" data-component-name="Image2ToDOM"><div class="image2-inset"><picture><source type="image/webp" srcset="https://substackcdn.com/image/fetch/$s_!ijit!,w_424,c_limit,f_webp,q_auto:good,fl_progressive:steep/https%3A%2F%2Fsubstack-post-media.s3.amazonaws.com%2Fpublic%2Fimages%2F8e22719f-5170-44f8-9d8c-a03268ffd8e8_1080x199.png 424w, https://substackcdn.com/image/fetch/$s_!ijit!,w_848,c_limit,f_webp,q_auto:good,fl_progressive:steep/https%3A%2F%2Fsubstack-post-media.s3.amazonaws.com%2Fpublic%2Fimages%2F8e22719f-5170-44f8-9d8c-a03268ffd8e8_1080x199.png 848w, https://substackcdn.com/image/fetch/$s_!ijit!,w_1272,c_limit,f_webp,q_auto:good,fl_progressive:steep/https%3A%2F%2Fsubstack-post-media.s3.amazonaws.com%2Fpublic%2Fimages%2F8e22719f-5170-44f8-9d8c-a03268ffd8e8_1080x199.png 1272w, https://substackcdn.com/image/fetch/$s_!ijit!,w_1456,c_limit,f_webp,q_auto:good,fl_progressive:steep/https%3A%2F%2Fsubstack-post-media.s3.amazonaws.com%2Fpublic%2Fimages%2F8e22719f-5170-44f8-9d8c-a03268ffd8e8_1080x199.png 1456w" sizes="100vw"><img src="https://substackcdn.com/image/fetch/$s_!ijit!,w_1456,c_limit,f_auto,q_auto:good,fl_progressive:steep/https%3A%2F%2Fsubstack-post-media.s3.amazonaws.com%2Fpublic%2Fimages%2F8e22719f-5170-44f8-9d8c-a03268ffd8e8_1080x199.png" width="1080" height="199" data-attrs="{&quot;src&quot;:&quot;https://substack-post-media.s3.amazonaws.com/public/images/8e22719f-5170-44f8-9d8c-a03268ffd8e8_1080x199.png&quot;,&quot;srcNoWatermark&quot;:null,&quot;fullscreen&quot;:null,&quot;imageSize&quot;:null,&quot;height&quot;:199,&quot;width&quot;:1080,&quot;resizeWidth&quot;:null,&quot;bytes&quot;:25774,&quot;alt&quot;:null,&quot;title&quot;:null,&quot;type&quot;:&quot;image/png&quot;,&quot;href&quot;:null,&quot;belowTheFold&quot;:true,&quot;topImage&quot;:false,&quot;internalRedirect&quot;:&quot;https://www.rohan-paul.com/i/165850161?img=https%3A%2F%2Fsubstack-post-media.s3.amazonaws.com%2Fpublic%2Fimages%2F8e22719f-5170-44f8-9d8c-a03268ffd8e8_1080x199.png&quot;,&quot;isProcessing&quot;:false,&quot;align&quot;:null,&quot;offset&quot;:false}" class="sizing-normal" alt="" srcset="https://substackcdn.com/image/fetch/$s_!ijit!,w_424,c_limit,f_auto,q_auto:good,fl_progressive:steep/https%3A%2F%2Fsubstack-post-media.s3.amazonaws.com%2Fpublic%2Fimages%2F8e22719f-5170-44f8-9d8c-a03268ffd8e8_1080x199.png 424w, https://substackcdn.com/image/fetch/$s_!ijit!,w_848,c_limit,f_auto,q_auto:good,fl_progressive:steep/https%3A%2F%2Fsubstack-post-media.s3.amazonaws.com%2Fpublic%2Fimages%2F8e22719f-5170-44f8-9d8c-a03268ffd8e8_1080x199.png 848w, https://substackcdn.com/image/fetch/$s_!ijit!,w_1272,c_limit,f_auto,q_auto:good,fl_progressive:steep/https%3A%2F%2Fsubstack-post-media.s3.amazonaws.com%2Fpublic%2Fimages%2F8e22719f-5170-44f8-9d8c-a03268ffd8e8_1080x199.png 1272w, https://substackcdn.com/image/fetch/$s_!ijit!,w_1456,c_limit,f_auto,q_auto:good,fl_progressive:steep/https%3A%2F%2Fsubstack-post-media.s3.amazonaws.com%2Fpublic%2Fimages%2F8e22719f-5170-44f8-9d8c-a03268ffd8e8_1080x199.png 1456w" sizes="100vw" loading="lazy"></picture><div></div></div></a></figure></div><p>where M is the midpoint distribution (the average of P and Q). Unlike KL divergence, JS divergence is always finite and symmetric. It also has a bounded range between 0 and 1 (for distributions expressed in log base 2). Practitioners prefer JS divergence in some generative modeling tasks because it can provide smoother gradients and avoid excessively large penalty regions. However, KL divergence remains standard in many applications due to its direct interpretation and relationship with maximum likelihood training.</p><h2><strong>Follow-up Question: Why is Minimizing Cross-Entropy the Same as Minimizing KL Divergence?</strong></h2><p>The cross-entropy between P and Q is:</p><div class="captioned-image-container"><figure><a class="image-link image2" target="_blank" href="https://substackcdn.com/image/fetch/$s_!lQjN!,f_auto,q_auto:good,fl_progressive:steep/https%3A%2F%2Fsubstack-post-media.s3.amazonaws.com%2Fpublic%2Fimages%2Fe8d93dc7-1a5e-4842-9d66-b0e685757840_832x153.png" data-component-name="Image2ToDOM"><div class="image2-inset"><picture><source type="image/webp" srcset="https://substackcdn.com/image/fetch/$s_!lQjN!,w_424,c_limit,f_webp,q_auto:good,fl_progressive:steep/https%3A%2F%2Fsubstack-post-media.s3.amazonaws.com%2Fpublic%2Fimages%2Fe8d93dc7-1a5e-4842-9d66-b0e685757840_832x153.png 424w, https://substackcdn.com/image/fetch/$s_!lQjN!,w_848,c_limit,f_webp,q_auto:good,fl_progressive:steep/https%3A%2F%2Fsubstack-post-media.s3.amazonaws.com%2Fpublic%2Fimages%2Fe8d93dc7-1a5e-4842-9d66-b0e685757840_832x153.png 848w, https://substackcdn.com/image/fetch/$s_!lQjN!,w_1272,c_limit,f_webp,q_auto:good,fl_progressive:steep/https%3A%2F%2Fsubstack-post-media.s3.amazonaws.com%2Fpublic%2Fimages%2Fe8d93dc7-1a5e-4842-9d66-b0e685757840_832x153.png 1272w, https://substackcdn.com/image/fetch/$s_!lQjN!,w_1456,c_limit,f_webp,q_auto:good,fl_progressive:steep/https%3A%2F%2Fsubstack-post-media.s3.amazonaws.com%2Fpublic%2Fimages%2Fe8d93dc7-1a5e-4842-9d66-b0e685757840_832x153.png 1456w" sizes="100vw"><img src="https://substackcdn.com/image/fetch/$s_!lQjN!,w_1456,c_limit,f_auto,q_auto:good,fl_progressive:steep/https%3A%2F%2Fsubstack-post-media.s3.amazonaws.com%2Fpublic%2Fimages%2Fe8d93dc7-1a5e-4842-9d66-b0e685757840_832x153.png" width="832" height="153" data-attrs="{&quot;src&quot;:&quot;https://substack-post-media.s3.amazonaws.com/public/images/e8d93dc7-1a5e-4842-9d66-b0e685757840_832x153.png&quot;,&quot;srcNoWatermark&quot;:null,&quot;fullscreen&quot;:null,&quot;imageSize&quot;:null,&quot;height&quot;:153,&quot;width&quot;:832,&quot;resizeWidth&quot;:null,&quot;bytes&quot;:14972,&quot;alt&quot;:null,&quot;title&quot;:null,&quot;type&quot;:&quot;image/png&quot;,&quot;href&quot;:null,&quot;belowTheFold&quot;:true,&quot;topImage&quot;:false,&quot;internalRedirect&quot;:&quot;https://www.rohan-paul.com/i/165850161?img=https%3A%2F%2Fsubstack-post-media.s3.amazonaws.com%2Fpublic%2Fimages%2Fe8d93dc7-1a5e-4842-9d66-b0e685757840_832x153.png&quot;,&quot;isProcessing&quot;:false,&quot;align&quot;:null,&quot;offset&quot;:false}" class="sizing-normal" alt="" srcset="https://substackcdn.com/image/fetch/$s_!lQjN!,w_424,c_limit,f_auto,q_auto:good,fl_progressive:steep/https%3A%2F%2Fsubstack-post-media.s3.amazonaws.com%2Fpublic%2Fimages%2Fe8d93dc7-1a5e-4842-9d66-b0e685757840_832x153.png 424w, https://substackcdn.com/image/fetch/$s_!lQjN!,w_848,c_limit,f_auto,q_auto:good,fl_progressive:steep/https%3A%2F%2Fsubstack-post-media.s3.amazonaws.com%2Fpublic%2Fimages%2Fe8d93dc7-1a5e-4842-9d66-b0e685757840_832x153.png 848w, https://substackcdn.com/image/fetch/$s_!lQjN!,w_1272,c_limit,f_auto,q_auto:good,fl_progressive:steep/https%3A%2F%2Fsubstack-post-media.s3.amazonaws.com%2Fpublic%2Fimages%2Fe8d93dc7-1a5e-4842-9d66-b0e685757840_832x153.png 1272w, https://substackcdn.com/image/fetch/$s_!lQjN!,w_1456,c_limit,f_auto,q_auto:good,fl_progressive:steep/https%3A%2F%2Fsubstack-post-media.s3.amazonaws.com%2Fpublic%2Fimages%2Fe8d93dc7-1a5e-4842-9d66-b0e685757840_832x153.png 1456w" sizes="100vw" loading="lazy"></picture><div></div></div></a></figure></div><p>where (H(P)) is the entropy of the distribution P (a constant with respect to Q). Because (H(P)) does not depend on Q, minimizing cross-entropy with respect to Q is equivalent to minimizing the KL divergence. This fact underlies many classification training objectives: the standard cross-entropy loss can be viewed as matching the distribution of your network outputs to the distribution given by your labels.</p><h2><strong>Follow-up Question: In What Situations Might KL Divergence Not Be the Best Metric?</strong></h2><p>KL divergence might not be suitable if you need a symmetric measure of dissimilarity. For instance, in cases where you need a &#8220;distance&#8221; that does not overly penalize small differences on the tail side of P, a different measure might be more appropriate. Also, if both distributions have support in different regions, KL can diverge to infinity (if Q is zero in regions where P is non-zero). Practitioners sometimes use the R&#233;nyi divergence, Wasserstein distance, or Jensen&#8211;Shannon divergence, depending on the specific domain requirements and stability considerations.</p><div><hr></div><h2><strong>Below are additional follow-up questions</strong></h2><h2><strong>How does KL Divergence relate to offline Reinforcement Learning (RL) when the data distribution for training is fixed, and the policy being learned might deviate from that distribution?</strong></h2><p>In offline RL (sometimes called batch RL), the agent receives a fixed dataset of transitions (state, action, next state, reward) to learn a policy. A major challenge is distribution mismatch: if the learned policy picks actions that are rarely (or never) in the offline dataset, the value function estimates may become poor or extrapolation error can grow significantly. KL divergence can be relevant here:</p><ul><li><p>Reasoning: One approach to address distribution mismatch is to constrain the learned policy to remain close to the behavior policy that generated the dataset. This can be done by penalizing a KL divergence term between the policy you want to learn (call it ( \pi_\theta )) and the behavior policy ( \mu ). If you excessively deviate, then you might place mass on actions that the dataset does not sufficiently cover, leading to poorly estimated Q-values or transitions. By minimizing a KL penalty, you force the new policy to stay within a region where you have enough data coverage.</p></li><li><p>Pitfalls:</p><ul><li><p>Overly strict KL constraints could limit the policy from exploring better actions that were not well-represented in the dataset.</p></li><li><p>Conversely, if the KL constraint is too loose, the policy might place mass on actions with little to no coverage, leading to high variance or biased value estimates.</p></li><li><p>Computing KL in high-dimensional continuous action spaces might require approximation techniques or reparameterizations. Poor approximation or ignoring small tails in continuous distributions can lead to numerical instability or suboptimal solutions.</p></li></ul></li></ul><h2><strong>In the presence of label noise, how does minimizing KL Divergence behave, and what are typical pitfalls?</strong></h2><p>Label noise means that the &#8220;true&#8221; distribution over labels ( P ) may be corrupted by random flips or distortions. When you minimize KL divergence (or equivalently cross-entropy) between your model predictions ( Q ) and these noisy labels, certain complexities arise:</p><ul><li><p>Reasoning:</p><ul><li><p>If label noise is moderate, the model might learn to &#8220;average out&#8221; the noise. In a multi-class setting, you might see predicted probability distributions become less peaked because it tries to hedge against incorrect labels.</p></li><li><p>With severe noise, direct minimization can degrade model performance or lead to overfitting if the model tries to perfectly fit random or contradictory labels.</p></li></ul></li><li><p>Pitfalls:</p><ul><li><p>Memorization: Deep models can eventually memorize noisy labels, which inflates training accuracy but yields poor generalization.</p></li><li><p><strong>Confidence Calibration</strong>: If the model tries to &#8220;correctly&#8221; fit contradictory examples, the predicted distribution can become miscalibrated, harming downstream tasks like uncertainty estimation.</p></li><li><p>Remedy: Techniques like label smoothing or filtering out probable mislabeled samples can help. Sometimes, reweighting samples or using a robust loss function (e.g., symmetric KL divergence or other robust divergences) might improve resilience to noise.</p></li></ul></li></ul><h2><strong>In multi-class classification with extremely imbalanced data, how should one interpret or adjust KL Divergence minimization?</strong></h2><p>When classes are heavily imbalanced, the empirical distribution ( P ) might put a large portion of the mass on a few dominant classes, and relatively little mass on minority classes:</p><ul><li><p>Reasoning:</p><ul><li><p>Minimizing KL divergence (or cross-entropy) in an imbalanced context often leads the model to be highly accurate on dominant classes but potentially ignore minority classes, because the average penalty from misclassifying minority samples can be overshadowed by the abundant majority examples.</p></li><li><p>KL divergence does not inherently &#8220;balance&#8221; the classes unless you explicitly reweight or reshape the distribution.</p></li></ul></li><li><p>Pitfalls:</p><ul><li><p><strong>Overfitting to Majority Classes</strong>: A naive minimization of KL might lead to trivial solutions where the model predicts mostly the majority class, yielding poor recall on minority classes.</p></li><li><p><strong>Metric Mismatch</strong>: Imbalanced classification problems often require metrics like F1-score, balanced accuracy, or AUC. A model that simply optimizes KL divergence might not maximize these alternative metrics.</p></li><li><p>Solutions: Strategies like upsampling minority data, downsampling majority data, or adjusting the label distribution (for instance, cost-sensitive weighting in cross-entropy) can mitigate imbalance issues.</p></li></ul></li></ul><h2><strong>Can KL Divergence be used to detect outliers or anomalies, and what are the subtle issues involved?</strong></h2><p>KL divergence can help in anomaly/outlier detection if you have a baseline &#8220;normal&#8221; distribution ( P ) and you observe new data distribution ( Q ). By checking if ( D_{KL}(Q | P) ) or ( D_{KL}(P | Q) ) is large, you might infer anomalies:</p><ul><li><p>Reasoning:</p><ul><li><p>If data is typical of the baseline, you expect a low divergence. If new data has significantly different patterns or feature distributions, the divergence grows.</p></li><li><p>This approach is commonly used in tasks like intrusion detection or quality monitoring in manufacturing.</p></li></ul></li><li><p>Pitfalls:</p><ul><li><p><strong>High-Dimensional Data</strong>: Estimating distributions in high dimensions is difficult. Approximating KL divergence can become unreliable if not done with care (e.g., using kernel density estimates or neural-based density estimations might be sensitive to hyperparameters).</p></li><li><p><strong>Support Mismatch</strong>: If the new data distribution has support where the baseline distribution has zero density, the KL can be infinite, which may or may not be helpful depending on the application.</p></li><li><p><strong>Practical Stability</strong>: Numerical computations of logs and small probabilities can lead to instability, requiring smoothing or thresholding strategies.</p></li></ul></li></ul><h2><strong>What is the difference between forward KL ( D_{KL}(P | Q) ) and reverse KL ( D_{KL}(Q | P) ), and how does that impact generative modeling?</strong></h2><p>The KL divergence is asymmetric, so choosing which distribution is &#8220;first&#8221; in the KL expression matters greatly:</p><ul><li><p>Reasoning:</p><ul><li><p><strong>Forward KL</strong> ( D_{KL}(P | Q) ) measures how well ( Q ) covers all the regions where ( P ) has probability mass. If ( Q ) places very little probability in areas where ( P ) is large, the term ( \log \frac{P(x)}{Q(x)} ) becomes large, heavily penalizing that mismatch. Forward KL tries to cover all of ( P )&#8217;s support to avoid infinite divergence.</p></li><li><p><strong>Reverse KL</strong> ( D_{KL}(Q | P) ) focuses on how concentrated ( P ) is relative to ( Q ). If ( Q ) puts a lot of probability where ( P ) is negligible, the penalty is large. Reverse KL can lead to &#8220;mode-seeking&#8221; behavior, because it tries to align its probability mass with the biggest modes of ( P ).</p></li></ul></li><li><p>Pitfalls:</p><ul><li><p>In generative modeling, using forward KL (like maximum likelihood estimation typically does) can lead to &#8220;coverage&#8221; solutions that try to spread out probability to cover all modes of ( P ), sometimes producing overly &#8220;blurry&#8221; samples in image generation.</p></li><li><p>Using reverse KL can lead to mode collapse, where the model picks a subset of modes but fits them tightly. This might yield sharper samples but fail to represent all of the data distribution&#8217;s variety.</p></li><li><p>Many modern methods (e.g., some GAN variants) effectively minimize symmetrical or other divergences (like Jensen&#8211;Shannon) to balance coverage and mode-seeking behaviors.</p></li></ul></li></ul><h2><strong>How does KL Divergence come into play in Bayesian neural networks that utilize approximate posteriors, such as with dropout or variational methods?</strong></h2><p>In Bayesian neural networks, especially with variational inference, we approximate the true posterior over weights ( p(w \mid \text{data}) ) with a tractable distribution ( q_\theta(w) ). The variational objective typically has a KL term:</p><ul><li><p>Reasoning:</p><ul><li><p>We want ( q_\theta(w) ) to be close to ( p(w \mid \text{data}) ), but the exact posterior is often intractable. Instead, we minimize the KL divergence ( D_{KL}(q_\theta(w) | p(w \mid \text{data})) ) or some rearranged form in the evidence lower bound (ELBO).</p></li><li><p>This encourages the approximate posterior to not stray too far from the prior or from the shape of the true posterior derived from the data.</p></li></ul></li><li><p>Pitfalls:</p><ul><li><p><strong>Mode-seeking vs. Mode-covering</strong>: Because the KL is typically ( D_{KL}(q_\theta | p) ) (reverse KL) in a standard variational setup, the approximate distribution can under-cover some posterior modes. This might lead to underestimation of posterior uncertainty.</p></li><li><p><strong>Over-regularization</strong>: If the KL term is weighted too strongly relative to the data likelihood term, the approximation might stay very close to the prior and thus ignore important data signals.</p></li><li><p><strong>Empirical Tuning</strong>: In practice, one often has a &#8220;beta-VAE&#8221; style approach or similar weighting on the KL term to strike a balance between data fit and prior closeness.</p></li></ul></li></ul><h2><strong>In real-world continuous distribution problems, what if you only have discrete samples for one distribution, while the other distribution is analytically known?</strong></h2><p>It&#8217;s common to have a parametric or known distribution ( Q(x) ) and only samples from ( P(x) ). Estimating ( D_{KL}(P | Q) ) becomes tricky:</p><ul><li><p>Reasoning:</p><ul><li><p>You might attempt a Monte Carlo approximation: for each sample ( x_i \sim P ), approximate ( \log \frac{P(x_i)}{Q(x_i)} ). But ( P(x_i) ) might be unknown in closed form, only implicitly known via samples. You then need to use a density estimation technique for ( P ) (e.g., kernel density or a neural density estimator).</p></li><li><p>Alternatively, you might approximate ( P \log \frac{1}{Q} ) plus other terms if you can do density ratio estimation or other advanced techniques.</p></li></ul></li><li><p>Pitfalls:</p><ul><li><p><strong>Density Estimation Error</strong>: Attempting to estimate ( P(x) ) in high dimensions can be fraught with overfitting or underfitting, leading to large variance or bias in the KL estimate.</p></li><li><p><strong>Choice of Binning or Kernel</strong>: If using discrete bins or kernel-based methods, the results can be highly sensitive to the bandwidth or bin size.</p></li><li><p><strong>Support Issues</strong>: If your discrete samples do not cover the space well, you might severely underestimate or overestimate the divergence.</p></li></ul></li></ul><h2><strong>Could KL Divergence be used in ensemble methods for comparing the predictions of multiple models, and how might one interpret or mitigate discrepancies?</strong></h2><p>When building ensembles, you often have multiple models that produce distributions ( Q_1, Q_2, \dots, Q_n ). You might want a measure of how much these distributions agree or disagree:</p><ul><li><p>Reasoning:</p><ul><li><p>One approach is to compute pairwise KL divergences ( D_{KL}(Q_i | Q_j) ) to see how different each model&#8217;s distribution is. Large pairwise KL might indicate disagreements or that some models are specialized to certain parts of the input space.</p></li><li><p>Another approach is to compare each model&#8217;s distribution to the ensemble-average distribution ( \bar{Q} ), measuring ( D_{KL}(Q_i | \bar{Q}) ).</p></li></ul></li><li><p>Pitfalls:</p><ul><li><p>Asymmetry: If you rely on ( D_{KL}(Q_i | Q_j) ), you might interpret large divergences incorrectly if you do not account for direction.</p></li><li><p>Interpretation: A high KL divergence does not always mean that one model is &#8220;wrong,&#8221; just that it places mass differently. In classification, for instance, two models might both be correct but highly confident in different classes.</p></li><li><p><strong>Confidence vs. Calibration</strong>: If models are miscalibrated, the KL might reflect large difference in predicted probabilities but not necessarily differences in top-1 predictions.</p></li></ul></li></ul><h2><strong>How does one handle KL Divergence when the parameterization of ( Q ) limits expressiveness, meaning ( Q ) cannot capture important features of ( P )?</strong></h2><p>This arises frequently in machine learning, especially in approximate inference:</p><ul><li><p>Reasoning:</p><ul><li><p>Suppose ( Q ) is a Gaussian but ( P ) is highly multi-modal. Minimizing ( D_{KL}(P | Q) ) forces the single Gaussian to &#8220;cover&#8221; the modes, typically leading to a broad distribution that places probability mass over multiple modes. Conversely, if we do ( D_{KL}(Q | P) ), the solution might pick one strong mode (mode-seeking).</p></li></ul></li><li><p>Pitfalls:</p><ul><li><p>Underfitting: If the model family for ( Q ) is too restrictive, the best fit might still be a poor representation of ( P ). The KL measure might be misleadingly large simply because ( Q ) cannot represent the shape of ( P ).</p></li><li><p><strong>Local Minima</strong>: Complex distributions can cause the optimization of KL terms to get stuck in local minima if the parameterization isn&#8217;t flexible enough or if the optimization method is sensitive to initial conditions.</p></li><li><p>Remedy: Use richer families of distributions (e.g., normalizing flows, mixture models, or neural parameterizations) that can better approximate the complexity of ( P ). Or consider alternative metrics that might be more stable if the mismatch is primarily about shape, such as Wasserstein distances.</p></li></ul></li></ul><h2><strong>Is KL Divergence suitable for measuring the discrepancy between two distributions when one distribution is an empirical dataset and the other is a generative model that produces samples?</strong></h2><p>Often, you have a set of samples ( {x_i} ) from the &#8220;true&#8221; data distribution ( P ), but you can only sample from the generative model ( Q ). Directly computing ( D_{KL}(P | Q) ) or ( D_{KL}(Q | P) ) is not trivial because neither distribution is fully known analytically:</p><ul><li><p>Reasoning:</p><ul><li><p>You could try to approximate ( D_{KL}(P | Q) ) via sample-based methods if you can estimate ( \log Q(x_i) ) for each real data sample ( x_i ). This often happens in maximum likelihood scenarios if ( Q ) is a tractable model (like an autoregressive flow) from which you can compute log probabilities.</p></li><li><p>If ( Q ) is a black-box generator (like many GANs) and cannot give you explicit likelihoods, you cannot straightforwardly evaluate ( D_{KL}(P | Q) ). You might rely on alternative divergences or approximations (like the adversarial training approach in GANs).</p></li></ul></li><li><p>Pitfalls:</p><ul><li><p><strong>No Closed-Form</strong>: Some generative models do not provide an explicit density function. Attempting to approximate log-likelihood is challenging or impossible in practice without specialized architecture.</p></li><li><p><strong>Mode Collapse</strong>: If the model is a black-box sampler, a naive approach might not detect that the model fails to generate certain modes of the data distribution (the generator might skip entire regions of data space).</p></li><li><p><strong>Estimation Error</strong>: Attempting to do kernel-based or nearest-neighbor-based density estimation in high-dimensional spaces is error-prone and may not reflect the true divergence well.</p></li></ul></li></ul><h2><strong>In what circumstances does KL Divergence become infinite, and how do we mitigate that in practical implementations?</strong></h2><p>KL divergence can blow up to ( \infty ) if there exists at least one point ( x ) for which ( P(x) &gt; 0 ) but ( Q(x) = 0 ). In continuous spaces, a similar phenomenon occurs if ( Q ) assigns negligible density to areas where ( P ) has non-negligible density:</p><ul><li><p>Reasoning:</p><ul><li><p>If ( P ) truly has support outside of ( Q )&#8217;s support, the term ( P(x) \log \frac{P(x)}{Q(x)} ) becomes unbounded because ( \log \frac{1}{0} \to \infty ).</p></li></ul></li><li><p>Pitfalls:</p><ul><li><p><strong>Numerical Instability</strong>: In code, you might get NaNs or inf if your predicted probabilities are exactly zero or extremely close to zero for events that actually occur in your data. This can sabotage training or produce meaningless metrics.</p></li><li><p><strong>Support Mismatch</strong>: Even if you think your model can produce all possible outcomes, floating-point issues can cause practical zeros.</p></li><li><p>Solutions:</p><ul><li><p>Smoothing: Add a small epsilon to ( Q ) so that zero never truly occurs. That is, use something like ( Q(x) + \varepsilon ) as a lower bound in the log denominator.</p></li><li><p>Regularization: Encourage ( Q ) to be more diffuse so that it doesn&#8217;t fully exclude certain events.</p></li><li><p><strong>Consider Alternative Measures</strong>: In some tasks, especially if you expect partial support mismatch, a measure like Jensen&#8211;Shannon divergence or the Wasserstein distance might be more robust.</p></li></ul></li></ul></li></ul><h2><strong>In practical machine learning pipelines, why might one prefer minimizing cross-entropy rather than directly coding up a &#8220;KL divergence minimization&#8221; objective?</strong></h2><p>Although cross-entropy and KL divergence are tightly related, direct usage of a &#8220;KL divergence term&#8221; might involve complexities around computing or estimating ( P \log(P/Q) ). Cross-entropy loss is usually more straightforward to implement:</p><ul><li><p>Reasoning:</p><ul><li><p>For supervised classification, you have discrete labels ( y ). The &#8220;true&#8221; distribution ( P ) is often a one-hot vector. Minimizing cross-entropy directly is simpler because it is ( -\sum y \log Q ). You skip having to compute ( y \log y ) or a ratio ( \frac{y}{Q} ) that might be undefined if ( Q ) is 0 or if the label distribution is something other than a simple one-hot.</p></li><li><p>Under the hood, the difference between cross-entropy and KL divergence is just the constant entropy term ( H(P) ), which does not depend on your model.</p></li></ul></li><li><p>Pitfalls:</p><ul><li><p>In some custom tasks (e.g., structured prediction, certain generative tasks), you might want to incorporate more sophisticated terms that measure the distribution mismatch in a different manner (like reweighted KL or a partial support domain).</p></li><li><p>Minimizing cross-entropy is standard for classification, but in certain specialized tasks, direct KL constraints might be more flexible or might operate in latent spaces (like in VAEs).</p></li></ul></li></ul><h2><strong>How can one interpret KL Divergence in the context of policy gradient methods beyond offline RL, such as in trust-region policy optimization (TRPO) or proximal policy optimization (PPO)?</strong></h2><p>In on-policy RL, methods like TRPO and PPO control how much the new policy deviates from the old policy by bounding or penalizing KL divergence:</p><ul><li><p>Reasoning:</p><ul><li><p>In TRPO, there is a hard constraint ( D_{KL}(\pi_{\theta_{\text{new}}} ,|, \pi_{\theta_{\text{old}}}) \le \delta ). This ensures that each policy update is not &#8220;too large,&#8221; stabilizing training by preventing catastrophic updates that degrade performance drastically.</p></li><li><p>In PPO, there is a clipped objective that effectively penalizes big changes in the policy ratio ( \frac{\pi_{\theta_{\text{new}}}(a \mid s)}{\pi_{\theta_{\text{old}}}(a \mid s)} ). This is akin to controlling KL but in a simpler, more practical manner.</p></li></ul></li><li><p>Pitfalls:</p><ul><li><p><strong>Balancing Exploration vs. Stability</strong>: If the KL constraint (or clipping) is too strict, the policy might learn slowly or converge to a suboptimal local minimum. If it&#8217;s too loose, you can get unstable policy updates.</p></li><li><p><strong>Hyperparameter Tuning</strong>: The threshold for KL or the clipping range is typically found via trial and error, and suboptimal settings can hamper performance significantly.</p></li><li><p><strong>Cost of Computing KL</strong>: TRPO&#8217;s constraint requires a second-order approximation to KL for large neural networks, which can be computationally expensive.</p></li></ul></li></ul><h2><strong>When dealing with hierarchical models (e.g., mixture models or hierarchical Bayesian models), how is KL Divergence used to compare or constrain distributions at multiple levels?</strong></h2><p>Hierarchical models often involve latent variables at multiple levels. You might have a prior distribution at one level and a conditional distribution at another:</p><ul><li><p>Reasoning:</p><ul><li><p>One might impose a KL divergence constraint between a conditional posterior and a prior to ensure the learned conditional distribution does not stray too far from some known structural assumption.</p></li><li><p>In mixture models (like Gaussian mixtures), you might compare each mixture component to a subset of the data distribution or compare the entire mixture to the global data distribution.</p></li></ul></li><li><p>Pitfalls:</p><ul><li><p><strong>Nested Divergences</strong>: If you have multiple hierarchical layers, the overall divergence-based objective can become quite complex. One might inadvertently push the model too aggressively at the top level while ignoring mismatch at lower layers, or vice versa.</p></li><li><p><strong>Local Minima</strong>: As with many complex models, optimization can get stuck unless carefully initialized or unless specialized inference techniques are applied.</p></li><li><p><strong>Allocation of Probability Mass</strong>: In a mixture model, certain components might get collapsed or overshadowed by others, and the KL measure might not necessarily enforce balanced usage of all components without additional mechanisms.</p></li></ul></li></ul><h2><strong>How can we leverage KL Divergence in data compression scenarios, and what real-world concerns might arise?</strong></h2><p>KL divergence is connected to the concept of coding length and compression efficiency (via the Shannon coding framework). You might compare the distribution used by a compressor ( Q ) to the true distribution ( P ):</p><ul><li><p>Reasoning:</p><ul><li><p>If ( Q ) is your &#8220;code distribution&#8221; and ( P ) is the actual distribution of symbols, the average code length is related to ( H(P) + D_{KL}(P | Q) ). Minimizing KL divergence is effectively minimizing the coding redundancy beyond the entropy limit.</p></li></ul></li><li><p>Pitfalls:</p><ul><li><p><strong>Mismatch with Real Data</strong>: Real data might have correlations or structure not captured by a simplistic ( Q ). The mismatch leads to suboptimal compression rates.</p></li><li><p><strong>Dynamic or Non-Stationary Data</strong>: If ( P ) changes over time (distribution shift), a fixed ( Q ) becomes a poor match, inflating code length. You need to update ( Q ) or adapt it in an online manner, which might be non-trivial if you want to minimize the cumulative KL over time.</p></li><li><p><strong>Implementation Details</strong>: In practical compression systems, we do not usually compute KL directly but rely on learning or explicit coding strategies (like arithmetic coding) that can approximate the distribution with minimal overhead. Numerical issues (like floating-point approximations) can also degrade performance.</p></li></ul></li></ul><h2><strong>How might domain adaptation or transfer learning use KL Divergence to align distributions between source and target domains, and what are tricky aspects?</strong></h2><p>Domain adaptation tasks often involve a source domain distribution ( P_s ) (where labeled data is abundant) and a target domain distribution ( P_t ) (where data might be unlabeled or scarce). Some methods try to align feature representations by making them similar across domains via a distributional measure such as KL:</p><ul><li><p>Reasoning:</p><ul><li><p>If you embed data from both domains into a latent space, you can try to make the latent representation distributions for source and target close under KL divergence. This might help the classifier or regressor to generalize better from the source domain to the target domain.</p></li></ul></li><li><p>Pitfalls:</p><ul><li><p><strong>Label Mismatch</strong>: Even if the feature distributions are aligned, the label distributions might differ. Minimizing KL of feature distributions alone might not guarantee good performance if the label marginals shift drastically.</p></li><li><p>Asymmetry: Choosing which direction of KL might matter if you want to ensure coverage of certain modes in the target domain or ensure you do not ignore sub-populations.</p></li><li><p><strong>Partial vs. Full Overlap</strong>: If the target domain covers only a subset of the source domain&#8217;s support or introduces entirely new regions, a naive KL alignment might be misleading.</p></li></ul></li></ul>]]></content:encoded></item><item><title><![CDATA[ML Interview Q Series: Validating Model Accuracy Gains: Statistical Significance Testing for Comparing Classifiers]]></title><description><![CDATA[&#128218; Browse the full ML Interview series here.]]></description><link>https://www.rohan-paul.com/p/ml-interview-q-series-validating-e69</link><guid isPermaLink="false">https://www.rohan-paul.com/p/ml-interview-q-series-validating-e69</guid><pubDate>Fri, 13 Jun 2025 08:22:33 GMT</pubDate><enclosure url="https://substackcdn.com/image/fetch/$s_!qRJ-!,f_auto,q_auto:good,fl_progressive:steep/https%3A%2F%2Fsubstack-post-media.s3.amazonaws.com%2Fpublic%2Fimages%2Fe7021be2-ba04-4b3e-aaf3-f01d82193d92_1024x685.png" length="0" type="image/jpeg"/><content:encoded><![CDATA[<div class="captioned-image-container"><figure><a class="image-link image2 is-viewable-img" target="_blank" href="https://substackcdn.com/image/fetch/$s_!qRJ-!,f_auto,q_auto:good,fl_progressive:steep/https%3A%2F%2Fsubstack-post-media.s3.amazonaws.com%2Fpublic%2Fimages%2Fe7021be2-ba04-4b3e-aaf3-f01d82193d92_1024x685.png" data-component-name="Image2ToDOM"><div class="image2-inset"><picture><source type="image/webp" srcset="https://substackcdn.com/image/fetch/$s_!qRJ-!,w_424,c_limit,f_webp,q_auto:good,fl_progressive:steep/https%3A%2F%2Fsubstack-post-media.s3.amazonaws.com%2Fpublic%2Fimages%2Fe7021be2-ba04-4b3e-aaf3-f01d82193d92_1024x685.png 424w, https://substackcdn.com/image/fetch/$s_!qRJ-!,w_848,c_limit,f_webp,q_auto:good,fl_progressive:steep/https%3A%2F%2Fsubstack-post-media.s3.amazonaws.com%2Fpublic%2Fimages%2Fe7021be2-ba04-4b3e-aaf3-f01d82193d92_1024x685.png 848w, https://substackcdn.com/image/fetch/$s_!qRJ-!,w_1272,c_limit,f_webp,q_auto:good,fl_progressive:steep/https%3A%2F%2Fsubstack-post-media.s3.amazonaws.com%2Fpublic%2Fimages%2Fe7021be2-ba04-4b3e-aaf3-f01d82193d92_1024x685.png 1272w, https://substackcdn.com/image/fetch/$s_!qRJ-!,w_1456,c_limit,f_webp,q_auto:good,fl_progressive:steep/https%3A%2F%2Fsubstack-post-media.s3.amazonaws.com%2Fpublic%2Fimages%2Fe7021be2-ba04-4b3e-aaf3-f01d82193d92_1024x685.png 1456w" sizes="100vw"><img src="https://substackcdn.com/image/fetch/$s_!qRJ-!,w_1456,c_limit,f_auto,q_auto:good,fl_progressive:steep/https%3A%2F%2Fsubstack-post-media.s3.amazonaws.com%2Fpublic%2Fimages%2Fe7021be2-ba04-4b3e-aaf3-f01d82193d92_1024x685.png" width="1024" height="685" data-attrs="{&quot;src&quot;:&quot;https://substack-post-media.s3.amazonaws.com/public/images/e7021be2-ba04-4b3e-aaf3-f01d82193d92_1024x685.png&quot;,&quot;srcNoWatermark&quot;:null,&quot;fullscreen&quot;:null,&quot;imageSize&quot;:null,&quot;height&quot;:685,&quot;width&quot;:1024,&quot;resizeWidth&quot;:null,&quot;bytes&quot;:1123165,&quot;alt&quot;:null,&quot;title&quot;:null,&quot;type&quot;:&quot;image/png&quot;,&quot;href&quot;:null,&quot;belowTheFold&quot;:false,&quot;topImage&quot;:true,&quot;internalRedirect&quot;:&quot;https://www.rohan-paul.com/i/165849810?img=https%3A%2F%2Fsubstack-post-media.s3.amazonaws.com%2Fpublic%2Fimages%2Fe7021be2-ba04-4b3e-aaf3-f01d82193d92_1024x685.png&quot;,&quot;isProcessing&quot;:false,&quot;align&quot;:null,&quot;offset&quot;:false}" class="sizing-normal" alt="" srcset="https://substackcdn.com/image/fetch/$s_!qRJ-!,w_424,c_limit,f_auto,q_auto:good,fl_progressive:steep/https%3A%2F%2Fsubstack-post-media.s3.amazonaws.com%2Fpublic%2Fimages%2Fe7021be2-ba04-4b3e-aaf3-f01d82193d92_1024x685.png 424w, https://substackcdn.com/image/fetch/$s_!qRJ-!,w_848,c_limit,f_auto,q_auto:good,fl_progressive:steep/https%3A%2F%2Fsubstack-post-media.s3.amazonaws.com%2Fpublic%2Fimages%2Fe7021be2-ba04-4b3e-aaf3-f01d82193d92_1024x685.png 848w, https://substackcdn.com/image/fetch/$s_!qRJ-!,w_1272,c_limit,f_auto,q_auto:good,fl_progressive:steep/https%3A%2F%2Fsubstack-post-media.s3.amazonaws.com%2Fpublic%2Fimages%2Fe7021be2-ba04-4b3e-aaf3-f01d82193d92_1024x685.png 1272w, https://substackcdn.com/image/fetch/$s_!qRJ-!,w_1456,c_limit,f_auto,q_auto:good,fl_progressive:steep/https%3A%2F%2Fsubstack-post-media.s3.amazonaws.com%2Fpublic%2Fimages%2Fe7021be2-ba04-4b3e-aaf3-f01d82193d92_1024x685.png 1456w" sizes="100vw" fetchpriority="high"></picture><div class="image-link-expand"><div class="pencraft pc-display-flex pc-gap-8 pc-reset"><button tabindex="0" type="button" class="pencraft pc-reset pencraft icon-container restack-image"><svg role="img" width="20" height="20" viewBox="0 0 20 20" fill="none" stroke-width="1.5" stroke="var(--color-fg-primary)" stroke-linecap="round" stroke-linejoin="round" xmlns="http://www.w3.org/2000/svg"><g><title></title><path d="M2.53001 7.81595C3.49179 4.73911 6.43281 2.5 9.91173 2.5C13.1684 2.5 15.9537 4.46214 17.0852 7.23684L17.6179 8.67647M17.6179 8.67647L18.5002 4.26471M17.6179 8.67647L13.6473 6.91176M17.4995 12.1841C16.5378 15.2609 13.5967 17.5 10.1178 17.5C6.86118 17.5 4.07589 15.5379 2.94432 12.7632L2.41165 11.3235M2.41165 11.3235L1.5293 15.7353M2.41165 11.3235L6.38224 13.0882"></path></g></svg></button><button tabindex="0" type="button" class="pencraft pc-reset pencraft icon-container view-image"><svg xmlns="http://www.w3.org/2000/svg" width="20" height="20" viewBox="0 0 24 24" fill="none" stroke="currentColor" stroke-width="2" stroke-linecap="round" stroke-linejoin="round" class="lucide lucide-maximize2 lucide-maximize-2"><polyline points="15 3 21 3 21 9"></polyline><polyline points="9 21 3 21 3 15"></polyline><line x1="21" x2="14" y1="3" y2="10"></line><line x1="3" x2="10" y1="21" y2="14"></line></svg></button></div></div></div></a></figure></div><p>&#128218; Browse <strong><a href="https://rohanpaul.substack.com/s/ml-interview-series/archive?sort=new">the full ML Interview series here</a></strong>.</p><h2><strong>Statistical Significance in Model Performance: You have two ML models, A and B, and on a test set model A achieved 85% accuracy and model B achieved 87%. How would you determine if model B&#8217;s performance is *significantly* better than model A&#8217;s and not just due to random chance? *Describe your approach (e.g., hypothesis testing or confidence intervals for the difference in accuracy).*</strong></h2><p class="button-wrapper" data-attrs="{&quot;url&quot;:&quot;https://x.com/rohanpaul_ai&quot;,&quot;text&quot;:&quot;Connect with me on X (Twitter)&quot;,&quot;action&quot;:null,&quot;class&quot;:&quot;button-wrapper&quot;}" data-component-name="ButtonCreateButton"><a class="button primary button-wrapper" href="https://x.com/rohanpaul_ai"><span>Connect with me on X (Twitter)</span></a></p><p>Below is a comprehensive explanation of how one can rigorously determine if the difference between 85% accuracy (Model A) and 87% accuracy (Model B) is statistically significant, ensuring that any observed improvement is unlikely to be merely random variation.</p><h2><strong>Deep Conceptual Explanation of the Approach</strong></h2><p>Hypothesis testing or constructing confidence intervals is the standard way to confirm whether one model&#8217;s performance surpasses another&#8217;s in a statistically significant manner. By treating the observed accuracies as estimated probabilities of correct classification under each model, we can attempt to quantify the uncertainty around these estimates. Typically, we want to answer the question: <strong>Is the difference in accuracy (2%) due to genuine superiority of Model B, or is it within a margin of error that might arise from the randomness inherent in test samples?</strong></p><p>Because the <strong>same test set</strong> is often used to evaluate both models, this raises important considerations. If we simply treat each model&#8217;s accuracy independently, ignoring that each individual data point is shared, we risk using an inappropriate statistical test. Ideally, we rely on a paired test that takes into account which examples each model classified correctly/incorrectly.</p><p>Below are key ways to perform such an analysis:</p><h2><strong>Using a Confidence Interval for the Difference in Accuracy</strong></h2><p>One intuitive approach is to construct a confidence interval for the difference in proportions (proportions of correctly classified samples). Suppose we let:</p><ul><li><p>(p_A) be the true accuracy of Model A on the population (unknown).</p></li><li><p>(p_B) be the true accuracy of Model B on the population (unknown).</p></li></ul><p>From the test set, we get sample accuracies:</p><ul><li><p>(\hat{p}_A = 0.85)</p></li><li><p>(\hat{p}_B = 0.87)</p></li></ul><p>The difference is (\hat{p}_B - \hat{p}_A = 0.02) (2%).</p><p>If the test set has (n) samples, we can use the standard error for the difference in proportions to construct an approximate confidence interval. However, because the same test set is used for both models, the difference in sample proportions is not fully independent. One recommended approach is:</p><ul><li><p>Let (d_i = 1) if the (i)-th sample is classified correctly by Model B and incorrectly by Model A, (-1) if Model A is correct and Model B is not, and (0) if they both get it correct or both get it wrong.</p></li><li><p>The sum of (d_i) over all (i) in the test set captures how many additional correct classifications Model B has over A.</p></li><li><p>This sum and its distribution can be used to compute a standard error or confidence interval on the net difference, factoring in the pairing.</p></li></ul><p>If the confidence interval for (\hat{p}_B - \hat{p}_A) does not include 0 (e.g., if we find that the entire interval is above 0 at some confidence level like 95%), we can conclude that B is statistically significantly better.</p><h2><strong>Using a Paired Hypothesis Test (e.g., McNemar&#8217;s Test)</strong></h2><p>Another respected method for comparing two classifiers on the same dataset is <strong>McNemar&#8217;s Test</strong>, specifically designed to handle paired data. This test looks at how often each model is correct/incorrect on each test instance:</p><ul><li><p>We form a 2x2 contingency table:</p><ul><li><p>Cell (a): #samples both A and B got correct</p></li><li><p>Cell (b): #samples A got correct but B got wrong</p></li><li><p>Cell (c): #samples A got wrong but B got correct</p></li><li><p>Cell (d): #samples both A and B got wrong</p></li></ul></li></ul><p>McNemar&#8217;s test primarily focuses on b and c&#8212;the instances on which the models disagree. Intuitively, if Model B is truly better, you would expect it to outperform A more often (c &gt; b). The test statistic approximately follows a chi-square distribution. For large sample sizes, the standard formula is:</p><div class="captioned-image-container"><figure><a class="image-link image2" target="_blank" href="https://substackcdn.com/image/fetch/$s_!R-R3!,f_auto,q_auto:good,fl_progressive:steep/https%3A%2F%2Fsubstack-post-media.s3.amazonaws.com%2Fpublic%2Fimages%2F3df9252c-d1ee-4312-a66e-2d4ab10045f3_434x190.png" data-component-name="Image2ToDOM"><div class="image2-inset"><picture><source type="image/webp" srcset="https://substackcdn.com/image/fetch/$s_!R-R3!,w_424,c_limit,f_webp,q_auto:good,fl_progressive:steep/https%3A%2F%2Fsubstack-post-media.s3.amazonaws.com%2Fpublic%2Fimages%2F3df9252c-d1ee-4312-a66e-2d4ab10045f3_434x190.png 424w, https://substackcdn.com/image/fetch/$s_!R-R3!,w_848,c_limit,f_webp,q_auto:good,fl_progressive:steep/https%3A%2F%2Fsubstack-post-media.s3.amazonaws.com%2Fpublic%2Fimages%2F3df9252c-d1ee-4312-a66e-2d4ab10045f3_434x190.png 848w, https://substackcdn.com/image/fetch/$s_!R-R3!,w_1272,c_limit,f_webp,q_auto:good,fl_progressive:steep/https%3A%2F%2Fsubstack-post-media.s3.amazonaws.com%2Fpublic%2Fimages%2F3df9252c-d1ee-4312-a66e-2d4ab10045f3_434x190.png 1272w, https://substackcdn.com/image/fetch/$s_!R-R3!,w_1456,c_limit,f_webp,q_auto:good,fl_progressive:steep/https%3A%2F%2Fsubstack-post-media.s3.amazonaws.com%2Fpublic%2Fimages%2F3df9252c-d1ee-4312-a66e-2d4ab10045f3_434x190.png 1456w" sizes="100vw"><img src="https://substackcdn.com/image/fetch/$s_!R-R3!,w_1456,c_limit,f_auto,q_auto:good,fl_progressive:steep/https%3A%2F%2Fsubstack-post-media.s3.amazonaws.com%2Fpublic%2Fimages%2F3df9252c-d1ee-4312-a66e-2d4ab10045f3_434x190.png" width="434" height="190" data-attrs="{&quot;src&quot;:&quot;https://substack-post-media.s3.amazonaws.com/public/images/3df9252c-d1ee-4312-a66e-2d4ab10045f3_434x190.png&quot;,&quot;srcNoWatermark&quot;:null,&quot;fullscreen&quot;:null,&quot;imageSize&quot;:null,&quot;height&quot;:190,&quot;width&quot;:434,&quot;resizeWidth&quot;:null,&quot;bytes&quot;:10222,&quot;alt&quot;:null,&quot;title&quot;:null,&quot;type&quot;:&quot;image/png&quot;,&quot;href&quot;:null,&quot;belowTheFold&quot;:true,&quot;topImage&quot;:false,&quot;internalRedirect&quot;:&quot;https://www.rohan-paul.com/i/165849810?img=https%3A%2F%2Fsubstack-post-media.s3.amazonaws.com%2Fpublic%2Fimages%2F3df9252c-d1ee-4312-a66e-2d4ab10045f3_434x190.png&quot;,&quot;isProcessing&quot;:false,&quot;align&quot;:null,&quot;offset&quot;:false}" class="sizing-normal" alt="" srcset="https://substackcdn.com/image/fetch/$s_!R-R3!,w_424,c_limit,f_auto,q_auto:good,fl_progressive:steep/https%3A%2F%2Fsubstack-post-media.s3.amazonaws.com%2Fpublic%2Fimages%2F3df9252c-d1ee-4312-a66e-2d4ab10045f3_434x190.png 424w, https://substackcdn.com/image/fetch/$s_!R-R3!,w_848,c_limit,f_auto,q_auto:good,fl_progressive:steep/https%3A%2F%2Fsubstack-post-media.s3.amazonaws.com%2Fpublic%2Fimages%2F3df9252c-d1ee-4312-a66e-2d4ab10045f3_434x190.png 848w, https://substackcdn.com/image/fetch/$s_!R-R3!,w_1272,c_limit,f_auto,q_auto:good,fl_progressive:steep/https%3A%2F%2Fsubstack-post-media.s3.amazonaws.com%2Fpublic%2Fimages%2F3df9252c-d1ee-4312-a66e-2d4ab10045f3_434x190.png 1272w, https://substackcdn.com/image/fetch/$s_!R-R3!,w_1456,c_limit,f_auto,q_auto:good,fl_progressive:steep/https%3A%2F%2Fsubstack-post-media.s3.amazonaws.com%2Fpublic%2Fimages%2F3df9252c-d1ee-4312-a66e-2d4ab10045f3_434x190.png 1456w" sizes="100vw" loading="lazy"></picture><div></div></div></a></figure></div><p>If (\chi^2) exceeds a certain threshold, we reject the null hypothesis (that both models have the same accuracy). A significant result supports that Model B truly outperforms Model A.</p><h2><strong>Using a Bootstrap Approach</strong></h2><p>A more computationally intensive but often straightforward approach is to use bootstrapping:</p><ul><li><p>Repeatedly sample, with replacement, subsets from the original test set.</p></li><li><p>Compute Model A&#8217;s and Model B&#8217;s accuracy on each resampled subset.</p></li><li><p>Observe the distribution of the accuracy differences across these bootstrap samples.</p></li><li><p>Generate the confidence interval of the difference in accuracy by taking suitable percentiles (e.g., 2.5% and 97.5% for a 95% confidence interval).</p></li></ul><p>If that entire bootstrap-based confidence interval of the difference is above 0, we conclude that B&#8217;s accuracy is significantly higher than A&#8217;s. This approach is flexible and does not rely heavily on theoretical assumptions.</p><h2><strong>Practical Implementation in Python (Illustrative Example)</strong></h2><p>Below is a conceptual outline in Python-like pseudocode, focusing on McNemar&#8217;s test logic:</p><pre><code><code>import math
from math import comb
from statistics import mean
import numpy as np

def mcnemar_test_predictions(y_true, y_pred_a, y_pred_b):
    """
    y_true   : array-like of true labels
    y_pred_a : array-like of predictions from Model A
    y_pred_b : array-like of predictions from Model B
    """
    b = 0  # Cases A correct, B wrong
    c = 0  # Cases A wrong, B correct

    for true_label, pred_a, pred_b in zip(y_true, y_pred_a, y_pred_b):
        is_a_correct = (pred_a == true_label)
        is_b_correct = (pred_b == true_label)

        if is_a_correct and not is_b_correct:
            b += 1
        elif not is_a_correct and is_b_correct:
            c += 1

    # McNemar's statistic
    chi2_value = (b - c)**2 / (b + c) if (b+c) &gt; 0 else 0

    # For large samples, p-value can be approximated with chi-square(1) distribution
    # But a continuity correction can also be applied.

    return chi2_value

# Example usage:
# Suppose we have arrays of labels and predictions:
y_true = [0, 1, 1, 0, ... ]          # ground truth
y_pred_A = [0, 1, 1, 0, ... ]       # predictions by Model A
y_pred_B = [0, 1, 1, 1, ... ]       # predictions by Model B

chi2_statistic = mcnemar_test_predictions(y_true, y_pred_A, y_pred_B)
print("McNemar's Chi-squared:", chi2_statistic)
</code></code></pre><p>If the resulting chi-squared statistic is large enough to surpass a critical threshold, or the derived p-value is below a common significance level (like 0.05), then we conclude B is significantly better.</p><h2><strong>Why a Simple Difference in Accuracy Might Not Be Enough</strong></h2><p>Even if Model B&#8217;s accuracy is 87% vs. Model A&#8217;s 85%, random sampling fluctuations might be the culprit. For example, if the test set is small, a 2% difference might have a wide confidence interval. Alternatively, if the test set is large and the difference remains consistent, it might be a highly robust improvement.</p><p>One pitfall is ignoring the correlation between predictions. If we tested the models on different data sets, we could just do a standard difference in proportions test. But because they are tested on the same data, each test sample is effectively &#8220;paired,&#8221; so we must adjust for that correlation&#8212;hence, McNemar&#8217;s test or a similar approach.</p><div class="subscription-widget-wrap-editor" data-attrs="{&quot;url&quot;:&quot;https://www.rohan-paul.com/subscribe?&quot;,&quot;text&quot;:&quot;Subscribe&quot;,&quot;language&quot;:&quot;en&quot;}" data-component-name="SubscribeWidgetToDOM"><div class="subscription-widget show-subscribe"><div class="preamble"><p class="cta-caption">I write everyday for my readers on actionable AI. Subscribe and instantly get a 1300+ page Python book.</p></div><form class="subscription-widget-subscribe"><input type="email" class="email-input" name="email" placeholder="Type your email&#8230;" tabindex="-1"><input type="submit" class="button primary" value="Subscribe"><div class="fake-input-wrapper"><div class="fake-input"></div><div class="fake-button"></div></div></form></div></div><h2><strong>Addressing Potential Follow-Up Questions</strong></h2><h3><strong>How does sample size influence the detection of statistical significance?</strong></h3><p>A smaller test set leads to greater uncertainty in estimates of accuracy. A difference of 2% might be large enough to be statistically significant if we had thousands of test samples, but might fail to reach significance with only a few hundred. Generally, the bigger the test set, the smaller the confidence interval and the more sensitive the test is to detect small performance differences.</p><h3><strong>Does statistical significance automatically imply practical significance?</strong></h3><p>Even if a difference is statistically significant, it might be too small to matter in a real production environment. For instance, a 0.1% improvement in accuracy might be significant in a huge dataset. One should always consider cost-benefit trade-offs, ease of deployment, computational overhead, and potential user impact in deciding if a difference is practically relevant.</p><h3><strong>Why would someone use a bootstrap approach over a standard parametric test?</strong></h3><p>The bootstrap method requires fewer assumptions about the data distribution and can handle complex accuracy metrics (like F1 score, AUC) without requiring specialized formulae. Bootstrapping gives a direct empirical sense of the variability in the performance difference. Parametric tests (like McNemar&#8217;s) are well-established, but can hinge on certain assumptions (e.g., large sample counts, or the data fitting certain distributions). Bootstrapping is also conceptually intuitive but more computationally expensive.</p><h3><strong>What if the dataset is heavily imbalanced? Does that affect these tests?</strong></h3><p>If the dataset has a severe class imbalance, accuracy might not be the best metric in the first place. One might prefer metrics like precision, recall, or F1 score. To compare such metrics, a suitable statistical test (or a bootstrap approach) could be applied analogously. For instance, if you want to compare F1 scores, you can compute them on resampled data and form confidence intervals or p-values. The same principle of analyzing differences and building confidence intervals applies; just the metric changes.</p><h3><strong>Can I use a standard t-test for comparing two models?</strong></h3><p>A plain &#8220;two-sample&#8221; t-test on the difference of accuracies is generally not correct because each sample (test instance) is evaluated by both models, resulting in a dependency structure. A dependent (paired) test is required. McNemar&#8217;s test is effectively a paired test for classification outcomes. If you were comparing average errors across two regression models, a paired t-test could be more appropriate. But for classification accuracy specifically, McNemar&#8217;s or a suitable bootstrap test is the standard approach.</p><h3><strong>How do I interpret the p-value in this context?</strong></h3><p>A p-value is the probability, under the null hypothesis that &#8220;there is no difference between the two models&#8217; performances,&#8221; of observing a difference at least as extreme as the one seen. A small p-value (e.g., &lt; 0.05) indicates it&#8217;s unlikely that we would see as big a difference in performance if the two models were actually the same. Thus, we reject the null hypothesis and accept that Model B likely has an advantage.</p><h3><strong>What&#8217;s the main difference between McNemar&#8217;s test and a confidence interval approach?</strong></h3><p>They&#8217;re closely related in concept. McNemar&#8217;s test is a direct hypothesis test that addresses &#8220;Is the difference zero or not?&#8221; If we wanted an estimate of <em>how big</em> the difference is, along with a margin of error, we&#8217;d construct a confidence interval. Both are standard ways of deciding whether the difference is statistically meaningful.</p><h3><strong>Could you mention a real-world pitfall in applying these tests?</strong></h3><p>One real-world pitfall is repeated peeking at results. If you keep evaluating your model on the same test set multiple times during iterative development, your test set no longer provides an unbiased estimate of performance. This repeated usage can inflate your chances of finding a &#8220;significant&#8221; difference by chance. A best practice is to finalize your model choices (e.g., hyperparameters) before performing the final significance test on a truly held-out test set.</p><h3><strong>How should I handle the case where I have multiple models (more than two) and want to claim one is best?</strong></h3><p>If multiple pairwise comparisons are performed (e.g., you compare Model A vs B, B vs C, A vs C, etc.), you should adjust for multiple hypothesis testing to control the family-wise error rate (e.g., using a Bonferroni correction) or use a non-parametric multiple comparison test suited for classifier comparisons (e.g., the Friedman test followed by a post-hoc test like Nemenyi). This ensures you don&#8217;t incorrectly declare significance because of repeated tests.</p><h3><strong>Is there a scenario where Model B&#8217;s performance appears worse but is still &#8220;statistically significantly&#8221; better?</strong></h3><p>This scenario is typically contradictory on the face of it. But one could imagine a scenario with class imbalance and different performance metrics. If B drastically improves performance on a minority class, while having a small drop on the majority class, the overall accuracy might remain lower, yet B might be significantly better in terms of recall or F1 on the minority class. So &#8220;better&#8221; depends on what metric or hypothesis is tested. In pure accuracy terms, if it appears worse, typically the test would not show significance in favor of B unless some data sampling nuance is at play.</p><h3><strong>How do you handle randomness when you are training the models themselves?</strong></h3><p>If the models have random initialization or rely on stochastic gradient descent, you might get different results across multiple runs. In such a scenario, you could measure average accuracy across repeated training runs with different random seeds. Then you could apply a paired statistical test on the results across those seeds (treat each seed as a repeated experiment). Alternatively, for each seed, you collect predictions on the same test set, then check if differences consistently favor Model B. McNemar&#8217;s test or a bootstrap approach can be repeated for each pair of final models trained with different seeds, and you examine whether B consistently outperforms A.</p><h3><strong>Could we directly interpret p-value from the difference in accuracy (like 85% vs 87%) without a formal test?</strong></h3><p>It&#8217;s risky to interpret a direct difference of 2% in raw accuracy as a &#8220;p-value.&#8221; Different sample sizes and distribution of errors yield different uncertainties. A 2% difference with 100 samples is very different from a 2% difference with 10,000 samples. The formal test is what normalizes for sample size and distributional properties. Without such a test, you can&#8217;t be sure if it&#8217;s random noise or a genuine difference.</p><div><hr></div><h2><strong>Below are additional follow-up questions</strong></h2><h2><strong>What if the data is sequential or time-based? Does that affect the significance testing approach?</strong></h2><p>When dealing with time-based (or otherwise sequential) data, each test sample may not be independently drawn from the data distribution. Many of the standard tests for statistical significance (e.g., McNemar&#8217;s test, standard difference-in-proportions methods) assume independence between samples. In a time-series setting, autocorrelation in the data can invalidate these assumptions.</p><p>For example, if your test examples are consecutive days of stock price movement, each day&#8217;s outcome can be correlated with the previous day(s). Because of this, a difference in accuracy (say 85% vs. 87%) may arise from certain temporal patterns rather than a true improvement in classification ability.</p><p>One practical adjustment is to apply blocking or batching in time. For instance, you could form blocks of consecutive observations, treat each block as a single unit, and then perform a paired test on these units. Alternatively, you can incorporate a <strong>time-series cross-validation approach</strong> rather than a standard train&#8211;test split, ensuring that the evaluation better respects time order.</p><p>Pitfalls might arise if you ignore temporal dependence:</p><ul><li><p>You might incorrectly inflate your sample size (treating each timestep as fully independent), which can lead to falsely low p-values.</p></li><li><p>Certain performance patterns (e.g., a model that performs well on persistent trends) could appear &#8220;significant&#8221; if you apply naive tests, yet the advantage might vanish if the trends shift.</p></li></ul><p>So, in time-series scenarios, you must carefully choose a testing strategy that acknowledges potential correlations across time.</p><h2><strong>How should one handle significance testing for metrics other than simple accuracy (e.g., ranking metrics or multi-label settings)?</strong></h2><p>Some tasks require specialized metrics beyond plain accuracy:</p><ul><li><p>Ranking tasks (e.g., search relevance) often use mean average precision (MAP), normalized discounted cumulative gain (NDCG), etc.</p></li><li><p>Multi-label tasks might use subset accuracy, Hamming loss, or an F1-based measure across multiple labels.</p></li></ul><p>The methods behind significance remain similar&#8212;construct confidence intervals for metric differences or conduct suitable hypothesis tests&#8212;but you need a way to account for dependence among samples or labels. Some approaches:</p><ul><li><p>Bootstrapping becomes highly attractive: you can repeatedly sample from your dataset (or from user queries in a ranking scenario) to approximate the distribution of any performance metric difference. Then you can generate an empirical confidence interval and p-value.</p></li><li><p><strong>Permutation tests</strong> can also be used, especially in ranking tasks, where you randomly shuffle predictions (under the null hypothesis of &#8220;no difference&#8221;) and check the probability of seeing a difference in your metric as large as the one observed.</p></li></ul><p>Pitfalls and subtleties include:</p><ul><li><p>Different metrics may have different variances. A small difference in NDCG can still be highly meaningful, while a small difference in MAP might be negligible&#8212;context matters.</p></li><li><p>If multi-label data is very sparse (many labels with few positive instances), certain tests might yield unreliable p-values. Ensuring each label has enough support is critical.</p></li><li><p>Overlapping ground truth across multiple labels can create complex dependency structures that standard tests might not fully capture.</p></li></ul><p>In short, the core idea&#8212;quantify the distribution of metric differences and see if zero difference is inside or outside a plausible range&#8212;applies universally, but the implementation details vary with the metric&#8217;s nature.</p><h2><strong>What if the test data was used during model selection or hyperparameter tuning?</strong></h2><p>In an ideal experimental setup, the test set is a <strong>purely held-out</strong> dataset, never touched during any step of model building or hyperparameter selection. Once you mix test data into hyperparameter tuning, you risk <strong>overfitting to the test set</strong>, making it an unreliable measure of real performance. This can inflate your observed difference in accuracy or produce artificially small confidence intervals.</p><p>Pitfalls in this scenario:</p><ul><li><p>You might repeatedly tweak model B&#8217;s hyperparameters based on test performance, eventually beating model A by 2%. However, because you used the test set in the design loop, that 2% advantage might not generalize to truly unseen data.</p></li><li><p>The concept of &#8220;statistical significance&#8221; becomes muddy because your test set is no longer an unbiased sample for evaluation. You cannot trust p-values from standard tests if the same data shaped both models in an unequal manner.</p></li></ul><p>The solution is:</p><ul><li><p>Properly separate a development (validation) set or use cross-validation for hyperparameter tuning.</p></li><li><p>Keep a final test set unseen until the very last evaluation.</p></li><li><p>If the test set was inadvertently used for tuning, gather a new test set if possible. If that&#8217;s not an option, at least be transparent about the potential bias and treat significance claims with caution.</p></li></ul><h2><strong>How do we compare significance when one model has a higher median accuracy but also a much larger variance across multiple runs?</strong></h2><p>In real practice, we often train the same model architecture multiple times with different random seeds (initializations, data shuffling, etc.) and observe the distribution of final performance metrics. Suppose Model A consistently gets around 85% accuracy with a narrow variance (e.g., 84&#8211;86%), while Model B on average hits 87% but has a broader variance (e.g., 80&#8211;90%).</p><p>We can still do a paired comparison of the runs:</p><ul><li><p>For each random seed, you evaluate Model A and Model B on the same test set. This yields pairs of accuracies: (A1, B1), (A2, B2), etc.</p></li><li><p>You can apply a <strong>paired t-test</strong> on those final accuracies across seeds (for a large enough sample of seeds). If B&#8217;s average is significantly higher than A&#8217;s, you might conclude B is better on average.</p></li></ul><p>However, practical considerations can override pure statistical significance:</p><ul><li><p>If B&#8217;s variance is so large that in certain runs it dips below A&#8217;s typical performance, that might not be acceptable in production.</p></li><li><p>You might prefer a more stable model (A) to a volatile one (B), especially if high reliability is critical.</p></li></ul><p>Hence, while significance might confirm B&#8217;s higher mean performance across many runs, you must also assess risk tolerance for B&#8217;s worst-case scenarios. You might also test whether the difference in variability is significant and whether that matters from a business standpoint.</p><h2><strong>How do missing or partial labels in the dataset affect significance testing?</strong></h2><p>If the dataset has missing ground-truth labels or partial labeling:</p><ul><li><p>The effective sample size for computing accuracy shrinks to only those instances with known correct labels. This can inflate the variance of your accuracy estimate because you have fewer labeled samples.</p></li><li><p>Certain statistical tests assume that every sample is labeled (and thus can be counted as correct/incorrect). If you lack labels for some portion of the test set, you may inadvertently skew your test if these unlabeled examples are not missing at random.</p></li></ul><p>Potential pitfalls:</p><ul><li><p>If missing labels correlate with sample difficulty (e.g., the hardest examples remain unlabeled), then your measured accuracies could be overly optimistic, and significance tests can become misleading.</p></li><li><p>If Model B happens to classify more unlabeled examples (which you cannot confirm as correct or incorrect), you have incomplete information about its real performance.</p></li></ul><p>Practical strategies:</p><ul><li><p>Focus your significance test only on the subset of test samples with reliable labels. This shrinks your sample size but provides more trustworthy outcomes.</p></li><li><p>Use specialized methods such as <strong>partial label learning</strong> or <strong>weak supervision</strong> approaches if partial labels are systematically available. For a significance test, you could measure agreement on fully labeled data and separately analyze partially labeled data with probabilistic confidence intervals.</p></li></ul><h2><strong>How should significance be interpreted if the test distribution differs substantially from the training or real-world distribution?</strong></h2><p>Statistical significance rests on the assumption that the test distribution is representative of the real-world population on which the model is intended to operate. If the test set distribution has shifted (e.g., it&#8217;s older data that no longer reflects current conditions), your 2% improvement might not generalize.</p><p>Examples of distribution shifts:</p><ul><li><p>A model trained on 2020 email data but tested on 2021 emails might face new spam tactics.</p></li><li><p>A recommender system tested on last month&#8217;s user activity might not reflect the evolving user behavior next month.</p></li></ul><p>Pitfalls:</p><ul><li><p>You may &#8220;prove&#8221; significance on an out-of-date test set but fail to replicate that advantage in real deployment.</p></li><li><p>A test set that does not align with current or future conditions might yield stable significance values that do not translate into actual performance.</p></li></ul><p>Solutions:</p><ul><li><p>Continuously monitor data drift. If the real-world data diverges from your test set distribution, you need a new test set or an ongoing evaluation pipeline to keep significance relevant.</p></li><li><p>Conduct repeated or rolling significance tests using updated data slices, ensuring that the environment is consistent with how you measure performance.</p></li></ul><h2><strong>When might a non-parametric approach be more appropriate than a parametric approach for comparing models?</strong></h2><p>Parametric tests, such as a paired t-test for difference in means, assume the underlying distribution of errors or performance differences meets certain conditions (e.g., normality of differences). Often in classification accuracy, the distribution of differences can be highly discrete and not necessarily normal.</p><p>Non-parametric tests, like the <strong>Wilcoxon signed-rank test</strong> (for paired data) or the <strong>sign test</strong>, require fewer assumptions. They rely more on ranking or sign patterns in the data rather than a parametric form of the data&#8217;s distribution.</p><p>Situations prompting non-parametric methods:</p><ul><li><p>If your dataset is relatively small, normality assumptions might not hold.</p></li><li><p>If your metric is heavily skewed or limited (e.g., accuracy close to 100% for many items, with a long tail for harder items), the distribution is not well-approximated by a normal distribution.</p></li><li><p>If you are measuring a metric like median absolute error, or if the performance measure has outliers that can disturb standard parametric methods.</p></li></ul><p>Non-parametric tests are robust and reduce the risk of incorrect p-values due to violation of parametric assumptions. However, they can be less powerful than their parametric counterparts if parametric assumptions were satisfied.</p><h2><strong>How do you handle cases where your test set is very large and even tiny differences end up being statistically significant?</strong></h2><p>In a scenario with an extremely large test set (e.g., millions of samples), even a 0.1% difference in accuracy can produce a very small p-value, indicating strong statistical significance. However, that difference might not be practically significant if it does not substantially impact user experience or key business metrics.</p><p>For instance, an improvement from 85.00% to 85.10% might have a p-value &lt; 0.0001 given a huge test set, even though such a difference might be negligible in practice.</p><p>Consider these questions:</p><ul><li><p>Does the improvement justify the additional complexity, computational cost, or model size overhead?</p></li><li><p>Are there constraints, such as inference speed or resource usage, that overshadow the small accuracy bump?</p></li></ul><p>In such cases, significance can be misleading if interpreted in isolation. You must weigh &#8220;practical significance&#8221; (cost-benefit analysis, performance constraints) against purely statistical significance. Sometimes you might do an <strong>effect size analysis</strong> (e.g., Cohen&#8217;s d) or treat the difference in more directly interpretable terms (like cost savings, conversions, or user satisfaction scores).</p><h2><strong>Could significance change if we alter the decision threshold instead of evaluating pure accuracy?</strong></h2><p>For certain classification models, especially those outputting probabilities (logistic regression, neural networks with a softmax layer, etc.), you can shift the decision threshold to trade off between precision and recall. Accuracy might improve or worsen depending on how you set this threshold.</p><p>This interplay can affect significance:</p><ul><li><p>If Model B&#8217;s best threshold outperforms Model A&#8217;s best threshold by 2%, that might suggest a robust advantage. However, if you fix a threshold at 0.5 for both, maybe the difference is less pronounced.</p></li><li><p>Model B might be significantly better at certain operating points (e.g., high recall, moderate precision) but not at others. Focusing only on a single default threshold can mask important differences.</p></li></ul><p>You might do a <strong>threshold sweep</strong> and compare overall performance curves (like ROC or Precision-Recall curves). Then you can use <strong>statistical tests on curve-based metrics</strong> (e.g., area under the ROC or PR curves) or bootstrap these curves to get confidence intervals. Real-world pitfalls:</p><ul><li><p>Overfitting the threshold to the test set can create the same type of data leakage as using the test set for hyperparameter tuning.</p></li><li><p>Different thresholds might be relevant in different application domains, so make sure you pick a threshold that aligns with how the model is actually used.</p></li></ul><h2><strong>Are there any concerns about repeated comparisons or &#8220;cherry-picking&#8221; models?</strong></h2><p>Repeatedly comparing multiple models or multiple variants of the same model can inflate the chance of finding at least one significant difference by random chance alone (the multiple testing problem). For example, if you try 20 hyperparameter variations of Model B and compare each one to Model A with a significance level of 0.05, the probability of at least one false significant result is higher than 0.05.</p><p>Strategies to mitigate this risk:</p><ul><li><p>Use a correction method like Bonferroni, <strong>Holm-Bonferroni</strong>, or <strong>Benjamini-Hochberg</strong> to adjust p-values for multiple comparisons.</p></li><li><p>Pre-specify which comparisons are truly of interest before looking at the data to avoid fishing expeditions.</p></li><li><p>Perform a single global test across all models (e.g., a Friedman test) and then do a post-hoc test only if the global test is significant.</p></li></ul><p>Real-world concerns:</p><ul><li><p>Data scientists might unknowingly (or knowingly) keep tweaking architecture or hyperparameters to try and surpass a baseline. This can lead to &#8220;p-hacking,&#8221; where eventually you see a &#8220;significant&#8221; difference by chance.</p></li><li><p>Documenting your entire search process or using techniques like cross-validation with strict separation can help keep results honest.</p></li></ul><h2><strong>What if the test set is tiny due to limited data? Are significance tests still valid?</strong></h2><p>A very small test set can make it difficult to reliably assess differences in accuracy:</p><ul><li><p>The standard errors become large, making it more likely that the confidence interval for the difference spans zero.</p></li><li><p>Some tests (like McNemar&#8217;s) might be invalid if the number of discordant samples (b + c) is too small.</p></li></ul><p>If your test set is extremely small, practical steps might include:</p><ul><li><p>Using cross-validation, if feasible, to effectively increase the number of test instances. You repeatedly split your data, train on one portion, test on another, and aggregate performance.</p></li><li><p>Pooling results across multiple small test sets from different time frames or data sources (provided they&#8217;re reasonably similar distributions) to build a more robust measure of significance.</p></li><li><p>Considering a Bayesian approach, where you can incorporate prior information about your model&#8217;s expected performance.</p></li></ul><p>However, even with these strategies, if your total labeled data is too limited, strong claims of significance become questionable. Sometimes the best path is to obtain more labeled data or to treat your results as preliminary evidence rather than definitive proof of a difference.</p><h2><strong>How to interpret and handle significance when using online or streaming evaluation?</strong></h2><p>In online learning or streaming contexts (e.g., a recommendation system that adapts daily based on new user interactions), model performance can shift over time. Instead of having a single static test set, you gather performance metrics continuously.</p><p>You might:</p><ul><li><p>Segment your data stream into consecutive time chunks (e.g., days or weeks). Within each chunk, record Model A&#8217;s and Model B&#8217;s accuracy. You then have pairs of points (A_t, B_t) over different time periods t.</p></li><li><p>Apply a paired test (like a paired t-test, Wilcoxon signed-rank, or a bootstrap approach) across these time segments.</p></li></ul><p>Pitfalls:</p><ul><li><p>Non-stationarity: The data distribution might drift, so a significant difference in earlier segments may disappear in later segments.</p></li><li><p>The number of segments might be small if each segment is large in length, which can reduce statistical power.</p></li><li><p>If you adapt your models in real time, the definitions of &#8220;Model A&#8221; and &#8220;Model B&#8221; might themselves shift, complicating consistent pairwise comparison.</p></li></ul><p>A best practice is to define stable model versions for a fixed period, measure them side by side, then reset your test protocol when you deploy a new version. This ensures a well-defined time window in which significance claims are valid.</p><h2><strong>How should results be communicated to non-technical stakeholders once significance is established?</strong></h2><p>Even after confirming that an accuracy difference is statistically significant, many stakeholders care more about real business or user impact than p-values. Communicating effectively is crucial:</p><ul><li><p>Translate the difference in accuracy into an <strong>actual impact</strong> metric (e.g., &#8220;Model B reduces misclassified transactions by 20 per day,&#8221; or &#8220;Model B yields 10% fewer user complaints&#8221;).</p></li><li><p>Emphasize the concept of <strong>confidence intervals</strong> or margin of error, so non-technical stakeholders understand that 87% is an estimate, not an absolute truth.</p></li><li><p>If practical significance is modest, clarify the trade-offs in terms of resource usage, training time, or other cost factors.</p></li></ul><p>Pitfalls:</p><ul><li><p>Overstating statistical significance as if it guarantees guaranteed improvements under all conditions.</p></li><li><p>Failing to mention that data drift, user behavior changes, or other evolving conditions could reduce that advantage over time.</p></li><li><p>Not addressing variance or reliability. A single average number can be misleading if the real-world performance is highly variable.</p></li></ul><p>Ultimately, significance is only one dimension of evaluating a model&#8217;s readiness for deployment. Ensuring stakeholders understand the uncertainties, assumptions, and real impact fosters more trustworthy model adoption.</p>]]></content:encoded></item><item><title><![CDATA[ML Interview Q Series: Central Limit Theorem: Normality from Averages and Its Importance for Machine Learning Inference.]]></title><description><![CDATA[&#128218; Browse the full ML Interview series here.]]></description><link>https://www.rohan-paul.com/p/ml-interview-q-series-central-limit-32e</link><guid isPermaLink="false">https://www.rohan-paul.com/p/ml-interview-q-series-central-limit-32e</guid><pubDate>Thu, 12 Jun 2025 10:24:44 GMT</pubDate><enclosure url="https://substackcdn.com/image/fetch/$s_!IMA_!,f_auto,q_auto:good,fl_progressive:steep/https%3A%2F%2Fsubstack-post-media.s3.amazonaws.com%2Fpublic%2Fimages%2Fb251b36c-bf09-4dd1-add7-5aba7781f98f_1024x680.png" length="0" type="image/jpeg"/><content:encoded><![CDATA[<div class="captioned-image-container"><figure><a class="image-link image2 is-viewable-img" target="_blank" href="https://substackcdn.com/image/fetch/$s_!IMA_!,f_auto,q_auto:good,fl_progressive:steep/https%3A%2F%2Fsubstack-post-media.s3.amazonaws.com%2Fpublic%2Fimages%2Fb251b36c-bf09-4dd1-add7-5aba7781f98f_1024x680.png" data-component-name="Image2ToDOM"><div class="image2-inset"><picture><source type="image/webp" srcset="https://substackcdn.com/image/fetch/$s_!IMA_!,w_424,c_limit,f_webp,q_auto:good,fl_progressive:steep/https%3A%2F%2Fsubstack-post-media.s3.amazonaws.com%2Fpublic%2Fimages%2Fb251b36c-bf09-4dd1-add7-5aba7781f98f_1024x680.png 424w, https://substackcdn.com/image/fetch/$s_!IMA_!,w_848,c_limit,f_webp,q_auto:good,fl_progressive:steep/https%3A%2F%2Fsubstack-post-media.s3.amazonaws.com%2Fpublic%2Fimages%2Fb251b36c-bf09-4dd1-add7-5aba7781f98f_1024x680.png 848w, https://substackcdn.com/image/fetch/$s_!IMA_!,w_1272,c_limit,f_webp,q_auto:good,fl_progressive:steep/https%3A%2F%2Fsubstack-post-media.s3.amazonaws.com%2Fpublic%2Fimages%2Fb251b36c-bf09-4dd1-add7-5aba7781f98f_1024x680.png 1272w, https://substackcdn.com/image/fetch/$s_!IMA_!,w_1456,c_limit,f_webp,q_auto:good,fl_progressive:steep/https%3A%2F%2Fsubstack-post-media.s3.amazonaws.com%2Fpublic%2Fimages%2Fb251b36c-bf09-4dd1-add7-5aba7781f98f_1024x680.png 1456w" sizes="100vw"><img src="https://substackcdn.com/image/fetch/$s_!IMA_!,w_1456,c_limit,f_auto,q_auto:good,fl_progressive:steep/https%3A%2F%2Fsubstack-post-media.s3.amazonaws.com%2Fpublic%2Fimages%2Fb251b36c-bf09-4dd1-add7-5aba7781f98f_1024x680.png" width="1024" height="680" data-attrs="{&quot;src&quot;:&quot;https://substack-post-media.s3.amazonaws.com/public/images/b251b36c-bf09-4dd1-add7-5aba7781f98f_1024x680.png&quot;,&quot;srcNoWatermark&quot;:null,&quot;fullscreen&quot;:null,&quot;imageSize&quot;:null,&quot;height&quot;:680,&quot;width&quot;:1024,&quot;resizeWidth&quot;:null,&quot;bytes&quot;:1017667,&quot;alt&quot;:null,&quot;title&quot;:null,&quot;type&quot;:&quot;image/png&quot;,&quot;href&quot;:null,&quot;belowTheFold&quot;:false,&quot;topImage&quot;:true,&quot;internalRedirect&quot;:&quot;https://www.rohan-paul.com/i/165775492?img=https%3A%2F%2Fsubstack-post-media.s3.amazonaws.com%2Fpublic%2Fimages%2Fb251b36c-bf09-4dd1-add7-5aba7781f98f_1024x680.png&quot;,&quot;isProcessing&quot;:false,&quot;align&quot;:null,&quot;offset&quot;:false}" class="sizing-normal" alt="" srcset="https://substackcdn.com/image/fetch/$s_!IMA_!,w_424,c_limit,f_auto,q_auto:good,fl_progressive:steep/https%3A%2F%2Fsubstack-post-media.s3.amazonaws.com%2Fpublic%2Fimages%2Fb251b36c-bf09-4dd1-add7-5aba7781f98f_1024x680.png 424w, https://substackcdn.com/image/fetch/$s_!IMA_!,w_848,c_limit,f_auto,q_auto:good,fl_progressive:steep/https%3A%2F%2Fsubstack-post-media.s3.amazonaws.com%2Fpublic%2Fimages%2Fb251b36c-bf09-4dd1-add7-5aba7781f98f_1024x680.png 848w, https://substackcdn.com/image/fetch/$s_!IMA_!,w_1272,c_limit,f_auto,q_auto:good,fl_progressive:steep/https%3A%2F%2Fsubstack-post-media.s3.amazonaws.com%2Fpublic%2Fimages%2Fb251b36c-bf09-4dd1-add7-5aba7781f98f_1024x680.png 1272w, https://substackcdn.com/image/fetch/$s_!IMA_!,w_1456,c_limit,f_auto,q_auto:good,fl_progressive:steep/https%3A%2F%2Fsubstack-post-media.s3.amazonaws.com%2Fpublic%2Fimages%2Fb251b36c-bf09-4dd1-add7-5aba7781f98f_1024x680.png 1456w" sizes="100vw" fetchpriority="high"></picture><div class="image-link-expand"><div class="pencraft pc-display-flex pc-gap-8 pc-reset"><button tabindex="0" type="button" class="pencraft pc-reset pencraft icon-container restack-image"><svg role="img" width="20" height="20" viewBox="0 0 20 20" fill="none" stroke-width="1.5" stroke="var(--color-fg-primary)" stroke-linecap="round" stroke-linejoin="round" xmlns="http://www.w3.org/2000/svg"><g><title></title><path d="M2.53001 7.81595C3.49179 4.73911 6.43281 2.5 9.91173 2.5C13.1684 2.5 15.9537 4.46214 17.0852 7.23684L17.6179 8.67647M17.6179 8.67647L18.5002 4.26471M17.6179 8.67647L13.6473 6.91176M17.4995 12.1841C16.5378 15.2609 13.5967 17.5 10.1178 17.5C6.86118 17.5 4.07589 15.5379 2.94432 12.7632L2.41165 11.3235M2.41165 11.3235L1.5293 15.7353M2.41165 11.3235L6.38224 13.0882"></path></g></svg></button><button tabindex="0" type="button" class="pencraft pc-reset pencraft icon-container view-image"><svg xmlns="http://www.w3.org/2000/svg" width="20" height="20" viewBox="0 0 24 24" fill="none" stroke="currentColor" stroke-width="2" stroke-linecap="round" stroke-linejoin="round" class="lucide lucide-maximize2 lucide-maximize-2"><polyline points="15 3 21 3 21 9"></polyline><polyline points="9 21 3 21 3 15"></polyline><line x1="21" x2="14" y1="3" y2="10"></line><line x1="3" x2="10" y1="21" y2="14"></line></svg></button></div></div></div></a></figure></div><p>&#128218; Browse <strong><a href="https://rohanpaul.substack.com/s/ml-interview-series/archive?sort=new">the full ML Interview series here</a></strong>.</p><h2><strong>Central Limit Theorem: Explain the Central Limit Theorem and why it is important in machine learning. For example, if you take the average of 100 independent random variables, how does the distribution of that average relate to the distribution of the individual variables, and how can this be useful in practice?</strong></h2><p class="button-wrapper" data-attrs="{&quot;url&quot;:&quot;https://x.com/rohanpaul_ai&quot;,&quot;text&quot;:&quot;Connect with me on X (Twitter)&quot;,&quot;action&quot;:null,&quot;class&quot;:&quot;button-wrapper&quot;}" data-component-name="ButtonCreateButton"><a class="button primary button-wrapper" href="https://x.com/rohanpaul_ai"><span>Connect with me on X (Twitter)</span></a></p><p>Understanding the core idea of the Central Limit Theorem (CLT) and its importance in machine learning hinges on grasping how the distribution of sums or averages of independent random variables behaves, especially as the sample size grows. It is one of the most important results in probability theory and underpins a great deal of inferential statistics and confidence-estimation techniques commonly applied in machine learning workflows.</p><p>The theorem states that if you have a set of independent and identically distributed (i.i.d.) random variables with a given mean and variance, then as you increase the number of these random variables that you sum (or take the average of), the resulting distribution of that sum (or average) approaches a normal distribution. This is true regardless of the original distribution, provided the original distribution has finite mean and variance.</p><p>Why this matters in machine learning is that many practical tasks rely on averaging, aggregating, or drawing inferences from data samples. Even if individual data points come from unknown or non-normal distributions, the sample mean often ends up having an approximately normal shape once you have a sufficiently large sample size. This gives machine learning practitioners a stable foundation for constructing confidence intervals, hypothesis tests, and for understanding how errors or estimates may be distributed.</p><p>Use cases in practice often involve model evaluation and error estimation: for example, if one calculates the average error across multiple batches, the CLT helps justify why standard error bars around that mean error might be modeled using normal distributions.</p><p>Relation of the distribution of an average of 100 i.i.d. variables to the distribution of individual variables can be summarized as follows: even if the original variables have a strongly skewed or heavy-tailed distribution (provided it has finite mean and variance), the distribution of their sample mean converges to a normal distribution as the sample size increases. With 100 independent samples, the approximation might already be decently close to normal, depending on the shape of the original distribution.</p><p>Detailed explanation of the core concept can be understood through a simple mathematical expression for the sum or mean of i.i.d. random variables, although we will only present it in a minimal form here for clarity:</p><div class="captioned-image-container"><figure><a class="image-link image2" target="_blank" href="https://substackcdn.com/image/fetch/$s_!0U1X!,f_auto,q_auto:good,fl_progressive:steep/https%3A%2F%2Fsubstack-post-media.s3.amazonaws.com%2Fpublic%2Fimages%2F4fde6ac9-2901-4fad-a914-ac7234a81bec_437x222.png" data-component-name="Image2ToDOM"><div class="image2-inset"><picture><source type="image/webp" srcset="https://substackcdn.com/image/fetch/$s_!0U1X!,w_424,c_limit,f_webp,q_auto:good,fl_progressive:steep/https%3A%2F%2Fsubstack-post-media.s3.amazonaws.com%2Fpublic%2Fimages%2F4fde6ac9-2901-4fad-a914-ac7234a81bec_437x222.png 424w, https://substackcdn.com/image/fetch/$s_!0U1X!,w_848,c_limit,f_webp,q_auto:good,fl_progressive:steep/https%3A%2F%2Fsubstack-post-media.s3.amazonaws.com%2Fpublic%2Fimages%2F4fde6ac9-2901-4fad-a914-ac7234a81bec_437x222.png 848w, https://substackcdn.com/image/fetch/$s_!0U1X!,w_1272,c_limit,f_webp,q_auto:good,fl_progressive:steep/https%3A%2F%2Fsubstack-post-media.s3.amazonaws.com%2Fpublic%2Fimages%2F4fde6ac9-2901-4fad-a914-ac7234a81bec_437x222.png 1272w, https://substackcdn.com/image/fetch/$s_!0U1X!,w_1456,c_limit,f_webp,q_auto:good,fl_progressive:steep/https%3A%2F%2Fsubstack-post-media.s3.amazonaws.com%2Fpublic%2Fimages%2F4fde6ac9-2901-4fad-a914-ac7234a81bec_437x222.png 1456w" sizes="100vw"><img src="https://substackcdn.com/image/fetch/$s_!0U1X!,w_1456,c_limit,f_auto,q_auto:good,fl_progressive:steep/https%3A%2F%2Fsubstack-post-media.s3.amazonaws.com%2Fpublic%2Fimages%2F4fde6ac9-2901-4fad-a914-ac7234a81bec_437x222.png" width="437" height="222" data-attrs="{&quot;src&quot;:&quot;https://substack-post-media.s3.amazonaws.com/public/images/4fde6ac9-2901-4fad-a914-ac7234a81bec_437x222.png&quot;,&quot;srcNoWatermark&quot;:null,&quot;fullscreen&quot;:null,&quot;imageSize&quot;:null,&quot;height&quot;:222,&quot;width&quot;:437,&quot;resizeWidth&quot;:null,&quot;bytes&quot;:10042,&quot;alt&quot;:null,&quot;title&quot;:null,&quot;type&quot;:&quot;image/png&quot;,&quot;href&quot;:null,&quot;belowTheFold&quot;:true,&quot;topImage&quot;:false,&quot;internalRedirect&quot;:&quot;https://www.rohan-paul.com/i/165775492?img=https%3A%2F%2Fsubstack-post-media.s3.amazonaws.com%2Fpublic%2Fimages%2F4fde6ac9-2901-4fad-a914-ac7234a81bec_437x222.png&quot;,&quot;isProcessing&quot;:false,&quot;align&quot;:null,&quot;offset&quot;:false}" class="sizing-normal" alt="" srcset="https://substackcdn.com/image/fetch/$s_!0U1X!,w_424,c_limit,f_auto,q_auto:good,fl_progressive:steep/https%3A%2F%2Fsubstack-post-media.s3.amazonaws.com%2Fpublic%2Fimages%2F4fde6ac9-2901-4fad-a914-ac7234a81bec_437x222.png 424w, https://substackcdn.com/image/fetch/$s_!0U1X!,w_848,c_limit,f_auto,q_auto:good,fl_progressive:steep/https%3A%2F%2Fsubstack-post-media.s3.amazonaws.com%2Fpublic%2Fimages%2F4fde6ac9-2901-4fad-a914-ac7234a81bec_437x222.png 848w, https://substackcdn.com/image/fetch/$s_!0U1X!,w_1272,c_limit,f_auto,q_auto:good,fl_progressive:steep/https%3A%2F%2Fsubstack-post-media.s3.amazonaws.com%2Fpublic%2Fimages%2F4fde6ac9-2901-4fad-a914-ac7234a81bec_437x222.png 1272w, https://substackcdn.com/image/fetch/$s_!0U1X!,w_1456,c_limit,f_auto,q_auto:good,fl_progressive:steep/https%3A%2F%2Fsubstack-post-media.s3.amazonaws.com%2Fpublic%2Fimages%2F4fde6ac9-2901-4fad-a914-ac7234a81bec_437x222.png 1456w" sizes="100vw" loading="lazy"></picture><div></div></div></a></figure></div><p>where each (X_i) is an i.i.d. random variable with mean (\mu) and variance (\sigma^2). The Central Limit Theorem states that if (n) is large, then:</p><div class="captioned-image-container"><figure><a class="image-link image2" target="_blank" href="https://substackcdn.com/image/fetch/$s_!dxlE!,f_auto,q_auto:good,fl_progressive:steep/https%3A%2F%2Fsubstack-post-media.s3.amazonaws.com%2Fpublic%2Fimages%2F22ab50bf-5d29-4e0a-b4f6-2caf81a41836_493x184.png" data-component-name="Image2ToDOM"><div class="image2-inset"><picture><source type="image/webp" srcset="https://substackcdn.com/image/fetch/$s_!dxlE!,w_424,c_limit,f_webp,q_auto:good,fl_progressive:steep/https%3A%2F%2Fsubstack-post-media.s3.amazonaws.com%2Fpublic%2Fimages%2F22ab50bf-5d29-4e0a-b4f6-2caf81a41836_493x184.png 424w, https://substackcdn.com/image/fetch/$s_!dxlE!,w_848,c_limit,f_webp,q_auto:good,fl_progressive:steep/https%3A%2F%2Fsubstack-post-media.s3.amazonaws.com%2Fpublic%2Fimages%2F22ab50bf-5d29-4e0a-b4f6-2caf81a41836_493x184.png 848w, https://substackcdn.com/image/fetch/$s_!dxlE!,w_1272,c_limit,f_webp,q_auto:good,fl_progressive:steep/https%3A%2F%2Fsubstack-post-media.s3.amazonaws.com%2Fpublic%2Fimages%2F22ab50bf-5d29-4e0a-b4f6-2caf81a41836_493x184.png 1272w, https://substackcdn.com/image/fetch/$s_!dxlE!,w_1456,c_limit,f_webp,q_auto:good,fl_progressive:steep/https%3A%2F%2Fsubstack-post-media.s3.amazonaws.com%2Fpublic%2Fimages%2F22ab50bf-5d29-4e0a-b4f6-2caf81a41836_493x184.png 1456w" sizes="100vw"><img src="https://substackcdn.com/image/fetch/$s_!dxlE!,w_1456,c_limit,f_auto,q_auto:good,fl_progressive:steep/https%3A%2F%2Fsubstack-post-media.s3.amazonaws.com%2Fpublic%2Fimages%2F22ab50bf-5d29-4e0a-b4f6-2caf81a41836_493x184.png" width="493" height="184" data-attrs="{&quot;src&quot;:&quot;https://substack-post-media.s3.amazonaws.com/public/images/22ab50bf-5d29-4e0a-b4f6-2caf81a41836_493x184.png&quot;,&quot;srcNoWatermark&quot;:null,&quot;fullscreen&quot;:null,&quot;imageSize&quot;:null,&quot;height&quot;:184,&quot;width&quot;:493,&quot;resizeWidth&quot;:null,&quot;bytes&quot;:13495,&quot;alt&quot;:null,&quot;title&quot;:null,&quot;type&quot;:&quot;image/png&quot;,&quot;href&quot;:null,&quot;belowTheFold&quot;:true,&quot;topImage&quot;:false,&quot;internalRedirect&quot;:&quot;https://www.rohan-paul.com/i/165775492?img=https%3A%2F%2Fsubstack-post-media.s3.amazonaws.com%2Fpublic%2Fimages%2F22ab50bf-5d29-4e0a-b4f6-2caf81a41836_493x184.png&quot;,&quot;isProcessing&quot;:false,&quot;align&quot;:null,&quot;offset&quot;:false}" class="sizing-normal" alt="" srcset="https://substackcdn.com/image/fetch/$s_!dxlE!,w_424,c_limit,f_auto,q_auto:good,fl_progressive:steep/https%3A%2F%2Fsubstack-post-media.s3.amazonaws.com%2Fpublic%2Fimages%2F22ab50bf-5d29-4e0a-b4f6-2caf81a41836_493x184.png 424w, https://substackcdn.com/image/fetch/$s_!dxlE!,w_848,c_limit,f_auto,q_auto:good,fl_progressive:steep/https%3A%2F%2Fsubstack-post-media.s3.amazonaws.com%2Fpublic%2Fimages%2F22ab50bf-5d29-4e0a-b4f6-2caf81a41836_493x184.png 848w, https://substackcdn.com/image/fetch/$s_!dxlE!,w_1272,c_limit,f_auto,q_auto:good,fl_progressive:steep/https%3A%2F%2Fsubstack-post-media.s3.amazonaws.com%2Fpublic%2Fimages%2F22ab50bf-5d29-4e0a-b4f6-2caf81a41836_493x184.png 1272w, https://substackcdn.com/image/fetch/$s_!dxlE!,w_1456,c_limit,f_auto,q_auto:good,fl_progressive:steep/https%3A%2F%2Fsubstack-post-media.s3.amazonaws.com%2Fpublic%2Fimages%2F22ab50bf-5d29-4e0a-b4f6-2caf81a41836_493x184.png 1456w" sizes="100vw" loading="lazy"></picture><div></div></div></a></figure></div><p>In other words, (\bar{X}_n) is approximately normally distributed with mean (\mu) and variance (\sigma^2 / n). When used in practice, this implies:</p><ul><li><p>The distribution of (\bar{X}_n) is much more &#8220;bell-shaped&#8221; and concentrated around the true mean (\mu) compared to the distribution of any single one of the (X_i).</p></li><li><p>Standard error of the mean (which is proportional to (\sigma / \sqrt{n})) shrinks as (n) grows.</p></li></ul><p>In a machine learning context, whether you are estimating a validation accuracy, a mean squared error across multiple runs, or constructing confidence intervals for your model&#8217;s performance, the CLT gives a theoretical basis that the average of many observations is approximately normal. This simplifies both computation and interpretation of confidence intervals (like using Z-scores or t-distributions for smaller (n)).</p><p>Practical example in code might look like this:</p><pre><code><code>import numpy as np
import matplotlib.pyplot as plt

# Generate a non-normal distribution, e.g., exponential
np.random.seed(42)
num_samples = 100000
x = np.random.exponential(scale=1.0, size=num_samples)

# Now compute the average of smaller chunks (groups of size 100)
chunk_size = 100
chunks = num_samples // chunk_size
averages = []
for i in range(chunks):
    sample_chunk = x[i*chunk_size : (i+1)*chunk_size]
    averages.append(np.mean(sample_chunk))

# Plot histogram of the original distribution vs the distribution of averages
plt.figure(figsize=(12,5))
plt.subplot(1,2,1)
plt.hist(x, bins=50, density=True, alpha=0.7, color='blue')
plt.title("Original Exponential Distribution")

plt.subplot(1,2,2)
plt.hist(averages, bins=50, density=True, alpha=0.7, color='green')
plt.title("Distribution of Averages of 100 samples")

plt.show()
</code></code></pre><p>In the left histogram, you see the heavy right skew of the exponential distribution. In the right histogram, you see that the distribution of the averages of groups of size 100 is visually much closer to a bell shape, illustrating the CLT in practice.</p><p>This result is extremely useful because it holds even when the original distribution is unknown, as long as the fundamental conditions (like independence and finite mean/variance) are satisfied. Moreover, it provides a simpler way to characterize the distribution of an estimator&#8217;s mean or total sum. It is the theoretical underpinning for many common statistical procedures that machine learning practitioners rely on for diagnosing model performance, constructing intervals for uncertainty, and more.</p><div class="subscription-widget-wrap-editor" data-attrs="{&quot;url&quot;:&quot;https://www.rohan-paul.com/subscribe?&quot;,&quot;text&quot;:&quot;Subscribe&quot;,&quot;language&quot;:&quot;en&quot;}" data-component-name="SubscribeWidgetToDOM"><div class="subscription-widget show-subscribe"><div class="preamble"><p class="cta-caption">I write everyday for my readers on actionable AI. Subscribe and instantly get a 1300+ page Python book.</p></div><form class="subscription-widget-subscribe"><input type="email" class="email-input" name="email" placeholder="Type your email&#8230;" tabindex="-1"><input type="submit" class="button primary" value="Subscribe"><div class="fake-input-wrapper"><div class="fake-input"></div><div class="fake-button"></div></div></form></div></div><h2><strong>What are some common pitfalls or subtlety to watch out for?</strong></h2><p>One of the key assumptions is that the random variables must be at least approximately independent and identically distributed and have finite variance. If there is significant correlation or the variance is infinite, the CLT in its simplest form may fail to apply or might give misleading results. In real-world scenarios, data can sometimes be correlated (like time series data in machine learning problems). Variants and extensions of the theorem for dependent data do exist (for example, the mixing conditions used in time-series analysis), but one must be careful.</p><p>Another subtlety involves the rate of convergence. For distributions that are heavy-tailed or heavily skewed, you might need a large (n) to get a good approximation. A typical &#8220;rule of thumb&#8221; is that you need 30 or more samples to start seeing a shape that&#8217;s &#8220;normal enough,&#8221; but that depends heavily on the underlying distribution.</p><h2><strong>How is it useful in practice?</strong></h2><p>It is fundamental to forming confidence intervals in many real scenarios. For example, when we estimate a model&#8217;s accuracy by sampling multiple datasets or by doing cross-validation, we often compute the mean accuracy across folds and then place confidence intervals around that mean. We rely on the assumption that this mean follows a normal distribution for large (n), letting us say things like &#8220;the 95% confidence interval is the sample mean &#177; 1.96 times the standard error.&#8221; This is a direct application of the CLT.</p><p>It also appears in the context of gradient estimates in stochastic gradient descent. Although not always framed explicitly in terms of the CLT, the principle that averages of independent gradient estimates approximate the true gradient in a normal-like manner is highly relevant in analyzing the variance of gradient-based optimization steps.</p><h2><strong>Common Interview Follow-up Questions</strong></h2><h3><strong>What if the random variables are not independent or not identically distributed?</strong></h3><p>One must recall that the standard (classical) Central Limit Theorem assumes i.i.d. data. There are variations, such as the Lindeberg, Lyapunov, or other generalized central limit theorems, that relax the requirements slightly. In a machine learning setting, data can be correlated in time (like a time series) or space (like images in a video). When these correlations are strong, the naive CLT might break down or converge more slowly, and you&#8217;d need to apply a version of the CLT that accounts for dependencies. Many real-world processes have short-range dependencies or &#8220;weak dependence,&#8221; and those processes still have versions of the CLT that apply under certain mixing conditions. However, for a highly structured correlation (like some complicated dynamic system), the normal approximation could be inaccurate.</p><h3><strong>How does the distribution of the sum (as opposed to the mean) behave under the Central Limit Theorem?</strong></h3><p>The difference between the sum and the mean is just a factor of (1/n). For large (n), summing (n) i.i.d. random variables produces a distribution whose mean is (n\mu) and variance (n\sigma^2). By normalizing that sum by (n), you get the average, which has mean (\mu) and variance (\sigma^2/n). Both the sum and the mean, after a suitable normalization (subtracting the mean and dividing by standard deviation), tend to a standard normal distribution. This is precisely why many statements of the CLT focus on the sum (\sum X_i), then extend it to the average (\bar{X}_n).</p><h3><strong>Why do we typically assume independence in the CLT, and is it an absolute must?</strong></h3><p>Independence is one of the simplest ways to ensure that the variables do not carry overlapping information that might break or slow down the convergence to normality. If variables are correlated, the effective sample size might be smaller than (n), and more complicated assumptions are required to ensure you still get a normal approximation. Weak correlation can sometimes be handled, but strong correlation across variables means you might need a different theoretical tool or a different version of the CLT that allows for correlated data. In practice, many large datasets behave &#8220;as if&#8221; samples are nearly independent, especially if the sampling is done randomly across a diverse population. But it is crucial in time-series or spatial data to check how strong those correlations are.</p><h3><strong>How does the CLT apply to practical model evaluation in machine learning?</strong></h3><p>In evaluating models, people often run repeated experiments or perform cross-validation to get an aggregate performance metric (like average accuracy or average loss). Due to the CLT, these averages typically end up looking approximately normal. This lets you place standard confidence intervals around an accuracy estimate or around a difference in performance between two models. Even though the underlying distribution of each individual accuracy measurement might not be normal (accuracy is often bounded between 0 and 1, and each experiment might be subject to different random seeds, slight data variations, etc.), the average of a large enough set of experiments tends to a normal shape. That normal approximation becomes the basis for t-tests, Z-tests, or constructing simpler standard error bars on your model accuracy chart.</p><h3><strong>What if the underlying distribution has infinite variance?</strong></h3><p>A crucial requirement for the classical CLT is that each (X_i) has finite variance. If the variance is infinite, such as with certain heavy-tailed distributions (for instance, some stable distributions like L&#233;vy or Pareto distributions in certain parameter regimes), the CLT in its usual form does not hold. In such cases, the sum or average may follow a stable law that does not converge to a Gaussian, and standard methods relying on the normal approximation may fail badly. In ML tasks where data can have heavy tails (e.g., extremely large but rare outliers in real-world data), you must ensure that you either mitigate the outliers or use robust techniques that do not rely purely on the classical CLT assumption.</p><h3><strong>How do we estimate how many samples we need for a &#8220;good&#8221; normal approximation via the CLT?</strong></h3><p>There is no universal fixed rule. Some rule-of-thumb guidelines say 30 to 50 samples is enough to see the bell shape emerging if the underlying distribution is not too skewed or heavy-tailed. But in practice, you judge convergence by visually inspecting histograms or applying normality tests (like the Shapiro-Wilk test) on your sample averages. If your data distribution is extremely skewed or has heavy tails, you might need hundreds or thousands of samples before the mean distribution looks Gaussian. In the context of big data scenarios in machine learning, once you have a large dataset or many repeated experiments, the mean&#8217;s distribution often reliably appears normal.</p><h3><strong>How do we incorporate the CLT into hyperparameter tuning or cross-validation setups?</strong></h3><p>When performing cross-validation for hyperparameter tuning, you might measure the performance (like validation loss or accuracy) across multiple folds. Each fold represents a random subset of the data. By collecting the mean performance across those folds, you can approximate how well the hyperparameter setting performs on average. Thanks to the CLT, you can treat that average as approximately normal, which lets you compute confidence intervals or do significance tests between different hyperparameter choices. Although the independence assumption can be fuzzy&#8212;folds may partially overlap&#8212;the approximation is frequently good enough to guide practical decisions in ML development pipelines.</p><h3><strong>How does the CLT relate to the Law of Large Numbers (LLN)?</strong></h3><p>The Law of Large Numbers (LLN) states that (\bar{X}_n) converges to the true mean (\mu) almost surely (Strong LLN) or in probability (Weak LLN) as (n \to \infty). That addresses convergence in terms of the value of (\bar{X}_n). The CLT, by contrast, describes the distribution around that mean as (n) grows. The CLT gives a richer view: not only does the sample mean converge to (\mu), but any deviations from (\mu) become normally distributed around (\mu) with variance shrinking like (1/n). Thus, the CLT gives us the rate and shape of convergence, while LLN just says convergence happens but does not specify the shape around (\mu).</p><h3><strong>How can we leverage the CLT for variance reduction in Monte Carlo methods?</strong></h3><p>A direct application of the CLT appears in Monte Carlo simulations, where one estimates an expected value by averaging many random samples. The CLT tells us that each estimate&#8217;s distribution narrows around the true mean as we increase the sample size. It also implies that if we can reduce the variance of each sample (for example, through control variates, importance sampling, or other variance-reduction techniques), then we more quickly arrive at a stable estimate. Being able to say &#8220;the distribution of your average is normal with this variance&#8221; makes it straightforward to place error bars on Monte Carlo estimates, crucial in simulation-based approaches used in certain machine learning tasks and Bayesian inference contexts.</p><h3><strong>How to think about the CLT from a high-level perspective in data science or ML interviews?</strong></h3><p>Often, the key takeaway is that the CLT justifies using normal distributions as a go-to assumption for aggregated statistics, even when the original data is not normal. It is the reason standard test statistics, confidence intervals, p-values, etc., have widespread usage. Understanding the core assumptions (independence, identical distribution, finite mean/variance) and their pitfalls in real-world scenarios is critical for advanced roles. Engineers who know how to detect violations of these assumptions and adjust or adopt robust methods or alternative theorems (like the Delta Method or generalized CLT variants) are better equipped to handle complex data challenges.</p><h2><strong>Additional Follow-up Questions and Answers in More Depth</strong></h2><h3><strong>Are there special cases where the CLT does not help?</strong></h3><p>If data is fundamentally discrete with only a few possible outcomes (e.g., Bernoulli variables), the CLT still applies, but for very small (n) you might see a distribution that is not at all bell-shaped. For example, the distribution of the sum of Bernoulli(0.5) random variables for small (n) looks binomial, which can be significantly skewed when (n) is not large. As (n) increases, it does become approximately normal. But if you only have tiny sample sizes, referencing the CLT might not give an accurate picture, and you might prefer exact binomial confidence intervals.</p><h3><strong>How does the CLT help in building confidence intervals for model error?</strong></h3><p>Confidence intervals for a model&#8217;s prediction error can be formed if you can assume that your error terms are i.i.d. with finite variance. By sampling your model&#8217;s predictions or by using cross-validation splits, you collect multiple measurements of error. You then compute the mean error and its standard deviation. Because of the CLT, you assume the average error is normally distributed for large sample sizes:</p><div class="captioned-image-container"><figure><a class="image-link image2" target="_blank" href="https://substackcdn.com/image/fetch/$s_!4JW5!,f_auto,q_auto:good,fl_progressive:steep/https%3A%2F%2Fsubstack-post-media.s3.amazonaws.com%2Fpublic%2Fimages%2F96c98526-3d7c-4eae-9ed0-4a07c6bc3846_504x195.png" data-component-name="Image2ToDOM"><div class="image2-inset"><picture><source type="image/webp" srcset="https://substackcdn.com/image/fetch/$s_!4JW5!,w_424,c_limit,f_webp,q_auto:good,fl_progressive:steep/https%3A%2F%2Fsubstack-post-media.s3.amazonaws.com%2Fpublic%2Fimages%2F96c98526-3d7c-4eae-9ed0-4a07c6bc3846_504x195.png 424w, https://substackcdn.com/image/fetch/$s_!4JW5!,w_848,c_limit,f_webp,q_auto:good,fl_progressive:steep/https%3A%2F%2Fsubstack-post-media.s3.amazonaws.com%2Fpublic%2Fimages%2F96c98526-3d7c-4eae-9ed0-4a07c6bc3846_504x195.png 848w, https://substackcdn.com/image/fetch/$s_!4JW5!,w_1272,c_limit,f_webp,q_auto:good,fl_progressive:steep/https%3A%2F%2Fsubstack-post-media.s3.amazonaws.com%2Fpublic%2Fimages%2F96c98526-3d7c-4eae-9ed0-4a07c6bc3846_504x195.png 1272w, https://substackcdn.com/image/fetch/$s_!4JW5!,w_1456,c_limit,f_webp,q_auto:good,fl_progressive:steep/https%3A%2F%2Fsubstack-post-media.s3.amazonaws.com%2Fpublic%2Fimages%2F96c98526-3d7c-4eae-9ed0-4a07c6bc3846_504x195.png 1456w" sizes="100vw"><img src="https://substackcdn.com/image/fetch/$s_!4JW5!,w_1456,c_limit,f_auto,q_auto:good,fl_progressive:steep/https%3A%2F%2Fsubstack-post-media.s3.amazonaws.com%2Fpublic%2Fimages%2F96c98526-3d7c-4eae-9ed0-4a07c6bc3846_504x195.png" width="504" height="195" data-attrs="{&quot;src&quot;:&quot;https://substack-post-media.s3.amazonaws.com/public/images/96c98526-3d7c-4eae-9ed0-4a07c6bc3846_504x195.png&quot;,&quot;srcNoWatermark&quot;:null,&quot;fullscreen&quot;:null,&quot;imageSize&quot;:null,&quot;height&quot;:195,&quot;width&quot;:504,&quot;resizeWidth&quot;:null,&quot;bytes&quot;:14959,&quot;alt&quot;:null,&quot;title&quot;:null,&quot;type&quot;:&quot;image/png&quot;,&quot;href&quot;:null,&quot;belowTheFold&quot;:true,&quot;topImage&quot;:false,&quot;internalRedirect&quot;:&quot;https://www.rohan-paul.com/i/165775492?img=https%3A%2F%2Fsubstack-post-media.s3.amazonaws.com%2Fpublic%2Fimages%2F96c98526-3d7c-4eae-9ed0-4a07c6bc3846_504x195.png&quot;,&quot;isProcessing&quot;:false,&quot;align&quot;:null,&quot;offset&quot;:false}" class="sizing-normal" alt="" srcset="https://substackcdn.com/image/fetch/$s_!4JW5!,w_424,c_limit,f_auto,q_auto:good,fl_progressive:steep/https%3A%2F%2Fsubstack-post-media.s3.amazonaws.com%2Fpublic%2Fimages%2F96c98526-3d7c-4eae-9ed0-4a07c6bc3846_504x195.png 424w, https://substackcdn.com/image/fetch/$s_!4JW5!,w_848,c_limit,f_auto,q_auto:good,fl_progressive:steep/https%3A%2F%2Fsubstack-post-media.s3.amazonaws.com%2Fpublic%2Fimages%2F96c98526-3d7c-4eae-9ed0-4a07c6bc3846_504x195.png 848w, https://substackcdn.com/image/fetch/$s_!4JW5!,w_1272,c_limit,f_auto,q_auto:good,fl_progressive:steep/https%3A%2F%2Fsubstack-post-media.s3.amazonaws.com%2Fpublic%2Fimages%2F96c98526-3d7c-4eae-9ed0-4a07c6bc3846_504x195.png 1272w, https://substackcdn.com/image/fetch/$s_!4JW5!,w_1456,c_limit,f_auto,q_auto:good,fl_progressive:steep/https%3A%2F%2Fsubstack-post-media.s3.amazonaws.com%2Fpublic%2Fimages%2F96c98526-3d7c-4eae-9ed0-4a07c6bc3846_504x195.png 1456w" sizes="100vw" loading="lazy"></picture><div></div></div></a></figure></div><p>Hence, you get:</p><div class="captioned-image-container"><figure><a class="image-link image2" target="_blank" href="https://substackcdn.com/image/fetch/$s_!YkKa!,f_auto,q_auto:good,fl_progressive:steep/https%3A%2F%2Fsubstack-post-media.s3.amazonaws.com%2Fpublic%2Fimages%2F919d4e9b-e548-4778-adb5-ddd26a812c35_408x193.png" data-component-name="Image2ToDOM"><div class="image2-inset"><picture><source type="image/webp" srcset="https://substackcdn.com/image/fetch/$s_!YkKa!,w_424,c_limit,f_webp,q_auto:good,fl_progressive:steep/https%3A%2F%2Fsubstack-post-media.s3.amazonaws.com%2Fpublic%2Fimages%2F919d4e9b-e548-4778-adb5-ddd26a812c35_408x193.png 424w, https://substackcdn.com/image/fetch/$s_!YkKa!,w_848,c_limit,f_webp,q_auto:good,fl_progressive:steep/https%3A%2F%2Fsubstack-post-media.s3.amazonaws.com%2Fpublic%2Fimages%2F919d4e9b-e548-4778-adb5-ddd26a812c35_408x193.png 848w, https://substackcdn.com/image/fetch/$s_!YkKa!,w_1272,c_limit,f_webp,q_auto:good,fl_progressive:steep/https%3A%2F%2Fsubstack-post-media.s3.amazonaws.com%2Fpublic%2Fimages%2F919d4e9b-e548-4778-adb5-ddd26a812c35_408x193.png 1272w, https://substackcdn.com/image/fetch/$s_!YkKa!,w_1456,c_limit,f_webp,q_auto:good,fl_progressive:steep/https%3A%2F%2Fsubstack-post-media.s3.amazonaws.com%2Fpublic%2Fimages%2F919d4e9b-e548-4778-adb5-ddd26a812c35_408x193.png 1456w" sizes="100vw"><img src="https://substackcdn.com/image/fetch/$s_!YkKa!,w_1456,c_limit,f_auto,q_auto:good,fl_progressive:steep/https%3A%2F%2Fsubstack-post-media.s3.amazonaws.com%2Fpublic%2Fimages%2F919d4e9b-e548-4778-adb5-ddd26a812c35_408x193.png" width="408" height="193" data-attrs="{&quot;src&quot;:&quot;https://substack-post-media.s3.amazonaws.com/public/images/919d4e9b-e548-4778-adb5-ddd26a812c35_408x193.png&quot;,&quot;srcNoWatermark&quot;:null,&quot;fullscreen&quot;:null,&quot;imageSize&quot;:null,&quot;height&quot;:193,&quot;width&quot;:408,&quot;resizeWidth&quot;:null,&quot;bytes&quot;:9946,&quot;alt&quot;:null,&quot;title&quot;:null,&quot;type&quot;:&quot;image/png&quot;,&quot;href&quot;:null,&quot;belowTheFold&quot;:true,&quot;topImage&quot;:false,&quot;internalRedirect&quot;:&quot;https://www.rohan-paul.com/i/165775492?img=https%3A%2F%2Fsubstack-post-media.s3.amazonaws.com%2Fpublic%2Fimages%2F919d4e9b-e548-4778-adb5-ddd26a812c35_408x193.png&quot;,&quot;isProcessing&quot;:false,&quot;align&quot;:null,&quot;offset&quot;:false}" class="sizing-normal" alt="" srcset="https://substackcdn.com/image/fetch/$s_!YkKa!,w_424,c_limit,f_auto,q_auto:good,fl_progressive:steep/https%3A%2F%2Fsubstack-post-media.s3.amazonaws.com%2Fpublic%2Fimages%2F919d4e9b-e548-4778-adb5-ddd26a812c35_408x193.png 424w, https://substackcdn.com/image/fetch/$s_!YkKa!,w_848,c_limit,f_auto,q_auto:good,fl_progressive:steep/https%3A%2F%2Fsubstack-post-media.s3.amazonaws.com%2Fpublic%2Fimages%2F919d4e9b-e548-4778-adb5-ddd26a812c35_408x193.png 848w, https://substackcdn.com/image/fetch/$s_!YkKa!,w_1272,c_limit,f_auto,q_auto:good,fl_progressive:steep/https%3A%2F%2Fsubstack-post-media.s3.amazonaws.com%2Fpublic%2Fimages%2F919d4e9b-e548-4778-adb5-ddd26a812c35_408x193.png 1272w, https://substackcdn.com/image/fetch/$s_!YkKa!,w_1456,c_limit,f_auto,q_auto:good,fl_progressive:steep/https%3A%2F%2Fsubstack-post-media.s3.amazonaws.com%2Fpublic%2Fimages%2F919d4e9b-e548-4778-adb5-ddd26a812c35_408x193.png 1456w" sizes="100vw" loading="lazy"></picture><div></div></div></a></figure></div><p>where (z_{\alpha/2}) is the critical value (for a 95% confidence interval, (z_{0.025} \approx 1.96)). This is a direct and common usage in ML for explaining how certain you are about your performance metric.</p><h3><strong>How do we handle small-sample scenarios if we still want to use normal approximations?</strong></h3><p>For small (n), the t-distribution is often used instead of the Z-distribution. The t-distribution is a heavier-tailed distribution that better accounts for the additional uncertainty you have in your estimate of (\sigma). The t-distribution converges to the standard normal distribution as (n) gets larger, which also aligns with the CLT perspective that with sufficient data, your mean is well-approximated by a normal distribution.</p><h3><strong>Why is the Central Limit Theorem so frequently mentioned in Data Science and Machine Learning interviews?</strong></h3><p>Because it is foundational for understanding why &#8220;averages&#8221; often show normal-like behavior in real-world data scenarios. It is also fundamental to core statistical tasks such as computing confidence intervals, hypothesis testing, and error bars for model metrics. In addition, advanced topics like approximate Bayesian computation or large-scale MCMC can rely on the normal approximation of aggregates or means. Knowing when it applies, when it fails, and how to adapt is viewed as a litmus test for a candidate&#8217;s depth in machine learning and statistics.</p><h3><strong>How would you quickly explain the CLT to someone with minimal background?</strong></h3><p>You could say: &#8220;If you keep taking averages of random draws from the same source, the result of those averages will follow a bell-shaped curve, no matter what the initial shape of the source distribution was, provided the source has a finite average and variance. The more draws you average, the tighter that bell gets around the true average.&#8221; In a job interview, elaborating on i.i.d. assumptions and acknowledging real-world complexities is essential to demonstrate practical awareness.</p><h3><strong>Are there any robust checks we can run to see if the CLT-based assumptions in our ML experiments are valid?</strong></h3><p>One might generate a Q-Q plot (quantile-quantile plot) of your sample means or errors against a theoretical normal distribution. If the points lie roughly on a straight line, it suggests the distribution is close to normal. Another check is to use normality tests, though they can sometimes be sensitive to large sample sizes (they might detect &#8220;tiny&#8221; deviations from normal that are not practically relevant). Overall, visual inspection plus domain knowledge about your data&#8217;s correlation structures, outliers, or distribution shape can guide you as to whether the CLT is being applied appropriately.</p><h3><strong>How can knowledge of the CLT help with interpretability of ensemble methods in ML?</strong></h3><p>In ensemble learning, you combine predictions from multiple base models. If you see that each base model&#8217;s prediction is an i.i.d. random variable (not strictly i.i.d., but often we assume they are &#8220;fairly independent&#8221; in some sense), then the CLT might suggest that the average prediction across these models is more stable (less variant) and might exhibit approximately normal fluctuations around the true target. This perspective can help in analyzing and understanding why ensemble methods often yield better and more stable performance than individual models. It also supports building confidence bands around ensemble predictions in certain conditions.</p><p>When the ensemble models are highly correlated, the effective independence is decreased, so you get less variance reduction from averaging than the CLT&#8217;s naive form might suggest. That ties back into the importance of independent assumptions in the CLT.</p><h3><strong>How do we explain the &#8220;speed&#8221; of convergence to a normal distribution in the CLT?</strong></h3><p>This is related to Berry-Esseen bounds and other refined theorems that quantify how quickly the distribution of (\bar{X}_n) converges to a normal distribution. They provide bounds on the difference between the actual distribution and the limiting normal distribution, usually in terms of the third central moment (skewness) of the underlying distribution. The simpler version is that the rate of convergence is on the order of (1/\sqrt{n}). Practitioners typically do not compute these exact bounds in day-to-day ML, but it is good to be aware that if the distribution is extremely skewed, you might need a larger (n) to achieve the same &#8220;closeness to normal.&#8221;</p><h3><strong>Why does the CLT not require that the random variables come from a normal distribution themselves?</strong></h3><p>This is precisely the remarkable aspect of the CLT: it demonstrates a form of universality. The distribution can be exponential, binomial, Bernoulli, uniform, or any other distribution with finite variance, yet the sample mean eventually yields a bell-curve shape when (n) becomes large. This universality is a profound insight&#8212;why so many real-world phenomena lead to normal-like distributions (e.g., sums of many small independent effects). In machine learning, data often arises from highly complex or unknown distributions, but this theorem suggests we can often rely on normal-based approximations for aggregated statistics.</p><h3><strong>Could you give an intuitive explanation for the &#8220;why&#8221; behind the CLT?</strong></h3><p>An intuitive explanation is to think about how each random draw adds small &#8220;random shocks&#8221; to the total sum. If these shocks are independent, then sometimes you get a positive &#8220;push,&#8221; sometimes negative, and these increments tend to cancel each other out over large numbers. Once you have many such increments, the distribution of their sum (or average) is dominated not by the peculiarities of one shock but by the collective effect. The math of the CLT shows that this collective effect leads to a Gaussian pattern, because the Gaussian distribution is the fixed point under repeated convolution of distributions with finite variance. This also connects to the idea that the Gaussian is the &#8220;maximum entropy distribution&#8221; for a given mean and variance, which is a related but slightly different perspective from the classical CLT statement.</p><h3><strong>When do I need to be cautious applying the CLT in ML contexts?</strong></h3><p>Any time your data is not i.i.d., or you suspect infinite-variance phenomena (e.g., extremely heavy-tailed distributions), or you only have a small sample size. If your sample size is small, you can&#8217;t rely heavily on the normal approximation (though you can pivot to t-distributions if the data is still reasonably well-behaved). If your data is heavily correlated, you may be effectively averaging fewer &#8220;independent&#8221; pieces of information than you think. Also, if you have intense outliers that might distort the sample mean, the variance might not be well-defined (or be inflated by outliers). In such scenarios, robust statistics or transformations might help bring the data to a form more amenable to the CLT assumptions.</p><h2><strong>Summary of Why the CLT is Important in Machine Learning</strong></h2><p>It is a cornerstone of inferential statistics, enabling normal approximations for means of random variables even if each variable is drawn from a non-normal distribution. Machine learning often involves computing performance metrics by averaging errors or accuracies, or combining gradient estimates. The CLT provides the theoretical basis for constructing error bars, confidence intervals, and for understanding the stability of ensemble methods. Despite its simple statement, it is foundational for the rigorous application of many statistical and analytical tools in the ML pipeline, from experiment design and result interpretation to advanced ensemble methods and large-scale simulations.</p><h2><strong>Additional Practical Example: Confidence Intervals in Validation Metrics</strong></h2><p>One direct application is in building confidence intervals for a classification accuracy metric. Suppose you have performed multiple runs of a model on slightly different train-validation splits. Let (X_1, X_2, \dots, X_n) be the observed accuracies. If each run is an approximately independent draw from the same distribution of possible model performance (which is a bit idealized, but let&#8217;s assume so for simplicity), you can apply:</p><div class="captioned-image-container"><figure><a class="image-link image2" target="_blank" href="https://substackcdn.com/image/fetch/$s_!WKQt!,f_auto,q_auto:good,fl_progressive:steep/https%3A%2F%2Fsubstack-post-media.s3.amazonaws.com%2Fpublic%2Fimages%2F5481a664-0c0d-478b-8b16-2f07711c66eb_1083x237.png" data-component-name="Image2ToDOM"><div class="image2-inset"><picture><source type="image/webp" srcset="https://substackcdn.com/image/fetch/$s_!WKQt!,w_424,c_limit,f_webp,q_auto:good,fl_progressive:steep/https%3A%2F%2Fsubstack-post-media.s3.amazonaws.com%2Fpublic%2Fimages%2F5481a664-0c0d-478b-8b16-2f07711c66eb_1083x237.png 424w, https://substackcdn.com/image/fetch/$s_!WKQt!,w_848,c_limit,f_webp,q_auto:good,fl_progressive:steep/https%3A%2F%2Fsubstack-post-media.s3.amazonaws.com%2Fpublic%2Fimages%2F5481a664-0c0d-478b-8b16-2f07711c66eb_1083x237.png 848w, https://substackcdn.com/image/fetch/$s_!WKQt!,w_1272,c_limit,f_webp,q_auto:good,fl_progressive:steep/https%3A%2F%2Fsubstack-post-media.s3.amazonaws.com%2Fpublic%2Fimages%2F5481a664-0c0d-478b-8b16-2f07711c66eb_1083x237.png 1272w, https://substackcdn.com/image/fetch/$s_!WKQt!,w_1456,c_limit,f_webp,q_auto:good,fl_progressive:steep/https%3A%2F%2Fsubstack-post-media.s3.amazonaws.com%2Fpublic%2Fimages%2F5481a664-0c0d-478b-8b16-2f07711c66eb_1083x237.png 1456w" sizes="100vw"><img src="https://substackcdn.com/image/fetch/$s_!WKQt!,w_1456,c_limit,f_auto,q_auto:good,fl_progressive:steep/https%3A%2F%2Fsubstack-post-media.s3.amazonaws.com%2Fpublic%2Fimages%2F5481a664-0c0d-478b-8b16-2f07711c66eb_1083x237.png" width="1083" height="237" data-attrs="{&quot;src&quot;:&quot;https://substack-post-media.s3.amazonaws.com/public/images/5481a664-0c0d-478b-8b16-2f07711c66eb_1083x237.png&quot;,&quot;srcNoWatermark&quot;:null,&quot;fullscreen&quot;:null,&quot;imageSize&quot;:null,&quot;height&quot;:237,&quot;width&quot;:1083,&quot;resizeWidth&quot;:null,&quot;bytes&quot;:21336,&quot;alt&quot;:null,&quot;title&quot;:null,&quot;type&quot;:&quot;image/png&quot;,&quot;href&quot;:null,&quot;belowTheFold&quot;:true,&quot;topImage&quot;:false,&quot;internalRedirect&quot;:&quot;https://www.rohan-paul.com/i/165775492?img=https%3A%2F%2Fsubstack-post-media.s3.amazonaws.com%2Fpublic%2Fimages%2F5481a664-0c0d-478b-8b16-2f07711c66eb_1083x237.png&quot;,&quot;isProcessing&quot;:false,&quot;align&quot;:null,&quot;offset&quot;:false}" class="sizing-normal" alt="" srcset="https://substackcdn.com/image/fetch/$s_!WKQt!,w_424,c_limit,f_auto,q_auto:good,fl_progressive:steep/https%3A%2F%2Fsubstack-post-media.s3.amazonaws.com%2Fpublic%2Fimages%2F5481a664-0c0d-478b-8b16-2f07711c66eb_1083x237.png 424w, https://substackcdn.com/image/fetch/$s_!WKQt!,w_848,c_limit,f_auto,q_auto:good,fl_progressive:steep/https%3A%2F%2Fsubstack-post-media.s3.amazonaws.com%2Fpublic%2Fimages%2F5481a664-0c0d-478b-8b16-2f07711c66eb_1083x237.png 848w, https://substackcdn.com/image/fetch/$s_!WKQt!,w_1272,c_limit,f_auto,q_auto:good,fl_progressive:steep/https%3A%2F%2Fsubstack-post-media.s3.amazonaws.com%2Fpublic%2Fimages%2F5481a664-0c0d-478b-8b16-2f07711c66eb_1083x237.png 1272w, https://substackcdn.com/image/fetch/$s_!WKQt!,w_1456,c_limit,f_auto,q_auto:good,fl_progressive:steep/https%3A%2F%2Fsubstack-post-media.s3.amazonaws.com%2Fpublic%2Fimages%2F5481a664-0c0d-478b-8b16-2f07711c66eb_1083x237.png 1456w" sizes="100vw" loading="lazy"></picture><div></div></div></a></figure></div><p>The standard error of the mean is approximately (s / \sqrt{n}). By the CLT, (\bar{X}) is approximately normal, so a 95% confidence interval for your model&#8217;s average accuracy is:</p><div class="captioned-image-container"><figure><a class="image-link image2" target="_blank" href="https://substackcdn.com/image/fetch/$s_!Dp3R!,f_auto,q_auto:good,fl_progressive:steep/https%3A%2F%2Fsubstack-post-media.s3.amazonaws.com%2Fpublic%2Fimages%2Fb1c843a1-c80f-4333-9c7b-ec2d4d32fb1c_395x188.png" data-component-name="Image2ToDOM"><div class="image2-inset"><picture><source type="image/webp" srcset="https://substackcdn.com/image/fetch/$s_!Dp3R!,w_424,c_limit,f_webp,q_auto:good,fl_progressive:steep/https%3A%2F%2Fsubstack-post-media.s3.amazonaws.com%2Fpublic%2Fimages%2Fb1c843a1-c80f-4333-9c7b-ec2d4d32fb1c_395x188.png 424w, https://substackcdn.com/image/fetch/$s_!Dp3R!,w_848,c_limit,f_webp,q_auto:good,fl_progressive:steep/https%3A%2F%2Fsubstack-post-media.s3.amazonaws.com%2Fpublic%2Fimages%2Fb1c843a1-c80f-4333-9c7b-ec2d4d32fb1c_395x188.png 848w, https://substackcdn.com/image/fetch/$s_!Dp3R!,w_1272,c_limit,f_webp,q_auto:good,fl_progressive:steep/https%3A%2F%2Fsubstack-post-media.s3.amazonaws.com%2Fpublic%2Fimages%2Fb1c843a1-c80f-4333-9c7b-ec2d4d32fb1c_395x188.png 1272w, https://substackcdn.com/image/fetch/$s_!Dp3R!,w_1456,c_limit,f_webp,q_auto:good,fl_progressive:steep/https%3A%2F%2Fsubstack-post-media.s3.amazonaws.com%2Fpublic%2Fimages%2Fb1c843a1-c80f-4333-9c7b-ec2d4d32fb1c_395x188.png 1456w" sizes="100vw"><img src="https://substackcdn.com/image/fetch/$s_!Dp3R!,w_1456,c_limit,f_auto,q_auto:good,fl_progressive:steep/https%3A%2F%2Fsubstack-post-media.s3.amazonaws.com%2Fpublic%2Fimages%2Fb1c843a1-c80f-4333-9c7b-ec2d4d32fb1c_395x188.png" width="395" height="188" data-attrs="{&quot;src&quot;:&quot;https://substack-post-media.s3.amazonaws.com/public/images/b1c843a1-c80f-4333-9c7b-ec2d4d32fb1c_395x188.png&quot;,&quot;srcNoWatermark&quot;:null,&quot;fullscreen&quot;:null,&quot;imageSize&quot;:null,&quot;height&quot;:188,&quot;width&quot;:395,&quot;resizeWidth&quot;:null,&quot;bytes&quot;:9141,&quot;alt&quot;:null,&quot;title&quot;:null,&quot;type&quot;:&quot;image/png&quot;,&quot;href&quot;:null,&quot;belowTheFold&quot;:true,&quot;topImage&quot;:false,&quot;internalRedirect&quot;:&quot;https://www.rohan-paul.com/i/165775492?img=https%3A%2F%2Fsubstack-post-media.s3.amazonaws.com%2Fpublic%2Fimages%2Fb1c843a1-c80f-4333-9c7b-ec2d4d32fb1c_395x188.png&quot;,&quot;isProcessing&quot;:false,&quot;align&quot;:null,&quot;offset&quot;:false}" class="sizing-normal" alt="" srcset="https://substackcdn.com/image/fetch/$s_!Dp3R!,w_424,c_limit,f_auto,q_auto:good,fl_progressive:steep/https%3A%2F%2Fsubstack-post-media.s3.amazonaws.com%2Fpublic%2Fimages%2Fb1c843a1-c80f-4333-9c7b-ec2d4d32fb1c_395x188.png 424w, https://substackcdn.com/image/fetch/$s_!Dp3R!,w_848,c_limit,f_auto,q_auto:good,fl_progressive:steep/https%3A%2F%2Fsubstack-post-media.s3.amazonaws.com%2Fpublic%2Fimages%2Fb1c843a1-c80f-4333-9c7b-ec2d4d32fb1c_395x188.png 848w, https://substackcdn.com/image/fetch/$s_!Dp3R!,w_1272,c_limit,f_auto,q_auto:good,fl_progressive:steep/https%3A%2F%2Fsubstack-post-media.s3.amazonaws.com%2Fpublic%2Fimages%2Fb1c843a1-c80f-4333-9c7b-ec2d4d32fb1c_395x188.png 1272w, https://substackcdn.com/image/fetch/$s_!Dp3R!,w_1456,c_limit,f_auto,q_auto:good,fl_progressive:steep/https%3A%2F%2Fsubstack-post-media.s3.amazonaws.com%2Fpublic%2Fimages%2Fb1c843a1-c80f-4333-9c7b-ec2d4d32fb1c_395x188.png 1456w" sizes="100vw" loading="lazy"></picture><div></div></div></a></figure></div><p>(because 1.96 is the z-score for 95% coverage under a standard normal distribution). This formula is widely used in academic papers, Kaggle competitions, and real-world model reporting to communicate how stable or variable the model&#8217;s performance might be across different data splits.</p><div><hr></div><h2><strong>Below are additional follow-up questions</strong></h2><h2><strong>How does the CLT handle continuous vs. discrete distributions, and are there any practical differences in convergence behavior?</strong></h2><p>When applying the Central Limit Theorem (CLT), the key assumptions (independence, identical distribution, finite variance) hold for both discrete and continuous random variables. In practice, the theorem&#8217;s statement that sums or averages of such variables converge in distribution to a normal distribution remains the same. The difference is not in how the CLT is stated, but in how quickly the convergence occurs and how easily you can check the i.i.d. conditions in real data.</p><p>One potential subtlety is that for discrete random variables with only a few possible outcomes (e.g., Bernoulli or other low-support categorical distributions), the shape of the distribution of sums might be distinctly non-normal for smaller sample sizes. For instance, a binomial distribution can be highly skewed if the probability of &#8220;success&#8221; is very low or very high. As your sample size grows, the CLT still holds, but you might need more samples to see a bell curve emerge.</p><p>Pitfalls arise when you have discrete data that violate independence. Real-world classification tasks, for example, can produce discrete predictions that might be correlated in time or correlated via the environment in which they were sampled. These correlations can slow the convergence to a normal distribution. Additionally, finite variance must hold in both discrete and continuous cases. Some discrete distributions with heavy tails (such as certain power-law distributions over integer support) can have infinite variance, which invalidates the classical CLT.</p><h2><strong>What is the characteristic function approach to the CLT, and how might it be used in machine learning?</strong></h2><p>A characteristic function of a random variable (X) is the expected value of (e^{itX}), often denoted (\phi_X(t)). It captures all moments of the distribution (if they exist) in the frequency domain. The proof of the CLT using characteristic functions is often taught in advanced probability courses. It shows that when you look at the characteristic function of a sum of i.i.d. random variables, it converges pointwise to the characteristic function of the normal distribution as the number of terms grows.</p><p>In machine learning, the characteristic function approach can be instructive if you need deeper insights into how sums of random variables transform under certain constraints (for example, in Fourier-based methods or signal processing contexts). It is also relevant in some Bayesian or MCMC methods where you want to formally prove that your estimates converge to a certain distribution, and characteristic functions can provide a powerful way to establish these convergence properties.</p><p>A subtlety arises when data is heavily correlated or lacks finite variance. In that scenario, analyzing the characteristic function becomes more complex&#8212;some random variables (especially heavy-tailed) do not have well-defined characteristic function expansions beyond certain orders. Moreover, in real-world ML tasks, explicit characteristic function analysis might be overkill unless you are dealing with specialized inference methods that rely on transformations in the frequency domain.</p><h2><strong>Could you elaborate on the Berry&#8211;Esseen theorem and how it refines the CLT in practical applications?</strong></h2><p>The Berry&#8211;Esseen theorem provides bounds on the rate at which the distribution of the normalized sum (or mean) of i.i.d. random variables converges to the standard normal distribution. Specifically, it quantifies the maximum distance between the cumulative distribution function (CDF) of the scaled sum and the CDF of a standard normal distribution. It does this in terms of the third absolute moment (essentially the skewness-related term) of the underlying random variables.</p><p>In practice, this means that if you want to know how large (n) needs to be for a &#8220;good enough&#8221; approximation by the normal distribution, Berry&#8211;Esseen gives a more concrete answer than the classical CLT alone. It provides an inequality of the form:</p><div class="captioned-image-container"><figure><a class="image-link image2" target="_blank" href="https://substackcdn.com/image/fetch/$s_!yhYv!,f_auto,q_auto:good,fl_progressive:steep/https%3A%2F%2Fsubstack-post-media.s3.amazonaws.com%2Fpublic%2Fimages%2F8b6cc885-cb12-4d1c-b289-2d640304aae8_774x177.png" data-component-name="Image2ToDOM"><div class="image2-inset"><picture><source type="image/webp" srcset="https://substackcdn.com/image/fetch/$s_!yhYv!,w_424,c_limit,f_webp,q_auto:good,fl_progressive:steep/https%3A%2F%2Fsubstack-post-media.s3.amazonaws.com%2Fpublic%2Fimages%2F8b6cc885-cb12-4d1c-b289-2d640304aae8_774x177.png 424w, https://substackcdn.com/image/fetch/$s_!yhYv!,w_848,c_limit,f_webp,q_auto:good,fl_progressive:steep/https%3A%2F%2Fsubstack-post-media.s3.amazonaws.com%2Fpublic%2Fimages%2F8b6cc885-cb12-4d1c-b289-2d640304aae8_774x177.png 848w, https://substackcdn.com/image/fetch/$s_!yhYv!,w_1272,c_limit,f_webp,q_auto:good,fl_progressive:steep/https%3A%2F%2Fsubstack-post-media.s3.amazonaws.com%2Fpublic%2Fimages%2F8b6cc885-cb12-4d1c-b289-2d640304aae8_774x177.png 1272w, https://substackcdn.com/image/fetch/$s_!yhYv!,w_1456,c_limit,f_webp,q_auto:good,fl_progressive:steep/https%3A%2F%2Fsubstack-post-media.s3.amazonaws.com%2Fpublic%2Fimages%2F8b6cc885-cb12-4d1c-b289-2d640304aae8_774x177.png 1456w" sizes="100vw"><img src="https://substackcdn.com/image/fetch/$s_!yhYv!,w_1456,c_limit,f_auto,q_auto:good,fl_progressive:steep/https%3A%2F%2Fsubstack-post-media.s3.amazonaws.com%2Fpublic%2Fimages%2F8b6cc885-cb12-4d1c-b289-2d640304aae8_774x177.png" width="774" height="177" data-attrs="{&quot;src&quot;:&quot;https://substack-post-media.s3.amazonaws.com/public/images/8b6cc885-cb12-4d1c-b289-2d640304aae8_774x177.png&quot;,&quot;srcNoWatermark&quot;:null,&quot;fullscreen&quot;:null,&quot;imageSize&quot;:null,&quot;height&quot;:177,&quot;width&quot;:774,&quot;resizeWidth&quot;:null,&quot;bytes&quot;:22173,&quot;alt&quot;:null,&quot;title&quot;:null,&quot;type&quot;:&quot;image/png&quot;,&quot;href&quot;:null,&quot;belowTheFold&quot;:true,&quot;topImage&quot;:false,&quot;internalRedirect&quot;:&quot;https://www.rohan-paul.com/i/165775492?img=https%3A%2F%2Fsubstack-post-media.s3.amazonaws.com%2Fpublic%2Fimages%2F8b6cc885-cb12-4d1c-b289-2d640304aae8_774x177.png&quot;,&quot;isProcessing&quot;:false,&quot;align&quot;:null,&quot;offset&quot;:false}" class="sizing-normal" alt="" srcset="https://substackcdn.com/image/fetch/$s_!yhYv!,w_424,c_limit,f_auto,q_auto:good,fl_progressive:steep/https%3A%2F%2Fsubstack-post-media.s3.amazonaws.com%2Fpublic%2Fimages%2F8b6cc885-cb12-4d1c-b289-2d640304aae8_774x177.png 424w, https://substackcdn.com/image/fetch/$s_!yhYv!,w_848,c_limit,f_auto,q_auto:good,fl_progressive:steep/https%3A%2F%2Fsubstack-post-media.s3.amazonaws.com%2Fpublic%2Fimages%2F8b6cc885-cb12-4d1c-b289-2d640304aae8_774x177.png 848w, https://substackcdn.com/image/fetch/$s_!yhYv!,w_1272,c_limit,f_auto,q_auto:good,fl_progressive:steep/https%3A%2F%2Fsubstack-post-media.s3.amazonaws.com%2Fpublic%2Fimages%2F8b6cc885-cb12-4d1c-b289-2d640304aae8_774x177.png 1272w, https://substackcdn.com/image/fetch/$s_!yhYv!,w_1456,c_limit,f_auto,q_auto:good,fl_progressive:steep/https%3A%2F%2Fsubstack-post-media.s3.amazonaws.com%2Fpublic%2Fimages%2F8b6cc885-cb12-4d1c-b289-2d640304aae8_774x177.png 1456w" sizes="100vw" loading="lazy"></picture><div></div></div></a></figure></div><p>Here, (F_n) is the CDF of your normalized sum, (\Phi) is the standard normal CDF, (\rho_3) is the third absolute moment about the mean, (\sigma^2) is the variance, and (C) is a constant (often cited as 0.4784, though exact values can vary in references).</p><p>The subtlety for machine learning arises when dealing with non-stationary or skewed data. If (\rho_3) is large&#8212;implying a heavily skewed or long-tailed distribution&#8212;the bound might say you need many more samples to achieve the same closeness to the normal approximation. Also, Berry&#8211;Esseen typically addresses i.i.d. data; if you have correlated or heteroskedastic data, the bounding approach needs extensions or modifications.</p><h2><strong>How might the CLT be applied or adapted for real-time streaming data where the underlying distribution could shift over time?</strong></h2><p>In real-time streaming scenarios, one often uses running averages, exponential moving averages, or rolling windows to maintain estimates of means and variances on the fly. The CLT conceptually still applies if data chunks are somewhat i.i.d. or at least stationary over short intervals. For a large enough window, the average can be approximated by a normal distribution, and you can build confidence intervals around that estimate.</p><p>A critical pitfall is distribution shift&#8212;if the data&#8217;s mean or variance changes over time (concept drift in streaming contexts), the CLT-based confidence intervals or normal approximations might become stale. In other words, the old data no longer has the same distribution as the new data. This can lead to misleading intervals or hypothesis tests unless you adapt your window size or weigh recent data more heavily.</p><p>In real-time ML applications such as anomaly detection or online learning, you often assume &#8220;weak stationarity&#8221; or attempt to detect changes in distribution. Once a shift is detected, you might reset your accumulation of sums, re-initialize your statistics, or use an approach that adjusts quickly (like forgetting factors). Even then, strictly speaking, the classical CLT does not hold for data with abrupt or continuous shifts&#8212;extensions that allow for slowly changing distributions exist but have more complicated conditions.</p><h2><strong>How do conditions like Lindeberg&#8217;s condition or Lyapunov&#8217;s condition extend the CLT to non-identical distributions, and is this relevant in ML?</strong></h2><p>The Lindeberg and Lyapunov conditions are generalized criteria under which the CLT holds even if the random variables are not strictly identical in distribution. They require, broadly, that no single random variable in the sequence dominates the sum and that the variance of the sum grows sufficiently. If these conditions are satisfied, you can still get a normal limit for properly normalized sums.</p><p>In machine learning, data can come from slightly different distributions, especially if collected from diverse sources or at different times. If the data from each source or time slice has roughly the same scale and does not produce outliers that dominate the sum, then Lindeberg or Lyapunov conditions might apply.</p><p>A subtlety is that while these conditions are more general, they still require independence (or at least something close to it). If the variables are heavily correlated or have infinite variance, they won&#8217;t help. Another real-world challenge is verifying these conditions: it can be non-trivial to prove that no single random variable is too large relative to the sum. In practice, data scientists rely more on empirical checks&#8212;like looking for outliers or computing incremental statistics&#8212;rather than a formal Lindeberg check. Still, it is conceptually useful to know that the CLT can hold under weaker assumptions than i.i.d.</p><h2><strong>How does the CLT fare in adversarial or security-focused ML settings where data may not be purely random?</strong></h2><p>In adversarial ML scenarios, an attacker might inject data points designed to manipulate the model or the distribution of inputs. This disrupts the assumptions of independence or identical distribution. Because the CLT fundamentally relies on the premise that the underlying samples come from a stable, well-defined probability distribution with finite variance, adversarial data can artificially alter means, inflate variances, or create &#8220;poison&#8221; samples.</p><p>A direct result is that the normal approximation for your average or sums might be systematically biased or might underestimate variance. For example, a few carefully placed outliers could heavily shift the mean. In extremely adversarial contexts, we can&#8217;t rely on the CLT for robust confidence intervals. Instead, robust statistics or defenses that either remove or down-weight suspicious samples are needed. Some robust variants of the CLT assume that only a small fraction of samples are corrupted, but they typically require a form of &#8220;clean majority&#8221; assumption.</p><h2><strong>In distributed machine learning, how can the CLT be leveraged to combine partial statistics from different nodes, and what factors might interfere with its validity?</strong></h2><p>In distributed ML, multiple nodes might each compute partial means and variances of local data, then communicate those statistics to a central server. The central server can combine them to get an overall mean and variance. Because the sum (or weighted sum) of locally averaged values is just an aggregate of many i.i.d. samples (assuming each node&#8217;s data is representative of the same distribution), one can invoke the CLT to argue that this global average will be normally distributed around the true mean. This is often used to justify performing parameter averaging in distributed training or to maintain confidence intervals on aggregated metrics.</p><p>Subtleties arise when:</p><ul><li><p>Different nodes see data that are not from the same distribution. One node might have data from a different population, or the data might shift over time on certain nodes.</p></li><li><p>The nodes are using different random seeds or different augmentation strategies, leading to correlations in the processed data.</p></li><li><p>Communication delays or asynchronous updates lead to &#8220;stale&#8221; statistics that do not align well in time.</p></li></ul><p>Any of these issues can degrade the i.i.d. assumption, potentially slowing or invalidating the normal convergence. In practice, frameworks often assume approximate i.i.d. data partitioning to keep the analysis simpler. If distributions differ significantly (federated learning across heterogeneous devices, for instance), advanced methods or weighting strategies might be needed.</p><h2><strong>What are some ways the CLT can be used in approximate Bayesian computation, and what pitfalls might arise?</strong></h2><p>In approximate Bayesian computation (ABC) or in posterior approximation methods (like variational inference or certain Monte Carlo techniques), you often rely on sample-based estimates of likelihoods or posterior distributions. The CLT suggests that if you draw enough samples of a parameter or a likelihood from a stable process, the mean estimate (or the sum&#8217;s distribution) becomes approximately normal. This can simplify the approximation of posterior distributions around a mode or mean.</p><p>A pitfall is that posterior distributions can be multi-modal or strongly skewed in real-world Bayesian ML tasks. In that scenario, focusing on a single approximate normal near the mean might miss critical structures in the posterior. Furthermore, sampling in high-dimensional parameter spaces can slow the rate of CLT convergence, especially if there are correlations among dimensions. Techniques like Hamiltonian Monte Carlo or importance sampling might help, but the independence or stationarity assumptions are not trivially satisfied in MCMC chains with strong autocorrelation. The CLT still applies to ergodic Markov chains under certain mixing conditions, but verifying or ensuring sufficient mixing can be tricky.</p><h2><strong>How does the Delta Method extend from the CLT, and what are its real-world applications in ML metrics?</strong></h2><p>The Delta Method says that if you have a random variable ( \bar{X}_n ) that converges to a normal distribution (by the CLT, say), then a smooth function ( g(\bar{X}_n) ) also has an approximately normal distribution around ( g(\mu) ) for large (n). More formally, if</p><div class="captioned-image-container"><figure><a class="image-link image2" target="_blank" href="https://substackcdn.com/image/fetch/$s_!nW9W!,f_auto,q_auto:good,fl_progressive:steep/https%3A%2F%2Fsubstack-post-media.s3.amazonaws.com%2Fpublic%2Fimages%2F298315a3-b296-47b9-b848-e6619b2170a3_460x195.png" data-component-name="Image2ToDOM"><div class="image2-inset"><picture><source type="image/webp" srcset="https://substackcdn.com/image/fetch/$s_!nW9W!,w_424,c_limit,f_webp,q_auto:good,fl_progressive:steep/https%3A%2F%2Fsubstack-post-media.s3.amazonaws.com%2Fpublic%2Fimages%2F298315a3-b296-47b9-b848-e6619b2170a3_460x195.png 424w, https://substackcdn.com/image/fetch/$s_!nW9W!,w_848,c_limit,f_webp,q_auto:good,fl_progressive:steep/https%3A%2F%2Fsubstack-post-media.s3.amazonaws.com%2Fpublic%2Fimages%2F298315a3-b296-47b9-b848-e6619b2170a3_460x195.png 848w, https://substackcdn.com/image/fetch/$s_!nW9W!,w_1272,c_limit,f_webp,q_auto:good,fl_progressive:steep/https%3A%2F%2Fsubstack-post-media.s3.amazonaws.com%2Fpublic%2Fimages%2F298315a3-b296-47b9-b848-e6619b2170a3_460x195.png 1272w, https://substackcdn.com/image/fetch/$s_!nW9W!,w_1456,c_limit,f_webp,q_auto:good,fl_progressive:steep/https%3A%2F%2Fsubstack-post-media.s3.amazonaws.com%2Fpublic%2Fimages%2F298315a3-b296-47b9-b848-e6619b2170a3_460x195.png 1456w" sizes="100vw"><img src="https://substackcdn.com/image/fetch/$s_!nW9W!,w_1456,c_limit,f_auto,q_auto:good,fl_progressive:steep/https%3A%2F%2Fsubstack-post-media.s3.amazonaws.com%2Fpublic%2Fimages%2F298315a3-b296-47b9-b848-e6619b2170a3_460x195.png" width="460" height="195" data-attrs="{&quot;src&quot;:&quot;https://substack-post-media.s3.amazonaws.com/public/images/298315a3-b296-47b9-b848-e6619b2170a3_460x195.png&quot;,&quot;srcNoWatermark&quot;:null,&quot;fullscreen&quot;:null,&quot;imageSize&quot;:null,&quot;height&quot;:195,&quot;width&quot;:460,&quot;resizeWidth&quot;:null,&quot;bytes&quot;:12937,&quot;alt&quot;:null,&quot;title&quot;:null,&quot;type&quot;:&quot;image/png&quot;,&quot;href&quot;:null,&quot;belowTheFold&quot;:true,&quot;topImage&quot;:false,&quot;internalRedirect&quot;:&quot;https://www.rohan-paul.com/i/165775492?img=https%3A%2F%2Fsubstack-post-media.s3.amazonaws.com%2Fpublic%2Fimages%2F298315a3-b296-47b9-b848-e6619b2170a3_460x195.png&quot;,&quot;isProcessing&quot;:false,&quot;align&quot;:null,&quot;offset&quot;:false}" class="sizing-normal" alt="" srcset="https://substackcdn.com/image/fetch/$s_!nW9W!,w_424,c_limit,f_auto,q_auto:good,fl_progressive:steep/https%3A%2F%2Fsubstack-post-media.s3.amazonaws.com%2Fpublic%2Fimages%2F298315a3-b296-47b9-b848-e6619b2170a3_460x195.png 424w, https://substackcdn.com/image/fetch/$s_!nW9W!,w_848,c_limit,f_auto,q_auto:good,fl_progressive:steep/https%3A%2F%2Fsubstack-post-media.s3.amazonaws.com%2Fpublic%2Fimages%2F298315a3-b296-47b9-b848-e6619b2170a3_460x195.png 848w, https://substackcdn.com/image/fetch/$s_!nW9W!,w_1272,c_limit,f_auto,q_auto:good,fl_progressive:steep/https%3A%2F%2Fsubstack-post-media.s3.amazonaws.com%2Fpublic%2Fimages%2F298315a3-b296-47b9-b848-e6619b2170a3_460x195.png 1272w, https://substackcdn.com/image/fetch/$s_!nW9W!,w_1456,c_limit,f_auto,q_auto:good,fl_progressive:steep/https%3A%2F%2Fsubstack-post-media.s3.amazonaws.com%2Fpublic%2Fimages%2F298315a3-b296-47b9-b848-e6619b2170a3_460x195.png 1456w" sizes="100vw" loading="lazy"></picture><div></div></div></a></figure></div><p>then for a differentiable function (g),</p><div class="captioned-image-container"><figure><a class="image-link image2" target="_blank" href="https://substackcdn.com/image/fetch/$s_!Qn0o!,f_auto,q_auto:good,fl_progressive:steep/https%3A%2F%2Fsubstack-post-media.s3.amazonaws.com%2Fpublic%2Fimages%2F051055ec-e011-4e45-adc6-3817a9e378fe_822x186.png" data-component-name="Image2ToDOM"><div class="image2-inset"><picture><source type="image/webp" srcset="https://substackcdn.com/image/fetch/$s_!Qn0o!,w_424,c_limit,f_webp,q_auto:good,fl_progressive:steep/https%3A%2F%2Fsubstack-post-media.s3.amazonaws.com%2Fpublic%2Fimages%2F051055ec-e011-4e45-adc6-3817a9e378fe_822x186.png 424w, https://substackcdn.com/image/fetch/$s_!Qn0o!,w_848,c_limit,f_webp,q_auto:good,fl_progressive:steep/https%3A%2F%2Fsubstack-post-media.s3.amazonaws.com%2Fpublic%2Fimages%2F051055ec-e011-4e45-adc6-3817a9e378fe_822x186.png 848w, https://substackcdn.com/image/fetch/$s_!Qn0o!,w_1272,c_limit,f_webp,q_auto:good,fl_progressive:steep/https%3A%2F%2Fsubstack-post-media.s3.amazonaws.com%2Fpublic%2Fimages%2F051055ec-e011-4e45-adc6-3817a9e378fe_822x186.png 1272w, https://substackcdn.com/image/fetch/$s_!Qn0o!,w_1456,c_limit,f_webp,q_auto:good,fl_progressive:steep/https%3A%2F%2Fsubstack-post-media.s3.amazonaws.com%2Fpublic%2Fimages%2F051055ec-e011-4e45-adc6-3817a9e378fe_822x186.png 1456w" sizes="100vw"><img src="https://substackcdn.com/image/fetch/$s_!Qn0o!,w_1456,c_limit,f_auto,q_auto:good,fl_progressive:steep/https%3A%2F%2Fsubstack-post-media.s3.amazonaws.com%2Fpublic%2Fimages%2F051055ec-e011-4e45-adc6-3817a9e378fe_822x186.png" width="822" height="186" data-attrs="{&quot;src&quot;:&quot;https://substack-post-media.s3.amazonaws.com/public/images/051055ec-e011-4e45-adc6-3817a9e378fe_822x186.png&quot;,&quot;srcNoWatermark&quot;:null,&quot;fullscreen&quot;:null,&quot;imageSize&quot;:null,&quot;height&quot;:186,&quot;width&quot;:822,&quot;resizeWidth&quot;:null,&quot;bytes&quot;:21924,&quot;alt&quot;:null,&quot;title&quot;:null,&quot;type&quot;:&quot;image/png&quot;,&quot;href&quot;:null,&quot;belowTheFold&quot;:true,&quot;topImage&quot;:false,&quot;internalRedirect&quot;:&quot;https://www.rohan-paul.com/i/165775492?img=https%3A%2F%2Fsubstack-post-media.s3.amazonaws.com%2Fpublic%2Fimages%2F051055ec-e011-4e45-adc6-3817a9e378fe_822x186.png&quot;,&quot;isProcessing&quot;:false,&quot;align&quot;:null,&quot;offset&quot;:false}" class="sizing-normal" alt="" srcset="https://substackcdn.com/image/fetch/$s_!Qn0o!,w_424,c_limit,f_auto,q_auto:good,fl_progressive:steep/https%3A%2F%2Fsubstack-post-media.s3.amazonaws.com%2Fpublic%2Fimages%2F051055ec-e011-4e45-adc6-3817a9e378fe_822x186.png 424w, https://substackcdn.com/image/fetch/$s_!Qn0o!,w_848,c_limit,f_auto,q_auto:good,fl_progressive:steep/https%3A%2F%2Fsubstack-post-media.s3.amazonaws.com%2Fpublic%2Fimages%2F051055ec-e011-4e45-adc6-3817a9e378fe_822x186.png 848w, https://substackcdn.com/image/fetch/$s_!Qn0o!,w_1272,c_limit,f_auto,q_auto:good,fl_progressive:steep/https%3A%2F%2Fsubstack-post-media.s3.amazonaws.com%2Fpublic%2Fimages%2F051055ec-e011-4e45-adc6-3817a9e378fe_822x186.png 1272w, https://substackcdn.com/image/fetch/$s_!Qn0o!,w_1456,c_limit,f_auto,q_auto:good,fl_progressive:steep/https%3A%2F%2Fsubstack-post-media.s3.amazonaws.com%2Fpublic%2Fimages%2F051055ec-e011-4e45-adc6-3817a9e378fe_822x186.png 1456w" sizes="100vw" loading="lazy"></picture><div></div></div></a></figure></div><p>This is incredibly useful in machine learning when you want to approximate the distribution of a transformed statistic. For example, if your model performance metric is a function of the mean accuracy&#8212;maybe a log-odds transform or some more complex function&#8212;knowing the approximate distribution helps you construct confidence intervals or do hypothesis tests around that function of the mean.</p><p>A subtlety is that the function (g) must be smooth and differentiable around (\mu). If (g) has a discontinuity or a very flat region around (\mu), the linear approximation might be poor, causing the normal approximation to fail. Also, if your sample size is not large, or if (\bar{X}_n) has not stabilized (due to correlation or distribution shifts), the Delta Method&#8217;s approximation may be unreliable.</p><h2><strong>Are there specialized forms of the CLT for variables confined to the interval [0, 1], such as in classification probabilities?</strong></h2><p>For random variables strictly in [0, 1] (e.g., Bernoulli or Beta-distributed variables), there is still a classical CLT application if they are i.i.d. with finite variance. Their sums and averages will converge to a normal distribution, but the speed of convergence can be impacted by how close the distribution is to 0 or 1. If the true mean is near 0 or near 1, the distribution of sums can initially be quite skewed.</p><p>In classification tasks, each data point is typically a success/failure outcome (0 or 1). If the true probability is p, the sum of n Bernoulli trials has variance ( n p (1-p) ), which can be quite small if p is near 0 or 1, slowing the ratio of variance to n in a way that can lead to visible skew for smaller n. However, once n is large, you still get a normal approximation. A subtlety arises in highly imbalanced classification, where p might be extremely small or extremely large&#8212;then you might need many more samples to see a decent normal shape, or you might rely on exact methods (binomial confidence intervals) for smaller n.</p><h2><strong>How do hierarchical or multi-level structures in data complicate direct applications of the CLT?</strong></h2><p>In hierarchical or multi-level data, observations are grouped into higher-level units&#8212;like students within classrooms, or clients within regions. Often, within a group, samples are correlated, and the i.i.d. assumption is not valid across the entire dataset. The simplest form of the CLT no longer strictly applies because independence is violated.</p><p>Extensions like cluster-robust standard errors or random-effects models attempt to handle these correlations by modeling the data&#8217;s hierarchical structure. You might use specialized versions of the CLT that apply to &#8220;clustered data&#8221; under certain mixing or exchangeability assumptions. Real-world pitfalls include incorrectly assuming that all data points are i.i.d. when there is a clear group structure. This can lead to overconfident intervals or incorrectly sized hypothesis tests (e.g., you think you have more independent pieces of information than you actually do). In ML practice, ignoring hierarchy or correlation can yield overly optimistic performance estimates.</p><h2><strong>Can we rely on the CLT in non-parametric bootstrap methods without strong parametric assumptions?</strong></h2><p>Non-parametric bootstrap methods resample data from an observed dataset to approximate the variability of a statistic. The theory behind the bootstrap relies, in part, on CLT-like properties: if the original sample is representative of the population, then the distribution of the resampled statistic approximates the &#8220;true&#8221; distribution. As the sample size grows large, the resampled statistics tend toward a normal distribution around the true parameter.</p><p>One subtlety is that in a real-world setting, the bootstrap will be reliable only if the observed sample is a reasonable proxy for the entire population distribution. If the sample is biased or too small, the bootstrap might not approximate the distribution well. Further, the CLT&#8217;s independence assumption can be undermined by correlated data, meaning naive bootstrap resampling might not capture the correlation structure. Special block bootstrap or stationary bootstrap procedures exist for time series or spatially correlated data. Even then, a large enough sample size is crucial for the normal approximation to hold consistently in bootstrap confidence intervals.</p>]]></content:encoded></item><item><title><![CDATA[ML Interview Q Series: Calculating True Disease Probability After Positive Tests Using Bayes' Theorem]]></title><description><![CDATA[&#128218; Browse the full ML Interview series here.]]></description><link>https://www.rohan-paul.com/p/ml-interview-q-series-calculating-3b7</link><guid isPermaLink="false">https://www.rohan-paul.com/p/ml-interview-q-series-calculating-3b7</guid><pubDate>Thu, 12 Jun 2025 10:18:06 GMT</pubDate><enclosure url="https://substackcdn.com/image/fetch/$s_!5rvG!,f_auto,q_auto:good,fl_progressive:steep/https%3A%2F%2Fsubstack-post-media.s3.amazonaws.com%2Fpublic%2Fimages%2F8d901b80-471d-4991-9253-bdcb35dd09db_1024x575.png" length="0" type="image/jpeg"/><content:encoded><![CDATA[<div class="captioned-image-container"><figure><a class="image-link image2 is-viewable-img" target="_blank" href="https://substackcdn.com/image/fetch/$s_!5rvG!,f_auto,q_auto:good,fl_progressive:steep/https%3A%2F%2Fsubstack-post-media.s3.amazonaws.com%2Fpublic%2Fimages%2F8d901b80-471d-4991-9253-bdcb35dd09db_1024x575.png" data-component-name="Image2ToDOM"><div class="image2-inset"><picture><source type="image/webp" srcset="https://substackcdn.com/image/fetch/$s_!5rvG!,w_424,c_limit,f_webp,q_auto:good,fl_progressive:steep/https%3A%2F%2Fsubstack-post-media.s3.amazonaws.com%2Fpublic%2Fimages%2F8d901b80-471d-4991-9253-bdcb35dd09db_1024x575.png 424w, https://substackcdn.com/image/fetch/$s_!5rvG!,w_848,c_limit,f_webp,q_auto:good,fl_progressive:steep/https%3A%2F%2Fsubstack-post-media.s3.amazonaws.com%2Fpublic%2Fimages%2F8d901b80-471d-4991-9253-bdcb35dd09db_1024x575.png 848w, https://substackcdn.com/image/fetch/$s_!5rvG!,w_1272,c_limit,f_webp,q_auto:good,fl_progressive:steep/https%3A%2F%2Fsubstack-post-media.s3.amazonaws.com%2Fpublic%2Fimages%2F8d901b80-471d-4991-9253-bdcb35dd09db_1024x575.png 1272w, https://substackcdn.com/image/fetch/$s_!5rvG!,w_1456,c_limit,f_webp,q_auto:good,fl_progressive:steep/https%3A%2F%2Fsubstack-post-media.s3.amazonaws.com%2Fpublic%2Fimages%2F8d901b80-471d-4991-9253-bdcb35dd09db_1024x575.png 1456w" sizes="100vw"><img src="https://substackcdn.com/image/fetch/$s_!5rvG!,w_1456,c_limit,f_auto,q_auto:good,fl_progressive:steep/https%3A%2F%2Fsubstack-post-media.s3.amazonaws.com%2Fpublic%2Fimages%2F8d901b80-471d-4991-9253-bdcb35dd09db_1024x575.png" width="1024" height="575" data-attrs="{&quot;src&quot;:&quot;https://substack-post-media.s3.amazonaws.com/public/images/8d901b80-471d-4991-9253-bdcb35dd09db_1024x575.png&quot;,&quot;srcNoWatermark&quot;:null,&quot;fullscreen&quot;:null,&quot;imageSize&quot;:null,&quot;height&quot;:575,&quot;width&quot;:1024,&quot;resizeWidth&quot;:null,&quot;bytes&quot;:983094,&quot;alt&quot;:null,&quot;title&quot;:null,&quot;type&quot;:&quot;image/png&quot;,&quot;href&quot;:null,&quot;belowTheFold&quot;:false,&quot;topImage&quot;:true,&quot;internalRedirect&quot;:&quot;https://www.rohan-paul.com/i/165775321?img=https%3A%2F%2Fsubstack-post-media.s3.amazonaws.com%2Fpublic%2Fimages%2F8d901b80-471d-4991-9253-bdcb35dd09db_1024x575.png&quot;,&quot;isProcessing&quot;:false,&quot;align&quot;:null,&quot;offset&quot;:false}" class="sizing-normal" alt="" srcset="https://substackcdn.com/image/fetch/$s_!5rvG!,w_424,c_limit,f_auto,q_auto:good,fl_progressive:steep/https%3A%2F%2Fsubstack-post-media.s3.amazonaws.com%2Fpublic%2Fimages%2F8d901b80-471d-4991-9253-bdcb35dd09db_1024x575.png 424w, https://substackcdn.com/image/fetch/$s_!5rvG!,w_848,c_limit,f_auto,q_auto:good,fl_progressive:steep/https%3A%2F%2Fsubstack-post-media.s3.amazonaws.com%2Fpublic%2Fimages%2F8d901b80-471d-4991-9253-bdcb35dd09db_1024x575.png 848w, https://substackcdn.com/image/fetch/$s_!5rvG!,w_1272,c_limit,f_auto,q_auto:good,fl_progressive:steep/https%3A%2F%2Fsubstack-post-media.s3.amazonaws.com%2Fpublic%2Fimages%2F8d901b80-471d-4991-9253-bdcb35dd09db_1024x575.png 1272w, https://substackcdn.com/image/fetch/$s_!5rvG!,w_1456,c_limit,f_auto,q_auto:good,fl_progressive:steep/https%3A%2F%2Fsubstack-post-media.s3.amazonaws.com%2Fpublic%2Fimages%2F8d901b80-471d-4991-9253-bdcb35dd09db_1024x575.png 1456w" sizes="100vw" fetchpriority="high"></picture><div class="image-link-expand"><div class="pencraft pc-display-flex pc-gap-8 pc-reset"><button tabindex="0" type="button" class="pencraft pc-reset pencraft icon-container restack-image"><svg role="img" width="20" height="20" viewBox="0 0 20 20" fill="none" stroke-width="1.5" stroke="var(--color-fg-primary)" stroke-linecap="round" stroke-linejoin="round" xmlns="http://www.w3.org/2000/svg"><g><title></title><path d="M2.53001 7.81595C3.49179 4.73911 6.43281 2.5 9.91173 2.5C13.1684 2.5 15.9537 4.46214 17.0852 7.23684L17.6179 8.67647M17.6179 8.67647L18.5002 4.26471M17.6179 8.67647L13.6473 6.91176M17.4995 12.1841C16.5378 15.2609 13.5967 17.5 10.1178 17.5C6.86118 17.5 4.07589 15.5379 2.94432 12.7632L2.41165 11.3235M2.41165 11.3235L1.5293 15.7353M2.41165 11.3235L6.38224 13.0882"></path></g></svg></button><button tabindex="0" type="button" class="pencraft pc-reset pencraft icon-container view-image"><svg xmlns="http://www.w3.org/2000/svg" width="20" height="20" viewBox="0 0 24 24" fill="none" stroke="currentColor" stroke-width="2" stroke-linecap="round" stroke-linejoin="round" class="lucide lucide-maximize2 lucide-maximize-2"><polyline points="15 3 21 3 21 9"></polyline><polyline points="9 21 3 21 3 15"></polyline><line x1="21" x2="14" y1="3" y2="10"></line><line x1="3" x2="10" y1="21" y2="14"></line></svg></button></div></div></div></a></figure></div><p>&#128218; Browse <strong><a href="https://rohanpaul.substack.com/s/ml-interview-series/archive?sort=new">the full ML Interview series here</a></strong>.</p><h2><strong>Bayesian Probability (Medical Test Scenario): You&#8217;re testing for a rare disease that affects 1% of the population with a test that has 90% sensitivity (true positive rate) and 5% false positive rate. If a person tests positive, what is the probability they actually have the disease? *Walk through how you arrive at the answer using Bayes&#8217; Theorem.*</strong></h2><p class="button-wrapper" data-attrs="{&quot;url&quot;:&quot;https://x.com/rohanpaul_ai&quot;,&quot;text&quot;:&quot;Connect with me on X (Twitter)&quot;,&quot;action&quot;:null,&quot;class&quot;:&quot;button-wrapper&quot;}" data-component-name="ButtonCreateButton"><a class="button primary button-wrapper" href="https://x.com/rohanpaul_ai"><span>Connect with me on X (Twitter)</span></a></p><p>Understanding the Core Idea Using Bayes&#8217; Theorem</p><p>Bayes&#8217; Theorem provides a way to update our belief about an event (in this case, having the disease) based on new evidence (a positive test). When we say the disease affects 1% of the population, that is known as the prior probability of having the disease. The test&#8217;s sensitivity describes how likely it is to detect the disease if the person truly has it, and the false positive rate tells us how often the test incorrectly indicates the disease when it is not present.</p><p>Bayes&#8217; Theorem states, in its fundamental form:</p><div class="captioned-image-container"><figure><a class="image-link image2" target="_blank" href="https://substackcdn.com/image/fetch/$s_!xsiN!,f_auto,q_auto:good,fl_progressive:steep/https%3A%2F%2Fsubstack-post-media.s3.amazonaws.com%2Fpublic%2Fimages%2Fc64354ad-0683-4c02-98a4-1251b5ee0852_1084x188.png" data-component-name="Image2ToDOM"><div class="image2-inset"><picture><source type="image/webp" srcset="https://substackcdn.com/image/fetch/$s_!xsiN!,w_424,c_limit,f_webp,q_auto:good,fl_progressive:steep/https%3A%2F%2Fsubstack-post-media.s3.amazonaws.com%2Fpublic%2Fimages%2Fc64354ad-0683-4c02-98a4-1251b5ee0852_1084x188.png 424w, https://substackcdn.com/image/fetch/$s_!xsiN!,w_848,c_limit,f_webp,q_auto:good,fl_progressive:steep/https%3A%2F%2Fsubstack-post-media.s3.amazonaws.com%2Fpublic%2Fimages%2Fc64354ad-0683-4c02-98a4-1251b5ee0852_1084x188.png 848w, https://substackcdn.com/image/fetch/$s_!xsiN!,w_1272,c_limit,f_webp,q_auto:good,fl_progressive:steep/https%3A%2F%2Fsubstack-post-media.s3.amazonaws.com%2Fpublic%2Fimages%2Fc64354ad-0683-4c02-98a4-1251b5ee0852_1084x188.png 1272w, https://substackcdn.com/image/fetch/$s_!xsiN!,w_1456,c_limit,f_webp,q_auto:good,fl_progressive:steep/https%3A%2F%2Fsubstack-post-media.s3.amazonaws.com%2Fpublic%2Fimages%2Fc64354ad-0683-4c02-98a4-1251b5ee0852_1084x188.png 1456w" sizes="100vw"><img src="https://substackcdn.com/image/fetch/$s_!xsiN!,w_1456,c_limit,f_auto,q_auto:good,fl_progressive:steep/https%3A%2F%2Fsubstack-post-media.s3.amazonaws.com%2Fpublic%2Fimages%2Fc64354ad-0683-4c02-98a4-1251b5ee0852_1084x188.png" width="1084" height="188" data-attrs="{&quot;src&quot;:&quot;https://substack-post-media.s3.amazonaws.com/public/images/c64354ad-0683-4c02-98a4-1251b5ee0852_1084x188.png&quot;,&quot;srcNoWatermark&quot;:null,&quot;fullscreen&quot;:null,&quot;imageSize&quot;:null,&quot;height&quot;:188,&quot;width&quot;:1084,&quot;resizeWidth&quot;:null,&quot;bytes&quot;:18198,&quot;alt&quot;:null,&quot;title&quot;:null,&quot;type&quot;:&quot;image/png&quot;,&quot;href&quot;:null,&quot;belowTheFold&quot;:false,&quot;topImage&quot;:false,&quot;internalRedirect&quot;:&quot;https://www.rohan-paul.com/i/165775321?img=https%3A%2F%2Fsubstack-post-media.s3.amazonaws.com%2Fpublic%2Fimages%2Fc64354ad-0683-4c02-98a4-1251b5ee0852_1084x188.png&quot;,&quot;isProcessing&quot;:false,&quot;align&quot;:null,&quot;offset&quot;:false}" class="sizing-normal" alt="" srcset="https://substackcdn.com/image/fetch/$s_!xsiN!,w_424,c_limit,f_auto,q_auto:good,fl_progressive:steep/https%3A%2F%2Fsubstack-post-media.s3.amazonaws.com%2Fpublic%2Fimages%2Fc64354ad-0683-4c02-98a4-1251b5ee0852_1084x188.png 424w, https://substackcdn.com/image/fetch/$s_!xsiN!,w_848,c_limit,f_auto,q_auto:good,fl_progressive:steep/https%3A%2F%2Fsubstack-post-media.s3.amazonaws.com%2Fpublic%2Fimages%2Fc64354ad-0683-4c02-98a4-1251b5ee0852_1084x188.png 848w, https://substackcdn.com/image/fetch/$s_!xsiN!,w_1272,c_limit,f_auto,q_auto:good,fl_progressive:steep/https%3A%2F%2Fsubstack-post-media.s3.amazonaws.com%2Fpublic%2Fimages%2Fc64354ad-0683-4c02-98a4-1251b5ee0852_1084x188.png 1272w, https://substackcdn.com/image/fetch/$s_!xsiN!,w_1456,c_limit,f_auto,q_auto:good,fl_progressive:steep/https%3A%2F%2Fsubstack-post-media.s3.amazonaws.com%2Fpublic%2Fimages%2Fc64354ad-0683-4c02-98a4-1251b5ee0852_1084x188.png 1456w" sizes="100vw"></picture><div></div></div></a></figure></div><p>where:</p><ul><li><p>( D ) is the event that the person has the disease.</p></li><li><p>( \neg D ) is the event that the person does not have the disease.</p></li><li><p>( P(D) ) is the prior probability of having the disease (1%).</p></li><li><p>( P(+ \mid D) ) is the sensitivity or true positive rate (90%).</p></li><li><p>( P(+ \mid \neg D) ) is the false positive rate (5%).</p></li><li><p>( P(\neg D) = 1 - P(D) = 99% ).</p></li></ul><p>Detailed Walk-Through</p><p>To compute ( P(D \mid +) ), we need two main components in the denominator:</p><ul><li><p>The probability of a true positive among those who have the disease.</p></li><li><p>The probability of a false positive among those who do not have the disease.</p></li></ul><p>Plugging in the numbers:</p><ul><li><p>( P(D) = 0.01 )</p></li><li><p>( P(\neg D) = 0.99 )</p></li><li><p>( P(+ \mid D) = 0.90 )</p></li><li><p>( P(+ \mid \neg D) = 0.05 )</p></li></ul><p>Numerator: ( 0.01 \times 0.90 = 0.009 )</p><p>Denominator: ( 0.009 + (0.99 \times 0.05) = 0.009 + 0.0495 = 0.0585 )</p><p>Hence,</p><div class="captioned-image-container"><figure><a class="image-link image2" target="_blank" href="https://substackcdn.com/image/fetch/$s_!rDuM!,f_auto,q_auto:good,fl_progressive:steep/https%3A%2F%2Fsubstack-post-media.s3.amazonaws.com%2Fpublic%2Fimages%2Ff2e6df6f-bc17-44e7-806a-7da9558641d8_635x168.png" data-component-name="Image2ToDOM"><div class="image2-inset"><picture><source type="image/webp" srcset="https://substackcdn.com/image/fetch/$s_!rDuM!,w_424,c_limit,f_webp,q_auto:good,fl_progressive:steep/https%3A%2F%2Fsubstack-post-media.s3.amazonaws.com%2Fpublic%2Fimages%2Ff2e6df6f-bc17-44e7-806a-7da9558641d8_635x168.png 424w, https://substackcdn.com/image/fetch/$s_!rDuM!,w_848,c_limit,f_webp,q_auto:good,fl_progressive:steep/https%3A%2F%2Fsubstack-post-media.s3.amazonaws.com%2Fpublic%2Fimages%2Ff2e6df6f-bc17-44e7-806a-7da9558641d8_635x168.png 848w, https://substackcdn.com/image/fetch/$s_!rDuM!,w_1272,c_limit,f_webp,q_auto:good,fl_progressive:steep/https%3A%2F%2Fsubstack-post-media.s3.amazonaws.com%2Fpublic%2Fimages%2Ff2e6df6f-bc17-44e7-806a-7da9558641d8_635x168.png 1272w, https://substackcdn.com/image/fetch/$s_!rDuM!,w_1456,c_limit,f_webp,q_auto:good,fl_progressive:steep/https%3A%2F%2Fsubstack-post-media.s3.amazonaws.com%2Fpublic%2Fimages%2Ff2e6df6f-bc17-44e7-806a-7da9558641d8_635x168.png 1456w" sizes="100vw"><img src="https://substackcdn.com/image/fetch/$s_!rDuM!,w_1456,c_limit,f_auto,q_auto:good,fl_progressive:steep/https%3A%2F%2Fsubstack-post-media.s3.amazonaws.com%2Fpublic%2Fimages%2Ff2e6df6f-bc17-44e7-806a-7da9558641d8_635x168.png" width="635" height="168" data-attrs="{&quot;src&quot;:&quot;https://substack-post-media.s3.amazonaws.com/public/images/f2e6df6f-bc17-44e7-806a-7da9558641d8_635x168.png&quot;,&quot;srcNoWatermark&quot;:null,&quot;fullscreen&quot;:null,&quot;imageSize&quot;:null,&quot;height&quot;:168,&quot;width&quot;:635,&quot;resizeWidth&quot;:null,&quot;bytes&quot;:17067,&quot;alt&quot;:null,&quot;title&quot;:null,&quot;type&quot;:&quot;image/png&quot;,&quot;href&quot;:null,&quot;belowTheFold&quot;:true,&quot;topImage&quot;:false,&quot;internalRedirect&quot;:&quot;https://www.rohan-paul.com/i/165775321?img=https%3A%2F%2Fsubstack-post-media.s3.amazonaws.com%2Fpublic%2Fimages%2Ff2e6df6f-bc17-44e7-806a-7da9558641d8_635x168.png&quot;,&quot;isProcessing&quot;:false,&quot;align&quot;:null,&quot;offset&quot;:false}" class="sizing-normal" alt="" srcset="https://substackcdn.com/image/fetch/$s_!rDuM!,w_424,c_limit,f_auto,q_auto:good,fl_progressive:steep/https%3A%2F%2Fsubstack-post-media.s3.amazonaws.com%2Fpublic%2Fimages%2Ff2e6df6f-bc17-44e7-806a-7da9558641d8_635x168.png 424w, https://substackcdn.com/image/fetch/$s_!rDuM!,w_848,c_limit,f_auto,q_auto:good,fl_progressive:steep/https%3A%2F%2Fsubstack-post-media.s3.amazonaws.com%2Fpublic%2Fimages%2Ff2e6df6f-bc17-44e7-806a-7da9558641d8_635x168.png 848w, https://substackcdn.com/image/fetch/$s_!rDuM!,w_1272,c_limit,f_auto,q_auto:good,fl_progressive:steep/https%3A%2F%2Fsubstack-post-media.s3.amazonaws.com%2Fpublic%2Fimages%2Ff2e6df6f-bc17-44e7-806a-7da9558641d8_635x168.png 1272w, https://substackcdn.com/image/fetch/$s_!rDuM!,w_1456,c_limit,f_auto,q_auto:good,fl_progressive:steep/https%3A%2F%2Fsubstack-post-media.s3.amazonaws.com%2Fpublic%2Fimages%2Ff2e6df6f-bc17-44e7-806a-7da9558641d8_635x168.png 1456w" sizes="100vw" loading="lazy"></picture><div></div></div></a></figure></div><p>So the probability that the person actually has the disease given a positive test is about 15.38%. This may seem counterintuitive: one might expect a 90% accurate test to yield a much higher chance of actually having the disease. However, the low prevalence (1%) combined with the 5% false positive rate causes many more false positives among healthy individuals than true positives among diseased individuals.</p><p>Illustration with a Python Code Snippet</p><pre><code><code>p_disease = 0.01            # 1%
sensitivity = 0.90          # 90%
false_positive_rate = 0.05  # 5%

# Probability of testing positive overall
p_positive = (p_disease * sensitivity) + ((1 - p_disease) * false_positive_rate)

# Posterior probability: probability of disease given a positive test
posterior_probability = (p_disease * sensitivity) / p_positive

print(posterior_probability)  # ~0.1538
</code></code></pre><p>Explanation of Why the Probability Is Only Around 15.38%</p><p>In real-world scenarios, if the underlying event (the disease) is relatively rare, even a test with a seemingly good sensitivity can yield a low probability of actually having the disease once a person tests positive. This phenomenon underscores the importance of considering prevalence (the prior probability) along with test accuracy measures when interpreting diagnostic results.</p><p>Subtleties and Practical Insights</p><p>False positives can easily outnumber true positives when the overall prevalence is low. That is why confirmatory tests, possibly with higher specificity or a different testing modality, are often used in medical diagnostics. Also, if the disease prevalence increases, the posterior probability ( P(D \mid +) ) can rise significantly, because more of the positives will be true positives.</p><div class="subscription-widget-wrap-editor" data-attrs="{&quot;url&quot;:&quot;https://www.rohan-paul.com/subscribe?&quot;,&quot;text&quot;:&quot;Subscribe&quot;,&quot;language&quot;:&quot;en&quot;}" data-component-name="SubscribeWidgetToDOM"><div class="subscription-widget show-subscribe"><div class="preamble"><p class="cta-caption">I write everyday for my readers on actionable AI. Subscribe and instantly get a 1300+ page Python book.</p></div><form class="subscription-widget-subscribe"><input type="email" class="email-input" name="email" placeholder="Type your email&#8230;" tabindex="-1"><input type="submit" class="button primary" value="Subscribe"><div class="fake-input-wrapper"><div class="fake-input"></div><div class="fake-button"></div></div></form></div></div><h2><strong>How does the result change if the disease prevalence increases?</strong></h2><p>If the disease prevalence rises from 1% to, say, 5%, that changes the prior ( P(D) ). Using the same sensitivity and false positive rate:</p><ul><li><p>( P(D) = 0.05 )</p></li><li><p>( P(\neg D) = 0.95 )</p></li><li><p>( P(+ \mid D) = 0.90 )</p></li><li><p>( P(+ \mid \neg D) = 0.05 )</p></li></ul><p>Numerator: ( 0.05 \times 0.90 = 0.045 ) Denominator: ( 0.045 + (0.95 \times 0.05) = 0.045 + 0.0475 = 0.0925 ) Posterior: ( 0.045 / 0.0925 \approx 0.4865 ), or about 48.65%.</p><p>This demonstrates how a higher prevalence significantly increases the probability of having the disease given a positive test result.</p><h2><strong>Why is it critical to distinguish between sensitivity and specificity?</strong></h2><p>Sensitivity is ( P(+ \mid D) ), the true positive rate. Specificity is ( P(- \mid \neg D) ), which is 1 minus the false positive rate. If the false positive rate is 5%, the specificity is 95%. These measures serve different roles:</p><p>Sensitivity answers: &#8220;If someone has the disease, how often do they test positive?&#8221; Specificity answers: &#8220;If someone does not have the disease, how often do they test negative?&#8221;</p><p>Knowing both helps one understand how frequently the test might miss actual cases (false negatives) and how frequently it might incorrectly flag healthy individuals as diseased (false positives).</p><h2><strong>What are common pitfalls in applying Bayes&#8217; Theorem in real-world medical testing?</strong></h2><p>One pitfall is misunderstanding the impact of low prevalence (also called prior probability). People often overlook how a small prior probability can dramatically reduce the chance that a positive test result corresponds to a true case of the disease. Another pitfall is the assumption that sensitivity and false positive rate (or specificity) are constant across different populations or testing contexts. In practice, these rates can vary based on demographics, test administration conditions, or biological differences.</p><p>Overconfidence in a test&#8217;s accuracy is another concern. A 90% sensitivity might sound excellent, but without considering specificity and prevalence, the final probability could be substantially lower than anticipated.</p><h2><strong>Why do we rely on priors, and can they change?</strong></h2><p>Priors represent our existing beliefs or knowledge before new data arrives. In a medical context, the prior probability might come from large-scale epidemiological data or population studies. These priors can change if new information is introduced&#8212;for instance, if the individual has certain symptoms, belongs to a high-risk demographic, or if new research shows changes in disease frequency. When priors change, the posterior probability must be recalculated, which is precisely what Bayes&#8217; Theorem accommodates.</p><h2><strong>Are there alternative approaches if priors are difficult to estimate?</strong></h2><p>When priors are uncertain, some methods use broader ranges or distributions for the disease prevalence. For example, one might employ Bayesian hierarchical models or sensitivity analyses, allowing one to see how varying the prior probability influences the posterior. Another approach is to gather more data before administering the test (e.g., additional screening questions or preliminary tests) to refine the prior.</p><h2><strong>How can real-world performance of tests differ from theoretical measures?</strong></h2><p>Real-world performance can differ due to:</p><ul><li><p>Imperfect conditions during sample collection or handling.</p></li><li><p>Differences between the studied population and real-world population.</p></li><li><p>Operator or machine variability.</p></li><li><p>Time-dependent factors, such as disease stage.</p></li></ul><p>Hence, sensitivity and specificity from clinical trials might not exactly match real-world conditions. Post-marketing surveillance and external validation studies can clarify these performance metrics.</p><h2><strong>How do we reduce the impact of false positives when the disease is rare?</strong></h2><p>Medical practitioners may employ two-stage testing: a first, relatively inexpensive or widely administered test with high sensitivity (few false negatives), then a confirmatory test with higher specificity. This approach can reduce the number of healthy individuals being incorrectly identified as diseased. Also, prevalence-based screening programs often include risk-factor assessment (age, family history, lifestyle) to refine who gets tested.</p><h2><strong>Is Bayes&#8217; Theorem only useful in medical diagnostics?</strong></h2><p>While it is vital in medical testing scenarios, Bayes&#8217; Theorem is applicable in any domain where you need to update your belief about an event based on new evidence. This includes spam detection in emails, reliability assessments in engineering, A/B testing in software experiments, and beyond. The unifying principle is that you always combine prior knowledge with new evidence to arrive at an updated probability.</p><div><hr></div><h2><strong>Below are additional follow-up questions</strong></h2><h2><strong>If the test is repeated multiple times for the same individual, how can we combine the results in a Bayesian manner, and what are potential concerns?</strong></h2><p>When a test is administered repeatedly, each additional test result can be treated as new evidence. In Bayesian terms, the posterior from the first test becomes the prior for the second test, and so on. The fundamental step is:</p><ul><li><p>Start with a prior probability, often based on the known prevalence or some refined personal risk factor.</p></li><li><p>After each test result, update that probability using Bayes&#8217; Theorem.</p></li></ul><p>A key assumption is the independence of test outcomes, conditional on the true disease status. If the tests are not fully independent (for instance, they share common biases or measurement errors), then standard sequential Bayesian updates may overestimate confidence. In practice:</p><ol><li><p>Independence: If the tests rely on the same biological markers or the same methodology, their errors might be correlated. As a result, repeating the test may not provide as much additional evidence as a fully independent test would.</p></li><li><p><strong>Diminishing Returns</strong>: Even if the tests are conditionally independent, as soon as you accumulate sufficient evidence, the probability may converge to near certainty (either very high or very low), and further testing won&#8217;t meaningfully change the posterior.</p></li><li><p><strong>Practical Constraints</strong>: Multiple tests might be costly, time-consuming, or impose patient discomfort. There must be a balance between thoroughness and practicality.</p></li><li><p><strong>Confirmatory Tests</strong>: In medical settings, the second or third test is sometimes of a different modality with higher specificity. This approach can mitigate correlation in test errors and yield more reliable Bayesian updates.</p></li></ol><h2><strong>How do we handle scenario changes if the test is administered to high-risk groups rather than the general population?</strong></h2><p>When testing a high-risk group, the disease prevalence (prior) is likely higher than 1%. This modifies (P(D)). A larger prior increases the probability that a positive result reflects a true case, leading to a higher posterior probability (P(D \mid +)). Practical implications include:</p><ul><li><p><strong>Adjusting the Prior</strong>: The baseline prevalence is replaced by the prevalence within the high-risk group. This can come from epidemiological data for that subgroup.</p></li><li><p><strong>Test Thresholds</strong>: Because the starting prior is higher, you might rely on different cutoffs or interpret borderline results differently. In some cases, the test might be recalibrated to reduce the false positive rate if the goal is to minimize overtreatment.</p></li><li><p><strong>Heterogeneous Risk</strong>: If the &#8220;high-risk&#8221; group is still heterogeneous (e.g., patients with multiple comorbidities vs. those with just one risk factor), you may need multiple subgroup-specific priors. Combining them incorrectly can blur the accuracy of the Bayesian update.</p></li></ul><h2><strong>In what ways might conditional dependence on additional factors (like age or symptoms) influence the calculation?</strong></h2><p>Bayes&#8217; Theorem as originally presented uses a single prior for the disease. However, real-world disease likelihood often depends on age, gender, genetics, or symptoms:</p><ul><li><p><strong>Multivariate Priors</strong>: Instead of a single (P(D)), you might have a distribution conditioned on these additional factors, such as (P(D \mid \text{age}, \text{family history}, \ldots)).</p></li><li><p><strong>Conditional Sensitivity and Specificity</strong>: Sensitivity could change with age or the presence of certain symptoms. The same test might be more sensitive in symptomatic individuals and less sensitive in asymptomatic ones, or vice versa.</p></li><li><p><strong>Modeling Complexity</strong>: If these factors are correlated, you can adopt Bayesian network models or hierarchical Bayesian frameworks that more accurately capture dependencies. You no longer apply a single test characteristic to all individuals; instead, you refine your test parameters or your prior based on the patient&#8217;s subgroup characteristics.</p></li><li><p><strong>Edge Cases</strong>: If certain subgroups are too small (e.g., extremely rare genetic profiles), you may not have enough data to estimate the test&#8217;s performance reliably for them. This introduces higher uncertainty in the posterior results.</p></li></ul><h2><strong>How might the assumptions behind Bayes&#8217; Theorem break down in real clinical applications, and what are the potential remedies?</strong></h2><p>Bayes&#8217; Theorem rests on the idea of well-defined probabilities and independence assumptions where appropriate. Common issues include:</p><ul><li><p><strong>Mis-specified Priors</strong>: If you incorrectly estimate disease prevalence or risk factors, your posterior probabilities become skewed. Remedy: Regularly update prevalence estimates with recent epidemiological data and consider building robust or hierarchical priors.</p></li><li><p><strong>Non-Stationary Disease Patterns</strong>: A disease&#8217;s prevalence may shift rapidly due to new strains, seasonality, or public health interventions. Remedy: Implement dynamic models that allow the prior probability to evolve over time (e.g., state-space models).</p></li><li><p><strong>Test Condition Variability</strong>: A test&#8217;s sensitivity/specificity could fluctuate with different lab conditions or operator skills. Remedy: Calibrate test devices across sites, conduct periodic audits, and incorporate a measure of variability in sensitivity and specificity into the Bayesian model.</p></li><li><p><strong>Violation of Independence</strong>: Often, multiple tests or repeated measures are correlated, especially if they use the same methodology. Remedy: Use models that explicitly capture correlation, like Bayesian hierarchical or multi-level models.</p></li></ul><h2><strong>Can false negatives be more problematic than false positives in certain situations, and how does Bayes&#8217; Theorem address this aspect?</strong></h2><p>Yes, a false negative means missing a diseased individual, potentially leading to delayed treatment or further spread of a contagious illness. By contrast, false positives may lead to emotional distress and unnecessary follow-up tests, but not necessarily immediate harm. Bayes&#8217; Theorem itself is neutral; it simply updates probabilities based on provided rates. However, the interpretation and consequences can differ:</p><ul><li><p><strong>Cost Analysis</strong>: In many real-world implementations, one weighs the cost of false negatives versus false positives. A test with high sensitivity (few false negatives) but a somewhat higher false positive rate might be acceptable if the disease is serious. For example, you might prefer to incorrectly flag healthy people for further screening rather than miss actual diseased individuals.</p></li><li><p><strong>Decision-Theoretic Extensions</strong>: Bayesian decision theory can incorporate loss functions, where missing a case is assigned a heavier penalty than a false alarm. This leads to an adjusted testing threshold or preference for certain test parameters (like maximizing sensitivity).</p></li><li><p><strong>Contextualizing Posterior Probabilities</strong>: If the posterior probability that someone has the disease is not extremely high, but the cost of missing that case is huge (say, for an extremely contagious and lethal disease), additional confirmatory testing may still be justified.</p></li></ul><h2><strong>How do Bayesian credible intervals or intervals of uncertainty apply to the estimated posterior probability?</strong></h2><p>When working with Bayesian methods, you can derive not only a single point estimate of (P(D \mid +)) but also an interval reflecting the uncertainty in that posterior probability. For instance:</p><ul><li><p><strong>Credible Interval vs. Confidence Interval</strong>: Unlike a frequentist confidence interval, a Bayesian credible interval has a direct interpretation: there&#8217;s a specified percentage (e.g., 95%) probability that the true probability of having the disease lies within that interval.</p></li><li><p><strong>Sources of Uncertainty</strong>: Uncertainty could come from limited data about the prevalence, uncertainty in sensitivity/specificity, or variations in sub-populations. If you treat these parameters as distributions rather than fixed values, your final posterior probability becomes a distribution as well.</p></li><li><p><strong>Practical Significance</strong>: A wide credible interval might indicate that you don&#8217;t have enough data to be confident about the true posterior probability. A narrow interval suggests a more reliable estimate. Clinicians can use that interval when counseling patients about the likelihood of disease and the need for additional testing.</p></li></ul><h2><strong>How could healthcare practitioners deal with changing or updated sensitivity and false positive rates as a test evolves over time?</strong></h2><p>Medical tests can improve or degrade due to hardware updates, refined lab procedures, or changes in reagents. Therefore, sensitivity or false positive rates might not remain static:</p><ul><li><p><strong>Periodic Recalibration</strong>: Regularly update the test parameters based on ongoing quality control data. As new data emerges, revise the distributions for sensitivity and false positive rate.</p></li><li><p><strong>Adaptive Bayesian Methods</strong>: In an adaptive framework, new test performance data is consistently integrated, leading to an updated posterior distribution for the test parameters themselves.</p></li><li><p><strong>Version Control for Tests</strong>: Each new version of the test might come with slightly different performance. It&#8217;s critical to track which version was used for each patient, so the correct parameters can be applied in the Bayesian update.</p></li><li><p><strong>Communication to Clinicians</strong>: If there is a known drift in test performance, doctors should be informed that the older parameters might no longer be accurate. This transparency ensures correct interpretation of results.</p></li></ul><h2><strong>What considerations arise if the cost or risk of the test itself is significant?</strong></h2><p>When the test is invasive, expensive, or carries its own health risks, a positive test result might not be worth the risk for low-probability cases. Bayes&#8217; Theorem still applies, but practical decision-making balances the expected benefit of accurate detection against the downside of conducting the test:</p><ul><li><p><strong>Pre-Test Risk Assessment</strong>: Doctors might administer simpler or cheaper tests first, or use risk questionnaires, to estimate an individual&#8217;s risk. Only those above a certain threshold proceed to the more costly or invasive test.</p></li><li><p><strong>Benefit-Risk Thresholds</strong>: Implement a threshold on the prior probability below which the test is deemed unjustifiable. This threshold can be informed by cost analyses or ethical concerns.</p></li><li><p><strong>Dynamic Protocols</strong>: In an iterative approach, a first-tier screening test with high sensitivity but moderate specificity might rule out most low-risk individuals, while only high-risk individuals proceed to the more accurate (but riskier) diagnostic procedure. Each tier is a Bayesian update on the prior.</p></li></ul><h2><strong>How might behavioral or psychological factors influence the interpretation of these Bayesian probabilities?</strong></h2><p>In medical practice, numbers alone do not always translate directly into patient decisions:</p><ul><li><p><strong>Risk Perception</strong>: Patients might interpret a 15% chance of having a disease as either trivial or devastating, depending on personal context and health beliefs.</p></li><li><p><strong>Confirmation Bias</strong>: A clinician or patient might hold a strong belief about the presence/absence of disease, skewing the interpretation of test results away from the strict Bayesian posterior.</p></li><li><p><strong>Communication Challenge</strong>: Explaining that a positive test result yields only a 15% chance of having the disease can be confusing. Healthcare providers must frame these probabilities in understandable terms (e.g., &#8220;15 out of 100 people with a positive result actually have the disease&#8221;).</p></li><li><p><strong>Informed Consent</strong>: Patients often consent to tests without fully grasping the implications of false positives/negatives. This can result in shock or disbelief when subsequent tests contradict an initial result.</p></li></ul><h2><strong>Could a conflicting test with different properties override the previous Bayes calculation?</strong></h2><p>If you have two distinct tests, each with different sensitivity and false positive rates, you can integrate both results:</p><ul><li><p><strong>Sequential Bayesian Updates</strong>: Take the posterior from the first test, treat it as the prior for the second test, and incorporate the second test&#8217;s likelihood. If the second test strongly disagrees with the first, it can shift the posterior significantly.</p></li><li><p><strong>Simultaneous Inference</strong>: In some cases, you might consider both tests in one unified model. For instance, you have:</p><ul><li><p>(P(+_1 \mid D)), (P(+_2 \mid D)) for the first and second test, respectively.</p></li><li><p>(P(+_1, +_2 \mid D) ) if they&#8217;re correlated.</p></li><li><p>(P(D)) as the prior.</p></li></ul><p>Then you combine them in a single Bayesian framework. This can be computationally more involved but yields a richer understanding.</p></li><li><p><strong>Conflict Resolution</strong>: If the two tests disagree profoundly, investigate potential reasons: Are the tests measuring different biomarkers? Is one test more prone to user error? Real-world resolution might involve a third, gold-standard test or additional clinical evidence (like patient symptoms, imaging results, etc.).</p></li></ul>]]></content:encoded></item><item><title><![CDATA[ML Interview Q Series: Iterative Error Analysis for Refining Models on Edge Cases]]></title><description><![CDATA[&#128218; Browse the full ML Interview series here.]]></description><link>https://www.rohan-paul.com/p/ml-interview-q-series-iterative-error</link><guid isPermaLink="false">https://www.rohan-paul.com/p/ml-interview-q-series-iterative-error</guid><pubDate>Thu, 12 Jun 2025 10:14:39 GMT</pubDate><enclosure url="https://substackcdn.com/image/fetch/$s_!HtAM!,f_auto,q_auto:good,fl_progressive:steep/https%3A%2F%2Fsubstack-post-media.s3.amazonaws.com%2Fpublic%2Fimages%2F738be3a1-889e-4689-b005-9d227882740b_1024x460.png" length="0" type="image/jpeg"/><content:encoded><![CDATA[<div class="captioned-image-container"><figure><a class="image-link image2 is-viewable-img" target="_blank" href="https://substackcdn.com/image/fetch/$s_!HtAM!,f_auto,q_auto:good,fl_progressive:steep/https%3A%2F%2Fsubstack-post-media.s3.amazonaws.com%2Fpublic%2Fimages%2F738be3a1-889e-4689-b005-9d227882740b_1024x460.png" data-component-name="Image2ToDOM"><div class="image2-inset"><picture><source type="image/webp" srcset="https://substackcdn.com/image/fetch/$s_!HtAM!,w_424,c_limit,f_webp,q_auto:good,fl_progressive:steep/https%3A%2F%2Fsubstack-post-media.s3.amazonaws.com%2Fpublic%2Fimages%2F738be3a1-889e-4689-b005-9d227882740b_1024x460.png 424w, https://substackcdn.com/image/fetch/$s_!HtAM!,w_848,c_limit,f_webp,q_auto:good,fl_progressive:steep/https%3A%2F%2Fsubstack-post-media.s3.amazonaws.com%2Fpublic%2Fimages%2F738be3a1-889e-4689-b005-9d227882740b_1024x460.png 848w, https://substackcdn.com/image/fetch/$s_!HtAM!,w_1272,c_limit,f_webp,q_auto:good,fl_progressive:steep/https%3A%2F%2Fsubstack-post-media.s3.amazonaws.com%2Fpublic%2Fimages%2F738be3a1-889e-4689-b005-9d227882740b_1024x460.png 1272w, https://substackcdn.com/image/fetch/$s_!HtAM!,w_1456,c_limit,f_webp,q_auto:good,fl_progressive:steep/https%3A%2F%2Fsubstack-post-media.s3.amazonaws.com%2Fpublic%2Fimages%2F738be3a1-889e-4689-b005-9d227882740b_1024x460.png 1456w" sizes="100vw"><img src="https://substackcdn.com/image/fetch/$s_!HtAM!,w_1456,c_limit,f_auto,q_auto:good,fl_progressive:steep/https%3A%2F%2Fsubstack-post-media.s3.amazonaws.com%2Fpublic%2Fimages%2F738be3a1-889e-4689-b005-9d227882740b_1024x460.png" width="1024" height="460" data-attrs="{&quot;src&quot;:&quot;https://substack-post-media.s3.amazonaws.com/public/images/738be3a1-889e-4689-b005-9d227882740b_1024x460.png&quot;,&quot;srcNoWatermark&quot;:null,&quot;fullscreen&quot;:null,&quot;imageSize&quot;:null,&quot;height&quot;:460,&quot;width&quot;:1024,&quot;resizeWidth&quot;:null,&quot;bytes&quot;:737456,&quot;alt&quot;:null,&quot;title&quot;:null,&quot;type&quot;:&quot;image/png&quot;,&quot;href&quot;:null,&quot;belowTheFold&quot;:false,&quot;topImage&quot;:true,&quot;internalRedirect&quot;:&quot;https://www.rohan-paul.com/i/165775141?img=https%3A%2F%2Fsubstack-post-media.s3.amazonaws.com%2Fpublic%2Fimages%2F738be3a1-889e-4689-b005-9d227882740b_1024x460.png&quot;,&quot;isProcessing&quot;:false,&quot;align&quot;:null,&quot;offset&quot;:false}" class="sizing-normal" alt="" srcset="https://substackcdn.com/image/fetch/$s_!HtAM!,w_424,c_limit,f_auto,q_auto:good,fl_progressive:steep/https%3A%2F%2Fsubstack-post-media.s3.amazonaws.com%2Fpublic%2Fimages%2F738be3a1-889e-4689-b005-9d227882740b_1024x460.png 424w, https://substackcdn.com/image/fetch/$s_!HtAM!,w_848,c_limit,f_auto,q_auto:good,fl_progressive:steep/https%3A%2F%2Fsubstack-post-media.s3.amazonaws.com%2Fpublic%2Fimages%2F738be3a1-889e-4689-b005-9d227882740b_1024x460.png 848w, https://substackcdn.com/image/fetch/$s_!HtAM!,w_1272,c_limit,f_auto,q_auto:good,fl_progressive:steep/https%3A%2F%2Fsubstack-post-media.s3.amazonaws.com%2Fpublic%2Fimages%2F738be3a1-889e-4689-b005-9d227882740b_1024x460.png 1272w, https://substackcdn.com/image/fetch/$s_!HtAM!,w_1456,c_limit,f_auto,q_auto:good,fl_progressive:steep/https%3A%2F%2Fsubstack-post-media.s3.amazonaws.com%2Fpublic%2Fimages%2F738be3a1-889e-4689-b005-9d227882740b_1024x460.png 1456w" sizes="100vw" fetchpriority="high"></picture><div class="image-link-expand"><div class="pencraft pc-display-flex pc-gap-8 pc-reset"><button tabindex="0" type="button" class="pencraft pc-reset pencraft icon-container restack-image"><svg role="img" width="20" height="20" viewBox="0 0 20 20" fill="none" stroke-width="1.5" stroke="var(--color-fg-primary)" stroke-linecap="round" stroke-linejoin="round" xmlns="http://www.w3.org/2000/svg"><g><title></title><path d="M2.53001 7.81595C3.49179 4.73911 6.43281 2.5 9.91173 2.5C13.1684 2.5 15.9537 4.46214 17.0852 7.23684L17.6179 8.67647M17.6179 8.67647L18.5002 4.26471M17.6179 8.67647L13.6473 6.91176M17.4995 12.1841C16.5378 15.2609 13.5967 17.5 10.1178 17.5C6.86118 17.5 4.07589 15.5379 2.94432 12.7632L2.41165 11.3235M2.41165 11.3235L1.5293 15.7353M2.41165 11.3235L6.38224 13.0882"></path></g></svg></button><button tabindex="0" type="button" class="pencraft pc-reset pencraft icon-container view-image"><svg xmlns="http://www.w3.org/2000/svg" width="20" height="20" viewBox="0 0 24 24" fill="none" stroke="currentColor" stroke-width="2" stroke-linecap="round" stroke-linejoin="round" class="lucide lucide-maximize2 lucide-maximize-2"><polyline points="15 3 21 3 21 9"></polyline><polyline points="9 21 3 21 3 15"></polyline><line x1="21" x2="14" y1="3" y2="10"></line><line x1="3" x2="10" y1="21" y2="14"></line></svg></button></div></div></div></a></figure></div><p>&#128218; Browse <strong><a href="https://rohanpaul.substack.com/s/ml-interview-series/archive?sort=new">the full ML Interview series here</a></strong>.</p><h2><strong>Error Analysis and Iteration: After deploying a model, you notice it consistently makes errors on a specific subset of cases (for example, images with poor lighting or a particular category of user input). How would you conduct error analysis to improve the model on these edge cases? *Describe a process: collect and examine mispredictions, identify patterns or commonalities, decide whether to get more training data for those cases, engineer new features, or adjust the model (or even create a special-case model). Emphasize the iterative nature of model improvement based on real-world feedback.*</strong></h2><p class="button-wrapper" data-attrs="{&quot;url&quot;:&quot;https://x.com/rohanpaul_ai&quot;,&quot;text&quot;:&quot;Connect with me on X (Twitter)&quot;,&quot;action&quot;:null,&quot;class&quot;:&quot;button-wrapper&quot;}" data-component-name="ButtonCreateButton"><a class="button primary button-wrapper" href="https://x.com/rohanpaul_ai"><span>Connect with me on X (Twitter)</span></a></p><p>High-Level Approach to Error Analysis and Model Iteration</p><p>Error analysis revolves around systematically examining where a trained model fails, identifying commonalities in those failures, then improving the model or data in a targeted manner. The general idea is to find a pattern in mispredictions, hypothesize why the model might be going wrong, and then address those issues with data strategies or model adjustments. This iterative process continues until errors are significantly reduced or better understood.</p><p>Identifying Mispredictions and Collecting the Data</p><p>It is useful to collect all instances where the model fails and to store or label them in a separate subset. Within a production environment, each time a user query or an incoming data sample leads to a poor prediction, that instance can be automatically logged. Once a sufficiently large subset of failing cases is collected, the next step is to group and manually inspect them to see whether there are recurring features or data conditions that cause the model to fail.</p><p>Searching for Patterns and Clusters of Errors</p><p>Once mispredictions are isolated, it helps to look for patterns. For image-based tasks, you might observe that poorly lit images or images with certain artifacts cause more confusion. For NLP tasks, you might find that certain language styles, slang, or domain-specific jargon result in incorrect outputs. One approach is to visually or programmatically cluster the mispredictions:</p><p>You could compute embeddings (for instance, using the latent representation from a neural network) for each erroneous sample and use a clustering algorithm (like k-means) to group them. Clusters that emerge might show that the model systematically struggles with a particular concept or data domain.</p><p>Root Cause Analysis</p><p>When a pattern is identified, the next step is to reason about the cause. It can be a data distribution shift, meaning the training data distribution did not match these special cases. Or it can be a lack of key features in the input. It might be that the architecture is not well-suited to handle certain variations (e.g., poor lighting conditions in images). Another possibility is that the model is overfitting to the most common patterns in the data and failing to generalize to rare scenarios.</p><p>Sometimes, an initial question is whether the label itself was correct or consistent. Especially in large-scale systems, label noise or annotation errors can cause a portion of mispredictions. Therefore, one aspect of root cause analysis is verifying the ground-truth labels to ensure the model isn&#8217;t &#8220;correctly&#8221; predicting an apparent mismatch because of human or mechanical annotator errors.</p><p>Data Gathering Strategies</p><p>If the primary issue is insufficient or poorly representative data for the problematic subset, acquiring or generating more examples of those edge cases can be extremely beneficial. This might involve:</p><p>Collecting more real-world samples from production, specifically focusing on the underrepresented edge conditions. Applying data augmentation. For instance, for images with poor lighting, you can systematically reduce brightness or add synthetic noise to the training images.</p><p>When applying data augmentation or seeking additional data, the aim is to ensure the model sees enough variety to generalize to the real-world distribution.</p><p>Feature Engineering</p><p>Model failures may arise because critical features are missing or not effectively utilized. This often requires domain expertise to think about new potential inputs. For example, if the problem arises in speech recognition under noisy conditions, you might consider additional acoustic features or specialized denoising steps. If the problem is in text classification for a particular domain, you might incorporate domain-specific lexicons or more advanced tokenization steps. These new features should be tested to confirm that they help reduce errors in the problematic subset.</p><p>Model Adjustments</p><p>Sometimes model architecture or hyperparameter tweaks can help. For instance:</p><p>Using a more robust loss function or adjusting class weighting if the failing subset belongs to a minority class. Increasing model capacity if the subset is consistently being misclassified and the model shows signs of underfitting. Using a specialized architecture, such as a different CNN configuration for images that handle low-light conditions better, or a domain-specific transformer in NLP tasks.</p><p>In certain scenarios, elaborate techniques like transfer learning can help if you have a pretrained model specialized for the type of data distribution your edge case belongs to.</p><p>Creating Specialized Models</p><p>Occasionally, it is more effective to create a separate specialized model for a known, consistently problematic domain. For example, if your application must handle typical daytime images and also nighttime images, you can train a dedicated nighttime model that focuses on the specific challenges of low-illumination. At inference time, a simple classifier (or a preliminary decision process) could decide which model to use. This approach can be more complicated operationally, but it can yield improvements if the original single model struggles with widely divergent distributions of data.</p><p>Iterative Feedback Loop</p><p>As soon as new data arrives or as new error modes are discovered, the error analysis process is repeated. The model can be retrained with additional data or new features. It is important to maintain an iterative loop:</p><p>Collect new mispredictions. Analyze and diagnose. Improve data or model. Deploy and collect further feedback.</p><p>Eventually, performance will plateau or will become good enough to meet the product or deployment requirements. Ongoing monitoring is recommended to catch regressions if the data distribution changes.</p><div class="captioned-image-container"><figure><a class="image-link image2 is-viewable-img" target="_blank" href="https://substackcdn.com/image/fetch/$s_!2MF2!,f_auto,q_auto:good,fl_progressive:steep/https%3A%2F%2Fsubstack-post-media.s3.amazonaws.com%2Fpublic%2Fimages%2Fa06d4584-0939-4b73-bf84-8e1de82e24b5_888x505.png" data-component-name="Image2ToDOM"><div class="image2-inset"><picture><source type="image/webp" srcset="https://substackcdn.com/image/fetch/$s_!2MF2!,w_424,c_limit,f_webp,q_auto:good,fl_progressive:steep/https%3A%2F%2Fsubstack-post-media.s3.amazonaws.com%2Fpublic%2Fimages%2Fa06d4584-0939-4b73-bf84-8e1de82e24b5_888x505.png 424w, https://substackcdn.com/image/fetch/$s_!2MF2!,w_848,c_limit,f_webp,q_auto:good,fl_progressive:steep/https%3A%2F%2Fsubstack-post-media.s3.amazonaws.com%2Fpublic%2Fimages%2Fa06d4584-0939-4b73-bf84-8e1de82e24b5_888x505.png 848w, https://substackcdn.com/image/fetch/$s_!2MF2!,w_1272,c_limit,f_webp,q_auto:good,fl_progressive:steep/https%3A%2F%2Fsubstack-post-media.s3.amazonaws.com%2Fpublic%2Fimages%2Fa06d4584-0939-4b73-bf84-8e1de82e24b5_888x505.png 1272w, https://substackcdn.com/image/fetch/$s_!2MF2!,w_1456,c_limit,f_webp,q_auto:good,fl_progressive:steep/https%3A%2F%2Fsubstack-post-media.s3.amazonaws.com%2Fpublic%2Fimages%2Fa06d4584-0939-4b73-bf84-8e1de82e24b5_888x505.png 1456w" sizes="100vw"><img src="https://substackcdn.com/image/fetch/$s_!2MF2!,w_1456,c_limit,f_auto,q_auto:good,fl_progressive:steep/https%3A%2F%2Fsubstack-post-media.s3.amazonaws.com%2Fpublic%2Fimages%2Fa06d4584-0939-4b73-bf84-8e1de82e24b5_888x505.png" width="888" height="505" data-attrs="{&quot;src&quot;:&quot;https://substack-post-media.s3.amazonaws.com/public/images/a06d4584-0939-4b73-bf84-8e1de82e24b5_888x505.png&quot;,&quot;srcNoWatermark&quot;:null,&quot;fullscreen&quot;:null,&quot;imageSize&quot;:null,&quot;height&quot;:505,&quot;width&quot;:888,&quot;resizeWidth&quot;:null,&quot;bytes&quot;:59054,&quot;alt&quot;:null,&quot;title&quot;:null,&quot;type&quot;:&quot;image/png&quot;,&quot;href&quot;:null,&quot;belowTheFold&quot;:true,&quot;topImage&quot;:false,&quot;internalRedirect&quot;:&quot;https://www.rohan-paul.com/i/165775141?img=https%3A%2F%2Fsubstack-post-media.s3.amazonaws.com%2Fpublic%2Fimages%2Fa06d4584-0939-4b73-bf84-8e1de82e24b5_888x505.png&quot;,&quot;isProcessing&quot;:false,&quot;align&quot;:null,&quot;offset&quot;:false}" class="sizing-normal" alt="" srcset="https://substackcdn.com/image/fetch/$s_!2MF2!,w_424,c_limit,f_auto,q_auto:good,fl_progressive:steep/https%3A%2F%2Fsubstack-post-media.s3.amazonaws.com%2Fpublic%2Fimages%2Fa06d4584-0939-4b73-bf84-8e1de82e24b5_888x505.png 424w, https://substackcdn.com/image/fetch/$s_!2MF2!,w_848,c_limit,f_auto,q_auto:good,fl_progressive:steep/https%3A%2F%2Fsubstack-post-media.s3.amazonaws.com%2Fpublic%2Fimages%2Fa06d4584-0939-4b73-bf84-8e1de82e24b5_888x505.png 848w, https://substackcdn.com/image/fetch/$s_!2MF2!,w_1272,c_limit,f_auto,q_auto:good,fl_progressive:steep/https%3A%2F%2Fsubstack-post-media.s3.amazonaws.com%2Fpublic%2Fimages%2Fa06d4584-0939-4b73-bf84-8e1de82e24b5_888x505.png 1272w, https://substackcdn.com/image/fetch/$s_!2MF2!,w_1456,c_limit,f_auto,q_auto:good,fl_progressive:steep/https%3A%2F%2Fsubstack-post-media.s3.amazonaws.com%2Fpublic%2Fimages%2Fa06d4584-0939-4b73-bf84-8e1de82e24b5_888x505.png 1456w" sizes="100vw" loading="lazy"></picture><div class="image-link-expand"><div class="pencraft pc-display-flex pc-gap-8 pc-reset"><button tabindex="0" type="button" class="pencraft pc-reset pencraft icon-container restack-image"><svg role="img" width="20" height="20" viewBox="0 0 20 20" fill="none" stroke-width="1.5" stroke="var(--color-fg-primary)" stroke-linecap="round" stroke-linejoin="round" xmlns="http://www.w3.org/2000/svg"><g><title></title><path d="M2.53001 7.81595C3.49179 4.73911 6.43281 2.5 9.91173 2.5C13.1684 2.5 15.9537 4.46214 17.0852 7.23684L17.6179 8.67647M17.6179 8.67647L18.5002 4.26471M17.6179 8.67647L13.6473 6.91176M17.4995 12.1841C16.5378 15.2609 13.5967 17.5 10.1178 17.5C6.86118 17.5 4.07589 15.5379 2.94432 12.7632L2.41165 11.3235M2.41165 11.3235L1.5293 15.7353M2.41165 11.3235L6.38224 13.0882"></path></g></svg></button><button tabindex="0" type="button" class="pencraft pc-reset pencraft icon-container view-image"><svg xmlns="http://www.w3.org/2000/svg" width="20" height="20" viewBox="0 0 24 24" fill="none" stroke="currentColor" stroke-width="2" stroke-linecap="round" stroke-linejoin="round" class="lucide lucide-maximize2 lucide-maximize-2"><polyline points="15 3 21 3 21 9"></polyline><polyline points="9 21 3 21 3 15"></polyline><line x1="21" x2="14" y1="3" y2="10"></line><line x1="3" x2="10" y1="21" y2="14"></line></svg></button></div></div></div></a></figure></div><p>In practice, you might keep a separate misclassification set S (all samples where the model predicts incorrectly) and measure:</p><div class="captioned-image-container"><figure><a class="image-link image2" target="_blank" href="https://substackcdn.com/image/fetch/$s_!xd1h!,f_auto,q_auto:good,fl_progressive:steep/https%3A%2F%2Fsubstack-post-media.s3.amazonaws.com%2Fpublic%2Fimages%2F7a057afa-3c77-4048-b18b-7819e7a75129_609x190.png" data-component-name="Image2ToDOM"><div class="image2-inset"><picture><source type="image/webp" srcset="https://substackcdn.com/image/fetch/$s_!xd1h!,w_424,c_limit,f_webp,q_auto:good,fl_progressive:steep/https%3A%2F%2Fsubstack-post-media.s3.amazonaws.com%2Fpublic%2Fimages%2F7a057afa-3c77-4048-b18b-7819e7a75129_609x190.png 424w, https://substackcdn.com/image/fetch/$s_!xd1h!,w_848,c_limit,f_webp,q_auto:good,fl_progressive:steep/https%3A%2F%2Fsubstack-post-media.s3.amazonaws.com%2Fpublic%2Fimages%2F7a057afa-3c77-4048-b18b-7819e7a75129_609x190.png 848w, https://substackcdn.com/image/fetch/$s_!xd1h!,w_1272,c_limit,f_webp,q_auto:good,fl_progressive:steep/https%3A%2F%2Fsubstack-post-media.s3.amazonaws.com%2Fpublic%2Fimages%2F7a057afa-3c77-4048-b18b-7819e7a75129_609x190.png 1272w, https://substackcdn.com/image/fetch/$s_!xd1h!,w_1456,c_limit,f_webp,q_auto:good,fl_progressive:steep/https%3A%2F%2Fsubstack-post-media.s3.amazonaws.com%2Fpublic%2Fimages%2F7a057afa-3c77-4048-b18b-7819e7a75129_609x190.png 1456w" sizes="100vw"><img src="https://substackcdn.com/image/fetch/$s_!xd1h!,w_1456,c_limit,f_auto,q_auto:good,fl_progressive:steep/https%3A%2F%2Fsubstack-post-media.s3.amazonaws.com%2Fpublic%2Fimages%2F7a057afa-3c77-4048-b18b-7819e7a75129_609x190.png" width="609" height="190" data-attrs="{&quot;src&quot;:&quot;https://substack-post-media.s3.amazonaws.com/public/images/7a057afa-3c77-4048-b18b-7819e7a75129_609x190.png&quot;,&quot;srcNoWatermark&quot;:null,&quot;fullscreen&quot;:null,&quot;imageSize&quot;:null,&quot;height&quot;:190,&quot;width&quot;:609,&quot;resizeWidth&quot;:null,&quot;bytes&quot;:17106,&quot;alt&quot;:null,&quot;title&quot;:null,&quot;type&quot;:&quot;image/png&quot;,&quot;href&quot;:null,&quot;belowTheFold&quot;:true,&quot;topImage&quot;:false,&quot;internalRedirect&quot;:&quot;https://www.rohan-paul.com/i/165775141?img=https%3A%2F%2Fsubstack-post-media.s3.amazonaws.com%2Fpublic%2Fimages%2F7a057afa-3c77-4048-b18b-7819e7a75129_609x190.png&quot;,&quot;isProcessing&quot;:false,&quot;align&quot;:null,&quot;offset&quot;:false}" class="sizing-normal" alt="" srcset="https://substackcdn.com/image/fetch/$s_!xd1h!,w_424,c_limit,f_auto,q_auto:good,fl_progressive:steep/https%3A%2F%2Fsubstack-post-media.s3.amazonaws.com%2Fpublic%2Fimages%2F7a057afa-3c77-4048-b18b-7819e7a75129_609x190.png 424w, https://substackcdn.com/image/fetch/$s_!xd1h!,w_848,c_limit,f_auto,q_auto:good,fl_progressive:steep/https%3A%2F%2Fsubstack-post-media.s3.amazonaws.com%2Fpublic%2Fimages%2F7a057afa-3c77-4048-b18b-7819e7a75129_609x190.png 848w, https://substackcdn.com/image/fetch/$s_!xd1h!,w_1272,c_limit,f_auto,q_auto:good,fl_progressive:steep/https%3A%2F%2Fsubstack-post-media.s3.amazonaws.com%2Fpublic%2Fimages%2F7a057afa-3c77-4048-b18b-7819e7a75129_609x190.png 1272w, https://substackcdn.com/image/fetch/$s_!xd1h!,w_1456,c_limit,f_auto,q_auto:good,fl_progressive:steep/https%3A%2F%2Fsubstack-post-media.s3.amazonaws.com%2Fpublic%2Fimages%2F7a057afa-3c77-4048-b18b-7819e7a75129_609x190.png 1456w" sizes="100vw" loading="lazy"></picture><div></div></div></a></figure></div><p>as the error specifically within that subset to monitor whether targeted improvements help reduce the error there.</p><p>Code Example for Error Collection and Analysis in Python</p><pre><code><code>import numpy as np
import torch

# Assume we have a PyTorch model and a DataLoader 'loader' that yields (inputs, labels).
# We'll collect mispredictions in a list.

mispredictions = []

model.eval()
with torch.no_grad():
    for inputs, labels in loader:
        outputs = model(inputs)
        _, predicted = torch.max(outputs, 1)
        # Compare predictions with labels
        incorrect_indices = (predicted != labels).nonzero(as_tuple=True)[0]
        # Store the mispredicted samples and relevant info
        for idx in incorrect_indices:
            mispredictions.append((inputs[idx], labels[idx], predicted[idx]))

# Now, 'mispredictions' can be analyzed further to look for patterns.
</code></code></pre><p>One might then visualize these mispredictions, group them by label or metadata, and see if certain categories appear repeatedly. If it is an image dataset, you might display them in a grid to visually inspect them. For text-based tasks, you might store them with the input text and the predicted vs. true label for further inspection.</p><div class="subscription-widget-wrap-editor" data-attrs="{&quot;url&quot;:&quot;https://www.rohan-paul.com/subscribe?&quot;,&quot;text&quot;:&quot;Subscribe&quot;,&quot;language&quot;:&quot;en&quot;}" data-component-name="SubscribeWidgetToDOM"><div class="subscription-widget show-subscribe"><div class="preamble"><p class="cta-caption">I write everyday for my readers on actionable AI. Subscribe and instantly get a 1300+ page Python book.</p></div><form class="subscription-widget-subscribe"><input type="email" class="email-input" name="email" placeholder="Type your email&#8230;" tabindex="-1"><input type="submit" class="button primary" value="Subscribe"><div class="fake-input-wrapper"><div class="fake-input"></div><div class="fake-button"></div></div></form></div></div><h2><strong>How would you handle highly imbalanced edge cases or rare scenarios?</strong></h2><p>When the edge case is exceedingly rare in production data, it might be difficult to gather enough training samples. This can lead to underrepresentation of that scenario in the training set, causing the model to ignore or fail to learn it properly. Potential solutions include oversampling, data augmentation, or generating synthetic data that resembles the real rare scenario. If feasible, a targeted data collection campaign that specifically seeks out the rare scenario can boost robustness. Another approach is to use class weighting or cost-sensitive training where mistakes on the rare class are penalized more heavily than on the majority classes.</p><p>In some instances, the model may show improved performance simply by artificially balancing the dataset. But it is critical to ensure that you are not introducing unrealistic distributions that cause your model to degrade in general scenarios. The balancing (or any data manipulation) must reflect the real domain as closely as possible.</p><h2><strong>What if you discover that the model is performing well on most metrics but fails on these edge cases that only affect a small fraction of users?</strong></h2><p>Even if the overall metrics (accuracy, F1 score, etc.) look good, an important aspect of product quality is ensuring that all user segments receive satisfactory performance. If the problematic subset belongs to high-value clients or can lead to disproportionate brand impact, the error analysis is crucial. You can:</p><p>Set up specialized monitoring and alerts to detect errors in the targeted subset. Conduct targeted improvements (data augmentation, specialized features, model ensembling) just for that subset. Conduct user acceptance testing or domain expert review specifically for those edge cases.</p><p>From a system-level perspective, you need to decide if investing in separate models or specialized tuning is justified. This depends on whether the cost and complexity of an additional specialized pipeline is offset by the gains in user experience or revenue.</p><h2><strong>Could you explain when it makes sense to build a separate model for edge cases versus continuing to rely on one comprehensive model?</strong></h2><p>A separate model might be more suitable if the edge cases represent an entirely different distribution or domain that is seldom encountered by the main model. For instance, if your main model processes standard English text but occasionally sees text in a niche dialect that it was never trained on, you might do better with a separate model tuned to that dialect. Another scenario is if you have an extremely large base dataset that has little to do with the special subset, and it becomes difficult for a single model to &#8220;pay attention&#8221; to the minority domain.</p><p>However, multiple models complicate deployment, maintenance, and monitoring. If you can incorporate domain-specific data into a single model through robust data augmentation and architecture changes, it might be more efficient to maintain one model. Typically, a specialized model approach is used for high-stakes or very distinct categories of data where the domain shift is too large for a single model to handle effectively.</p><h2><strong>How do you prevent overfitting when adding new data specifically for edge cases?</strong></h2><p>Overfitting can happen if you incorporate a small but specialized set of samples into your training process without careful validation. One strategy is to maintain a validation subset that includes a balanced mix of typical cases and edge cases. Monitoring performance on both the overall distribution and the specialized edge subset helps ensure you are not over-optimizing for those edge cases at the expense of general performance. Early stopping, regularization (such as dropout for neural networks), or using cross-validation can help detect if the model begins to fit noise in the new data.</p><p>Another consideration is using data augmentation or domain-consistent transformations to expand the volume of the newly acquired edge case data. This can reduce the risk of the model simply memorizing the small set of new samples.</p><h2><strong>How do you know when to stop iterating and improving on these edge cases?</strong></h2><p>The decision is product-driven: once errors on the edge cases fall below an acceptable threshold (based on user feedback, business requirements, or cost-benefit analyses), or additional model improvements become too costly compared to potential gains, you might pause iteration. There is a point of diminishing returns where collecting more specialized data or adding model complexity might not justify the improvements in performance.</p><p>If your system is mission-critical (like in medical diagnostics), you might never truly &#8220;stop&#8221; but instead continue to monitor performance and re-train on new data if drift or new edge cases arise. The iterative process is ongoing as long as performance or domain requirements evolve.</p><h2><strong>When would you consider advanced techniques for error analysis beyond basic grouping of mispredictions?</strong></h2><p>Simple grouping and visual inspection are often enough for smaller datasets or when you can easily see the patterns. However, in large-scale systems, advanced techniques such as embedding-based clustering, dimensionality reduction (e.g., t-SNE or UMAP), and interactive labeling interfaces become very valuable. These methods help reveal subtle structures or subgroups in the mispredictions that are hard to detect manually. You might also use advanced metrics like calibration error to see if the model is systematically over- or under-confident in certain subsets.</p><p>Furthermore, if you integrate external knowledge graphs or domain-specific constraints, you might discover that certain domain rules are consistently violated in mispredictions. This can be a powerful way to discover hidden or high-level reasons for errors, especially in NLP or structured data tasks.</p><h2><strong>Can you describe a strategy to handle changes in the distribution of data over time that lead to new edge cases?</strong></h2><p>This is typically referred to as dataset drift or distribution shift. The best practice is to build a pipeline that continuously monitors the distribution of incoming data. When new edge cases arise, you collect them, label them if necessary, and retrain the model. A champion-challenger approach can be used, where the existing &#8220;champion&#8221; model remains in production while a new &#8220;challenger&#8221; model is trained on the updated distribution. If the challenger shows improved performance on both the old and new distributions, it replaces the champion.</p><p>Active learning can also help in scenarios where labeling costs are high. The model can flag uncertain or potentially novel samples, focusing human labeling effort on the most ambiguous or drifting data regions. This ensures that the training dataset evolves alongside the real-world data distribution, reducing future mispredictions related to newly emerged edge cases.</p><h2><strong>How might you balance engineering resources when dealing with rare but severe failure modes?</strong></h2><p>This largely depends on the severity of the error and its impact. For example, in autonomous driving, even a rare failure mode can be catastrophic. You would likely invest a lot of engineering effort to ensure that your model can handle those edge cases. Conversely, if it is a minor inconvenience for a small set of users, you may choose to address it less aggressively. In practice, you can set up a priority system where each subset of errors is ranked according to frequency, severity, and business impact. This ensures resources are allocated to the areas that provide the best trade-off between effort and improvement.</p><p>The guiding principle is always balancing the cost of data collection, annotation, and model development against the potential gains in reliability and user satisfaction. In high-stakes applications, you often invest in advanced error analysis and specialized solutions for even the smallest subsets of errors.</p><div><hr></div><h2><strong>Below are additional follow-up questions</strong></h2><h2><strong>How would you handle a situation where the mispredictions vary across multiple slices of data, making it hard to pinpoint one single root cause?</strong></h2><p>When errors appear in different contexts, you can begin by categorizing mispredictions according to metadata such as input size, source device, or time of day. If multiple slices each have distinct failure modes, start by prioritizing those that have the greatest user or business impact. Look for commonalities across the slices: sometimes subtle or compound issues (like data preprocessing steps that behave differently for certain input types) cause failure in multiple seemingly separate slices.</p><p>A practical technique is to tag each sample with a set of attributes (like domain, user type, or environment conditions) and then slice the error data across these tags. You can visualize the performance for each attribute combination, potentially revealing multi-factor interactions. This multi-slice approach also highlights conflicting patterns (for example, a fix that helps &#8220;nighttime, high-motion images&#8221; but worsens &#8220;daytime, high-motion images&#8221;). The key is a systematic grouping strategy so no potentially important subpopulation remains hidden.</p><p>One pitfall is devoting too much effort to extremely rare slices that might be overrepresented in your error set simply because you are specifically collecting mispredictions there. Always confirm whether a slice truly represents a meaningful proportion of your real-world use cases, or whether it is a negligible anomaly. Another subtlety is that some errors might span categories or be caused by interplay between dataset biases, model architecture limitations, and training hyperparameters. You might end up implementing a layered solution that addresses each slice differently, or you might unify them with a more flexible model architecture once you see a shared root cause in data representation or model capacity.</p><h2><strong>What if the errors seem to occur under transient or ephemeral conditions that are difficult to replicate&#8212;like temporary user behavior changes or sudden environmental changes?</strong></h2><p>Ephemeral conditions, such as a sudden spike in unusual user inputs or environmental changes (e.g., a lighting anomaly in a camera feed that only happens under rare weather conditions), can be tricky. The first step is to confirm that these conditions were genuinely ephemeral rather than part of a larger distribution shift. If they are truly short-lived, a quick fix might be to filter or flag them, but for more persistent changes, a deeper solution is needed.</p><p>One approach is to implement a rolling buffer of training data to capture recent distributions. For example, if your application experiences random surges of user interest in specific topics, your model might need an adaptive training scheme that updates its parameters more frequently (online or continual learning). You might also incorporate data augmentation to simulate ephemeral conditions. If the ephemeral scenario is related to user behavior (like a meme or trend that spikes for a short time), you could adopt an active learning strategy that quickly labels these new inputs and retrains a portion of the model.</p><p>The biggest pitfall is overfitting to ephemeral data. If you quickly adapt or over-weight these unusual samples, you can damage performance on the core, stable distribution. Maintaining multiple versions of the model (or using domain detection) can help ensure that ephemeral changes do not permanently distort the model.</p><h2><strong>How do you address errors that only surface under high concurrency or heavy system load, which might not manifest in offline evaluations?</strong></h2><p>When errors appear under load conditions, you must verify that the problem is indeed with the model&#8217;s predictive quality rather than a system integration issue (for example, timeouts causing incomplete data, concurrency locks dropping packets, or latencies that disrupt feature extraction pipelines). First, gather logs of real-time inference: capture not only the raw input and output but also metadata such as request timestamps, system resource usage, or any internal timeouts.</p><p>By comparing predictions made during high load vs. normal conditions, you can see if the input data stream changes or if the model might be skipping certain computations when resources are constrained. If your model&#8217;s predictions degrade under heavy load, you might consider optimizing the model&#8217;s inference pipeline or scaling up resources to ensure stable data flow. In certain real-world pipelines, concurrency can cause race conditions that reorder data streams or lead to partial features, so you might implement synchronization checks to confirm your model is receiving the same type of input in heavy-load scenarios as in normal conditions.</p><p>A common pitfall is to immediately blame the model&#8217;s architecture or data when the root cause is in the surrounding system. Another subtle scenario is that under load, certain caching or approximate computations (like approximate nearest neighbors in recommendation systems) might be used, leading to inferior inputs that hamper performance. Debugging calls for detailed logging, plus stress tests in staging environments that replicate high concurrency.</p><h2><strong>How do you proceed if data collection for the problematic edge cases is heavily restricted by privacy or regulatory constraints?</strong></h2><p>When privacy rules limit data collection, you must rely on other tactics for improving performance on edge cases. Techniques like differential privacy can help glean aggregate insights while minimizing the risk of exposing personal data. Federated learning might be used if data cannot leave a user&#8217;s device: the model is trained locally on user devices and only aggregated updates are centralized. If these are not feasible, you can sometimes work with anonymized data or apply strict data de-identification pipelines.</p><p>One subtlety is ensuring that anonymized data still accurately represents the problematic edge case. Over-aggressive anonymization might strip away key features (like location or time) that are crucial for understanding the problem. Another challenge is regulatory compliance that might prevent you from storing raw data logs. In that situation, adopting in-place error analysis&#8212;where you run your analytics on user devices without streaming raw data back&#8212;can help. Methods like synthetic data generation that mirror the regulated domain can also be explored, but you must confirm that synthetic distributions capture the real nature of the edge scenario.</p><h2><strong>How do you determine if the model&#8217;s architecture is inherently not capturing complex data interactions, and how do you validate that hypothesis?</strong></h2><p>You can begin by analyzing residual errors using interpretability methods or by looking at the distribution of feature importance. If you notice that certain features or combinations of features systematically appear in the misclassified subset, and your current model architecture does not handle these interactions well (for example, you are using a shallow linear model on highly non-linear data), this may be a sign that the architecture is insufficient.</p><p>One strategy is to prototype a deeper or more expressive architecture (such as upgrading from a simple CNN to a more advanced architecture in image tasks) and see if that directly reduces errors on the problematic subset without detrimental overfitting. Another strategy is to incorporate domain-specific knowledge or richer feature engineering to see if that resolves the complexity. If you see consistent gains from these more expressive approaches, that is evidence the original architecture was a bottleneck.</p><p>However, switching architecture might not always be the right remedy. Sometimes the issue is data coverage or labeling inconsistency rather than the model&#8217;s representational capacity. So it&#8217;s crucial to run ablation studies on new architectures while controlling for data improvements. If the new architecture with the same data fails to fix the errors, it might suggest you need better data or labels, not necessarily a fancier model.</p><h2><strong>How would you incorporate interpretability or explainability methods specifically into your error analysis to identify root causes for failures?</strong></h2><p>In vision tasks, you can apply saliency maps or Grad-CAM to highlight which parts of an image the model attends to. If the mispredicted samples consistently show the model focusing on irrelevant regions (like the background instead of the subject), that suggests a data or training approach issue. In NLP tasks, attention heat maps or feature attribution methods can reveal whether the model is ignoring crucial tokens or over-weighting noise words.</p><p>By systematically generating these interpretability outputs for your mispredictions, you can look for patterns: maybe the model focuses on shadows in poorly lit images instead of the actual object. Or in text classification, it might be ignoring domain-specific jargon. If you see such patterns, you can refine data collection (e.g., gather more examples with varied backgrounds) or feature engineering (e.g., ensure domain-specific tokens receive enough representation).</p><p>Pitfalls include over-interpreting these visualizations, as they do not always perfectly reflect the model&#8217;s decision process. Also, some interpretability techniques can be computationally expensive, so you might sample a subset of the errors to analyze in-depth. Another subtlety is that for highly complex models with multiple attention layers (like large Transformers), a single interpretability tool can provide only partial insight, so you might combine multiple explainability methods.</p><h2><strong>How do you ensure model performance remains consistent across iterations while you focus on improving specific edge cases?</strong></h2><p>To maintain consistency, you need robust regression tests and versioned evaluation protocols. Each time you train a new model iteration, you evaluate on both the standard test set (covering the overall distribution) and a curated edge-case test set. You then compare metrics (accuracy, F1, precision/recall, or specialized metrics) across versions to ensure you have not regressed on the core distribution while enhancing edge-case performance.</p><p>Additionally, you can create a stable &#8220;golden set&#8221; that includes representative data from all important segments. For tasks like image classification, keep a carefully labeled set with examples from each known category and environment condition. Ensuring consistent performance means not only measuring aggregate metrics but also measuring them per category or subpopulation. Sometimes, you might use a weighted metric that emphasizes performance on critical edge cases more heavily.</p><p>A subtlety is deciding how to trade off small performance drops on the overall set against major gains on crucial edge cases. If you do not have a product-level weighting of these trade-offs, you risk flipping back and forth in performance across model versions. Clear acceptance criteria that specify allowable performance deltas for each segment can guide the iteration process.</p><h2><strong>How might you apply advanced debugging techniques, like integrated gradients for images or attention head analysis for NLP, to discover deeper reasons for model mispredictions?</strong></h2><p>Integrated gradients can show how each pixel (for images) or token (for text) contributes to the model&#8217;s output by integrating the gradients from a baseline input to the actual input. By running integrated gradients on your misclassified samples, you observe which parts of the input have the greatest influence on the prediction. If you see that the influences focus on extraneous areas (like a watermark on an image rather than the main subject) or random tokens in text classification, that indicates the model is learning spurious correlations.</p><p>Attention head analysis in Transformers for NLP can reveal if certain heads are focusing exclusively on punctuation or numerical tokens when they should be focusing on domain keywords. If you detect that multiple heads are ignoring the relevant domain terminology in the failing samples, you might incorporate specialized tokenizers or domain-adaptive pretraining.</p><p>A subtlety is that these explanations do not always map cleanly to human understanding. Some heads can be essential in ways not obvious from the raw attention patterns. Thus, it is often best to combine interpretability methods with manual domain expert review. Another subtlety is that running integrated gradients or attention analysis at scale can be computationally heavy, so you may need to sample or adapt your approach.</p><h2><strong>What strategies do you recommend for addressing potential bias or discriminatory behavior uncovered during error analysis?</strong></h2><p>If your analysis reveals that certain protected groups or demographic segments are disproportionately misclassified, you must investigate whether the training data is unbalanced or if the model is picking up sensitive attributes as a proxy for labels. One approach is to measure performance metrics stratified by demographic groups, ensuring parity or minimal disparity. If disparities are identified, you might use techniques such as re-weighting, balanced sampling, or debiasing regularization in the training process.</p><p>You can also adopt fairness constraints that require certain statistical parity or calibration across subgroups. Another step is to carefully audit your training data: perhaps it lacks enough samples from certain subpopulations. Correcting data representation is usually the most direct way to address bias. If data cannot be collected, you might consider synthetic oversampling or transfer learning from more diverse datasets.</p><p>A pitfall is inadvertently introducing new biases while trying to fix old ones. It is crucial to have domain experts and stakeholder representatives in the loop, especially for sensitive applications like credit scoring or healthcare. Another subtlety is that some fairness metrics can conflict with each other, so you must choose the definition of &#8220;fairness&#8221; that fits your application&#8217;s requirements.</p><h2><strong>How do you differentiate errors stemming from the pretrained backbone model (in a transfer learning scenario) versus errors introduced during the fine-tuning phase?</strong></h2><p>When you use large pretrained models, a portion of errors might be inherited from the pretraining data or pretraining tasks. Another portion might come from how you have fine-tuned on your domain-specific dataset. To distinguish these:</p><p>Evaluate the pretrained model on your data without fine-tuning (e.g., by freezing all layers and only updating the classification head). Compare its error patterns to the fully fine-tuned model. If the same samples are misclassified in both scenarios, it could indicate the backbone itself is lacking certain representational capacity for those edge cases. Gradually unfreeze layers. Look at changes in performance. If misclassifications appear or disappear when certain layers are unfrozen, you gain clues about where the deficiency lies. Use domain-adaptive pretraining. If the model&#8217;s performance improves significantly just by training on domain text (for NLP tasks) or domain images (for vision tasks), it suggests the root cause was missing domain-relevant context in the pretrained backbone.</p><p>A subtle scenario arises when the backbone is robust, but the classification head or the objective function used in fine-tuning is not well aligned with your data distribution. Checking your loss curves and overall data coverage in the fine-tuning set can help you identify whether you simply need more domain examples. Another subtlety is that some pretrained models have known artifacts (for example, a certain vision backbone might be biased towards certain shapes or textures learned from ImageNet). You might partially mitigate these artifacts by adding domain-specific normalization or additional layers that can override the biases in the backbone.</p>]]></content:encoded></item><item><title><![CDATA[ML Interview Q Series: Mitigating Training-Serving Skew with Robust ML Pipeline Validation and Monitoring.]]></title><description><![CDATA[&#128218; Browse the full ML Interview series here.]]></description><link>https://www.rohan-paul.com/p/ml-interview-q-series-mitigating-be4</link><guid isPermaLink="false">https://www.rohan-paul.com/p/ml-interview-q-series-mitigating-be4</guid><pubDate>Thu, 12 Jun 2025 10:10:57 GMT</pubDate><enclosure url="https://substackcdn.com/image/fetch/$s_!YKoG!,f_auto,q_auto:good,fl_progressive:steep/https%3A%2F%2Fsubstack-post-media.s3.amazonaws.com%2Fpublic%2Fimages%2F225f95c5-1106-47f8-922c-71478af97b8d_1024x572.png" length="0" type="image/jpeg"/><content:encoded><![CDATA[<div class="captioned-image-container"><figure><a class="image-link image2 is-viewable-img" target="_blank" href="https://substackcdn.com/image/fetch/$s_!YKoG!,f_auto,q_auto:good,fl_progressive:steep/https%3A%2F%2Fsubstack-post-media.s3.amazonaws.com%2Fpublic%2Fimages%2F225f95c5-1106-47f8-922c-71478af97b8d_1024x572.png" data-component-name="Image2ToDOM"><div class="image2-inset"><picture><source type="image/webp" srcset="https://substackcdn.com/image/fetch/$s_!YKoG!,w_424,c_limit,f_webp,q_auto:good,fl_progressive:steep/https%3A%2F%2Fsubstack-post-media.s3.amazonaws.com%2Fpublic%2Fimages%2F225f95c5-1106-47f8-922c-71478af97b8d_1024x572.png 424w, https://substackcdn.com/image/fetch/$s_!YKoG!,w_848,c_limit,f_webp,q_auto:good,fl_progressive:steep/https%3A%2F%2Fsubstack-post-media.s3.amazonaws.com%2Fpublic%2Fimages%2F225f95c5-1106-47f8-922c-71478af97b8d_1024x572.png 848w, https://substackcdn.com/image/fetch/$s_!YKoG!,w_1272,c_limit,f_webp,q_auto:good,fl_progressive:steep/https%3A%2F%2Fsubstack-post-media.s3.amazonaws.com%2Fpublic%2Fimages%2F225f95c5-1106-47f8-922c-71478af97b8d_1024x572.png 1272w, https://substackcdn.com/image/fetch/$s_!YKoG!,w_1456,c_limit,f_webp,q_auto:good,fl_progressive:steep/https%3A%2F%2Fsubstack-post-media.s3.amazonaws.com%2Fpublic%2Fimages%2F225f95c5-1106-47f8-922c-71478af97b8d_1024x572.png 1456w" sizes="100vw"><img src="https://substackcdn.com/image/fetch/$s_!YKoG!,w_1456,c_limit,f_auto,q_auto:good,fl_progressive:steep/https%3A%2F%2Fsubstack-post-media.s3.amazonaws.com%2Fpublic%2Fimages%2F225f95c5-1106-47f8-922c-71478af97b8d_1024x572.png" width="1024" height="572" data-attrs="{&quot;src&quot;:&quot;https://substack-post-media.s3.amazonaws.com/public/images/225f95c5-1106-47f8-922c-71478af97b8d_1024x572.png&quot;,&quot;srcNoWatermark&quot;:null,&quot;fullscreen&quot;:null,&quot;imageSize&quot;:null,&quot;height&quot;:572,&quot;width&quot;:1024,&quot;resizeWidth&quot;:null,&quot;bytes&quot;:1062672,&quot;alt&quot;:null,&quot;title&quot;:null,&quot;type&quot;:&quot;image/png&quot;,&quot;href&quot;:null,&quot;belowTheFold&quot;:false,&quot;topImage&quot;:true,&quot;internalRedirect&quot;:&quot;https://www.rohan-paul.com/i/165774999?img=https%3A%2F%2Fsubstack-post-media.s3.amazonaws.com%2Fpublic%2Fimages%2F225f95c5-1106-47f8-922c-71478af97b8d_1024x572.png&quot;,&quot;isProcessing&quot;:false,&quot;align&quot;:null,&quot;offset&quot;:false}" class="sizing-normal" alt="" srcset="https://substackcdn.com/image/fetch/$s_!YKoG!,w_424,c_limit,f_auto,q_auto:good,fl_progressive:steep/https%3A%2F%2Fsubstack-post-media.s3.amazonaws.com%2Fpublic%2Fimages%2F225f95c5-1106-47f8-922c-71478af97b8d_1024x572.png 424w, https://substackcdn.com/image/fetch/$s_!YKoG!,w_848,c_limit,f_auto,q_auto:good,fl_progressive:steep/https%3A%2F%2Fsubstack-post-media.s3.amazonaws.com%2Fpublic%2Fimages%2F225f95c5-1106-47f8-922c-71478af97b8d_1024x572.png 848w, https://substackcdn.com/image/fetch/$s_!YKoG!,w_1272,c_limit,f_auto,q_auto:good,fl_progressive:steep/https%3A%2F%2Fsubstack-post-media.s3.amazonaws.com%2Fpublic%2Fimages%2F225f95c5-1106-47f8-922c-71478af97b8d_1024x572.png 1272w, https://substackcdn.com/image/fetch/$s_!YKoG!,w_1456,c_limit,f_auto,q_auto:good,fl_progressive:steep/https%3A%2F%2Fsubstack-post-media.s3.amazonaws.com%2Fpublic%2Fimages%2F225f95c5-1106-47f8-922c-71478af97b8d_1024x572.png 1456w" sizes="100vw" fetchpriority="high"></picture><div class="image-link-expand"><div class="pencraft pc-display-flex pc-gap-8 pc-reset"><button tabindex="0" type="button" class="pencraft pc-reset pencraft icon-container restack-image"><svg role="img" width="20" height="20" viewBox="0 0 20 20" fill="none" stroke-width="1.5" stroke="var(--color-fg-primary)" stroke-linecap="round" stroke-linejoin="round" xmlns="http://www.w3.org/2000/svg"><g><title></title><path d="M2.53001 7.81595C3.49179 4.73911 6.43281 2.5 9.91173 2.5C13.1684 2.5 15.9537 4.46214 17.0852 7.23684L17.6179 8.67647M17.6179 8.67647L18.5002 4.26471M17.6179 8.67647L13.6473 6.91176M17.4995 12.1841C16.5378 15.2609 13.5967 17.5 10.1178 17.5C6.86118 17.5 4.07589 15.5379 2.94432 12.7632L2.41165 11.3235M2.41165 11.3235L1.5293 15.7353M2.41165 11.3235L6.38224 13.0882"></path></g></svg></button><button tabindex="0" type="button" class="pencraft pc-reset pencraft icon-container view-image"><svg xmlns="http://www.w3.org/2000/svg" width="20" height="20" viewBox="0 0 24 24" fill="none" stroke="currentColor" stroke-width="2" stroke-linecap="round" stroke-linejoin="round" class="lucide lucide-maximize2 lucide-maximize-2"><polyline points="15 3 21 3 21 9"></polyline><polyline points="9 21 3 21 3 15"></polyline><line x1="21" x2="14" y1="3" y2="10"></line><line x1="3" x2="10" y1="21" y2="14"></line></svg></button></div></div></div></a></figure></div><p>&#128218; Browse <strong><a href="https://rohanpaul.substack.com/s/ml-interview-series/archive?sort=new">the full ML Interview series here</a></strong>.</p><h2><strong>Training-Serving Skew: What is training-serving skew in the context of ML deployments, and how can it happen? *Give an example, such as a feature that is available at training time (perhaps through data leakage or hindsight) but not available or reliable in real-time serving. Explain how you would identify and prevent such issues &#8211; for instance, by simulating the production data pipeline during validation, and monitoring for feature drift or mismatches.*</strong></h2><p class="button-wrapper" data-attrs="{&quot;url&quot;:&quot;https://x.com/rohanpaul_ai&quot;,&quot;text&quot;:&quot;Connect with me on X (Twitter)&quot;,&quot;action&quot;:null,&quot;class&quot;:&quot;button-wrapper&quot;}" data-component-name="ButtonCreateButton"><a class="button primary button-wrapper" href="https://x.com/rohanpaul_ai"><span>Connect with me on X (Twitter)</span></a></p><p>Understanding Training-Serving Skew Training-serving skew is the discrepancy or mismatch between the data, features, or transformations used during model training versus those used at inference (serving) time. Even if a model is trained perfectly, if at serving time the model sees data that differs significantly from training data (in distribution, feature representations, or transformations), its predictions may degrade substantially.</p><p>Why It Occurs Training-serving skew typically arises from inconsistencies in data processing or availability. These inconsistencies might come from:</p><p><strong>Different Data Pipelines</strong> Sometimes an organization develops and tests a model using a training pipeline with certain steps or libraries, but in production a different set of transformations are implemented. Even small discrepancies&#8212;such as different rounding rules or different missing-value handling&#8212;can introduce skew.</p><p><strong>Data Leakage / Hindsight Bias</strong> Data that is available only after the fact might accidentally be included in the training set. In real-time scenarios, that feature may not be available or reliable. For example, including a future event label in a training feature that was never truly available at the time of prediction.</p><p><strong>Feature Engineering Mismatches</strong> One might do complex feature engineering offline, but not replicate it exactly in the production environment. If different code is used to transform features offline vs. online, there is potential for misalignment.</p><p><strong>Scaling or Normalization Differences</strong> If the training environment uses one set of statistics (such as mean and variance) for normalization, but the production environment uses stale or different statistics, predictions might be skewed.</p><p>Example Scenario Consider a model predicting churn for a subscription service. During training, a data scientist might use the actual cancellation date of users as a feature to determine "time until cancellation," thinking it helps the model. That data is indeed powerful, but it isn&#8217;t actually available at inference time for a new user who hasn&#8217;t canceled yet. This is a classical data leakage scenario. In production, you cannot know the day a user might cancel in the future, so the model ends up encountering a missing or invalid feature.</p><p>Identifying and Preventing Skew</p><p><strong>Mirror the Production Data Pipeline During Validation</strong> A robust approach is to ensure the same transformations and data collection logic used in production are also used during training and validation. This can be done by containerizing feature generation code in a single library or code repository so that offline and online transformations remain identical.</p><p><strong>Monitor for Feature Drift or Mismatches</strong> During production, keep track of summary statistics of incoming data and compare them to the statistics from the training data (means, standard deviations, histograms). If distributions differ meaningfully, you might be facing drift or pipeline issues.</p><p><strong>Check for Data Leakage</strong> Systematically verify each feature to ensure it is known at prediction time. If a feature depends on labels or future events, it&#8217;s a red flag that it shouldn&#8217;t be part of the training pipeline.</p><p><strong>Implement Integration Tests</strong> Tests can compare the output of offline and online feature transformations on the same raw input, ensuring they produce the same results.</p><p><strong>Versioning of Datasets and Code</strong> Store dataset versions and transformation code versions in a reproducible manner (e.g., with consistent data lake or feature store pipelines). This also helps rollback if you detect unexpected skew.</p><p><strong>Practical Code Example of Checking for Skew</strong> Below is a simplified example that simulates how you might detect mismatches in the mean of a particular feature during offline training vs. production logs:</p><pre><code><code>import numpy as np
import pandas as pd

# Simulated training data
train_data = pd.DataFrame({
    'feature_x': np.random.normal(loc=10, scale=2, size=1000)
})

# Simulated production logs for the same feature
production_data = pd.DataFrame({
    'feature_x': np.random.normal(loc=10.5, scale=2.5, size=1000)
})

train_mean = train_data['feature_x'].mean()
production_mean = production_data['feature_x'].mean()

threshold = 0.5  # example threshold for suspicious drift
difference = abs(train_mean - production_mean)

if difference &gt; threshold:
    print(f"Potential skew detected! Training mean={train_mean}, Production mean={production_mean}")
else:
    print(f"No skew detected. Training mean={train_mean}, Production mean={production_mean}")
</code></code></pre><p>If you spot that the production distribution is shifting or that certain transformations differ, that might indicate training-serving skew.</p><div class="subscription-widget-wrap-editor" data-attrs="{&quot;url&quot;:&quot;https://www.rohan-paul.com/subscribe?&quot;,&quot;text&quot;:&quot;Subscribe&quot;,&quot;language&quot;:&quot;en&quot;}" data-component-name="SubscribeWidgetToDOM"><div class="subscription-widget show-subscribe"><div class="preamble"><p class="cta-caption">I write everyday for my readers on actionable AI. Subscribe and instantly get a 1300+ page Python book.</p></div><form class="subscription-widget-subscribe"><input type="email" class="email-input" name="email" placeholder="Type your email&#8230;" tabindex="-1"><input type="submit" class="button primary" value="Subscribe"><div class="fake-input-wrapper"><div class="fake-input"></div><div class="fake-button"></div></div></form></div></div><h2><strong>How would you handle real-time constraints vs. offline computations?</strong></h2><p>When dealing with real-time model serving, many features engineered offline might be expensive to compute on the fly. This can encourage data scientists to rely on offline aggregates that become stale at inference. If the computed aggregates in production lag too far behind the training date ranges, it introduces drift.</p><p>One effective solution is to set up near-real-time or streaming pipelines (for example, with Apache Kafka or other streaming platforms) that update critical aggregates frequently. Another is to re-train or update your model as needed, ensuring the feature representation stays in sync with real-time availability.</p><h2><strong>How do you ensure the same transformations are applied both offline and online?</strong></h2><p>A standard approach is to encapsulate data transformations in a shared library or service. For instance, if using Python for feature transformations, one can create a dedicated repository with functions or classes that handle tasks like missing-value imputation, scaling, categorical encoding, etc. These same functions are then imported in the offline pipeline for training and used in the production (online) service to process incoming data.</p><p>In addition, if you deploy your model in a system like TensorFlow Serving or TorchServe, you might store the pre-processing logic in the model artifacts or a preprocessing layer that is automatically applied before inference. Hugging Face Transformers, for instance, provides tokenizers that are saved with the model checkpoint so that tokenization is consistent across training and serving.</p><h2><strong>How would you detect data leakage at training time?</strong></h2><p>You can systematically investigate each feature to confirm whether it could logically be known at the time of prediction. Any feature that relies on future knowledge or the label itself is a potential source of leakage.</p><p>Additionally, you can try a &#8220;time-based&#8221; validation strategy: for each training instance, only use features from the past relative to that time. If the model sees information from the future, that is data leakage.</p><p>A more advanced approach is to compute the correlation between each feature and the label or to run feature importance analyses. Extremely high correlation might indicate potential leakage. However, correlation alone can be misleading, so domain knowledge about data availability is the key.</p><h2><strong>What is a &#8220;feature store&#8221; and how does it help with preventing skew?</strong></h2><p>A feature store is a specialized system for ingesting, transforming, and serving features in both offline and online settings. The offline store is used for historical batch training, while the online store serves up-to-date feature values to production models. By centralizing feature transformations (typically as code or data pipelines) and ensuring consistent definitions, a feature store significantly reduces the risk of differences between training and serving pipelines.</p><p>It can also track feature lineage (i.e., how each feature was generated), making it easier to ensure that the same logic used during training is also used in serving.</p><h2><strong>How do you test for training-serving skew in practice?</strong></h2><p>You can create integration tests that feed the same raw data through the training pipeline and the production pipeline, then compare the final transformed features or model outputs. If they diverge significantly, that indicates potential training-serving skew.</p><p>Furthermore, after deploying a model, you can shadow test it by running an older (validated) model in parallel with the new one, on the same live traffic. Then, compare their outputs. If the newly deployed model is unexpectedly different in patterns (or if it degrades performance metrics), it could be an indicator of skew.</p><h2><strong>How would you handle the case where a data source used at training time becomes partially unavailable at serving time?</strong></h2><p>A robust approach is to design fallback mechanisms. For example, if one data source is temporarily down, you might have a default or imputed feature value (like a mean or a special indicator). You should train the model with such fallback logic in mind to avoid unexpected behavior in production.</p><p>In addition, you can incorporate sensors or alerts in your pipeline that detect when a critical data source is missing or stale. If these sensors trigger, the system can degrade gracefully, temporarily serve a simpler or older model, or notify engineers to fix the pipeline.</p><h2><strong>How do you monitor for skew over time?</strong></h2><p>Setting up real-time or near-real-time monitoring for feature distributions is key. One might periodically compute descriptive statistics on incoming data, such as means, variances, cardinalities of categorical features, or histogram bins. Then one compares these against baseline training distributions or recently updated baselines to see if the data distribution has drifted.</p><p>You can also monitor the actual predictions, as well as subsequent ground-truth labels, to see if the model&#8217;s performance is dropping. Significant drops in accuracy or other KPIs might be a sign that training-serving skew or data drift has occurred.</p><h2><strong>How do you deal with domain shifts that cause skew?</strong></h2><p>Domain shifts, where the underlying data distribution changes due to external factors (e.g., user behavior changes, economic changes), cannot be fully prevented. However, frequent model retraining, robust data versioning, and continuous monitoring help detect and address these changes quickly. If domain knowledge suggests seasonal changes or sudden shifts due to policy changes, you can incorporate that knowledge into scheduled retraining cycles or earlier detection of drift.</p><h2><strong>How do you combine offline A/B testing and production shadow testing to detect skew?</strong></h2><p>One strategy is to do offline evaluation first on historical data that mimics production. Next, you deploy a &#8220;shadow model&#8221; in production that receives the same inference requests as the live model but does not influence the user-facing outcome. You log the shadow model&#8217;s inputs, outputs, and any divergences between offline transformations and live transformations. If the shadow model&#8217;s outputs match your offline predictions, that suggests minimal skew. If there is a large discrepancy, investigate differences in feature values or transformations.</p><h2><strong>What if the training data pipeline depends on big batch jobs, and real-time serving is done in microservices?</strong></h2><p>When batch jobs are used to generate large amounts of data, you must ensure that those same transformations (imputations, aggregations, etc.) are reflected in microservices code. One way is to code transformations in a functionally identical manner, possibly by using a single code repository or &#8220;feature store&#8221; approach, as mentioned. Thorough testing is crucial to confirm that the microservices replicate exactly the same logic the batch pipeline used.</p><h2><strong>How do you address subtle differences in data types?</strong></h2><p>Sometimes a feature is stored as a float during training but might be cast as an integer in production. This can cause minor but cumulative distortions. The best practice is to define a schema or contract for each feature, including data type and any enumerations. Enforce that schema both in training and at serving time. If a mismatch occurs (e.g., a float is being truncated to an int), the pipeline should raise an error or warning so you can fix it before the model receives invalid inputs.</p><h2><strong>How do you ensure reproducibility and traceability?</strong></h2><p>Version-control everything: the dataset (or the queries that generate the dataset), the feature engineering code, the model artifacts, and the environment (Docker containers, Conda environments, etc.). This makes it possible to roll back to a previous version if you detect skew issues or replicate your exact training environment for debugging. A well-documented MLOps pipeline ensures that each stage&#8212;data ingestion, feature engineering, model training, model validation, and model serving&#8212;can be tied to a specific code commit and configuration.</p><h2><strong>How do you handle real-time transformations that depend on historical data?</strong></h2><p>Sometimes you need the last 7-day average of user activity or the sum of certain events in the last 24 hours. To prevent skew, you should compute those aggregates in a consistent and up-to-date manner at serving time. One approach is using streaming frameworks to continuously update rolling windows. Another approach is storing those aggregates in a real-time database that the inference code can query. In all cases, ensure you replicate the same logic you used in your offline training environment.</p><h2><strong>How do you mitigate risk in highly regulated industries?</strong></h2><p>Regulated industries (finance, healthcare, etc.) can have strict auditing and compliance requirements. You may need to demonstrate that the same logic used in training is used in production. Using a single repository for feature engineering code and employing strong logging and versioning across the entire pipeline can help. You might also need to store all intermediate transformations with timestamps, so external auditors can verify that no hidden data leakage or skew was introduced.</p><h2><strong>How do you track partial availability of features or latency concerns?</strong></h2><p>In real-time serving, some features might arrive with a delay. If the model depends on these delayed features, you can experience incomplete feature vectors at inference. You can solve this either by waiting for all features to arrive (which might impact latency), or by letting the model handle missing features gracefully. A robust approach is to evaluate which features are truly essential and design fallback policies for those that are optional. If a feature arrives late, the model can proceed with an imputed default.</p><h2><strong>How do you practically simulate production data pipelines during validation?</strong></h2><p>In many MLOps frameworks, you can stand up a staging environment that mirrors your production pipeline. You then run your validation or A/B tests there. This environment should ingest data in the same manner as production (using the same streaming or microservice calls). You measure whether the output features match the offline computed features. By diagnosing mismatches in staging, you avoid costly production failures.</p><h2><strong>How to monitor drift or mismatches over time?</strong></h2><p>Once your model is live, you can set up automated jobs (perhaps daily or weekly) that pull a random sample of production requests, log the input features, and compare them against what you expect those features to be based on the offline pipeline logic. This can be done by:</p><ul><li><p>Storing a small portion of real inference data.</p></li><li><p>Re-running that data through the offline pipeline.</p></li><li><p>Comparing the final transformed features.</p></li></ul><p>If you see statistically significant differences, you can investigate them immediately.</p><div><hr></div><h2><strong>Below are additional follow-up questions</strong></h2><h2><strong>How do you handle cases where different downstream consumers require different feature transformations, potentially causing inconsistencies?</strong></h2><p>One subtle challenge arises when multiple downstream consumers use the same dataset or model predictions in different ways. For instance, a recommendation engine may need embeddings in a specific normalized format, whereas an analytics team might prefer raw, unscaled data for business intelligence dashboards. These separate needs can introduce minor variations in how data or features are transformed and thus cause unexpected skew.</p><p>A thorough strategy involves:</p><ul><li><p>Centralizing transformations: Maintain a single canonical pipeline that transforms features consistently. If separate transformations are required, build them on top of the canonical pipeline rather than re-implementing from scratch.</p></li><li><p>Documenting transformation logic and versioning: Each consumer must know exactly which version of the feature or transformation they are using.</p></li><li><p>Validating multiple outputs: In test or staging environments, compare the &#8220;canonical&#8221; output to each specialized pipeline&#8217;s output to ensure no accidental discrepancies are introduced.</p></li></ul><p>Pitfall to note:</p><ul><li><p>Even slightly different transformations (e.g., rounding differences, bucketing intervals) can cause material performance degradation or inconsistent metrics in production.</p></li><li><p>If certain transformations significantly alter distributions, the model might not behave as expected for that consumer&#8217;s usage.</p></li></ul><h2><strong>What if the model depends on an external service whose interface might change or degrade?</strong></h2><p>Some production systems source features from third-party APIs or microservices. A classic example is credit scoring, where a model queries external credit bureaus for certain attributes. If the external service changes its schema or experiences downtime, your model might suddenly receive incomplete or differently formatted data.</p><p>Key mitigation steps include:</p><ul><li><p>Building robust error handling and default/fallback paths. If the external service call fails, the system should gracefully handle the missing features, using an imputed or placeholder value that the model has seen during training.</p></li><li><p>Periodic schema validation against the external service contract. If the service changes the format of a response field, your pipeline can detect it before it causes production failures.</p></li><li><p>Monitoring call success rates and response distribution from the external service. Sudden surges in timeouts or unexpected attribute values can signal potential skew.</p></li></ul><p>Edge cases:</p><ul><li><p>The external service might change the definition of a field (e.g., from &#8220;days since last delinquency&#8221; to &#8220;months since last delinquency&#8221;), drastically shifting the distribution.</p></li><li><p>If the service introduces a new category or a new enumeration that wasn&#8217;t in the training data, it could break your model&#8217;s feature encoding.</p></li></ul><h2><strong>How do you address inconsistencies in categorical feature encoding between training and serving?</strong></h2><p>Categorical data is often encoded into numerical form using techniques like label encoding or one-hot encoding. A mismatch in how categories are mapped to numerical values can introduce serious skew.</p><p>Ways to ensure consistency:</p><ul><li><p>Store the mapping dictionary used during training in a shared artifact or a feature store. Always reference that dictionary at serving time.</p></li><li><p>If a new category appears online (which the model was not trained on), decide how to handle it: either treat it as an &#8220;unknown&#8221; category or retrain the model to accommodate the new category.</p></li><li><p>Perform thorough integration tests where you pass known categories through the entire pipeline to confirm that the final representation is identical offline and online.</p></li></ul><p>Potential pitfalls:</p><ul><li><p>Label order might differ if you simply run something like a <code>LabelEncoder</code> in scikit-learn on the training data but never export the mapping.</p></li><li><p>For large-scale systems with hundreds of categories, accidental misalignment in category ordering can completely invalidate predictions.</p></li></ul><h2><strong>How do model ensembles exacerbate the risk of training-serving skew?</strong></h2><p>Ensembles can combine multiple models or submodels, each possibly requiring specific feature transformations or data streams. For instance, you might have:</p><ul><li><p>A gradient-boosted decision tree model (trained offline) that relies on aggregated features.</p></li><li><p>A neural network model (served in real-time) that needs raw or differently scaled inputs.</p></li><li><p>A rule-based or heuristic system that triggers only if certain conditions are met.</p></li></ul><p>This complexity increases the likelihood of pipeline mismatches:</p><ul><li><p>Each model in the ensemble might be built by a different team or rely on separate code repos for transformations.</p></li><li><p>If any sub-pipeline experiences drift, the final ensemble output might degrade unpredictably.</p></li></ul><p>Prevention:</p><ul><li><p>Enforce consistent cross-team coding standards or adopt a single MLOps platform.</p></li><li><p>Create integration tests at the ensemble level, verifying that each submodel receives the same data it was trained on.</p></li><li><p>Monitor each model&#8217;s contribution to the final prediction. If one submodel starts to diverge from expected behavior, it might indicate skew in that submodel&#8217;s pipeline.</p></li></ul><h2><strong>How can data versioning and artifact management tools help in preventing skew?</strong></h2><p>Using data versioning (e.g., DVC, MLflow, or a custom solution) means storing snapshots of your training datasets alongside model artifacts, transformation code, and environment metadata. By tying each model version to the exact dataset and transformation logic used during training, you can:</p><ul><li><p>Reproduce the environment in which the model was trained to debug any skew issues that arise later.</p></li><li><p>Roll back to a previous version if a new pipeline deployment inadvertently introduces transformations that cause mismatches.</p></li><li><p>Compare production requests (and partial data logs) to the stored training dataset, identifying whether new data distributions deviate significantly.</p></li></ul><p>Pitfalls:</p><ul><li><p>Maintaining versioned data can be expensive for very large datasets; thus, you might store only metadata or hashed references.</p></li><li><p>If versioning is partial or incomplete (e.g., transformations are updated in code but never re-tagged in the artifact repository), you can unknowingly reintroduce old transformations in production.</p></li></ul><h2><strong>How do you validate data transformations when using frameworks like Spark or Beam for batch jobs versus Python microservices for real-time inference?</strong></h2><p>In large-scale systems, batch transformations are often performed using Spark or Apache Beam, while real-time microservices might be written in Python or Java. Despite using the same &#8220;logic,&#8221; the actual implementations can differ subtly.</p><p>Comprehensive validation tactics:</p><ul><li><p>Create a small synthetic dataset with known values and pass it through both the Spark/Beam pipeline and the microservice pipeline. Compare the outputs at each transformation step.</p></li><li><p>For complex transformations (e.g., pivoting or window-based aggregations), replicate the logic in unit tests that run on a small subset of data where results are manually verifiable.</p></li><li><p>Document in detail how each transformation is implemented. If a function used in Spark has a slightly different default behavior (e.g., ignoring nulls differently), call it out explicitly and match that behavior in the microservice code.</p></li></ul><p>Potential edge cases:</p><ul><li><p>Null or missing values might be dropped in one pipeline but imputed in another.</p></li><li><p>Spark might use approximate algorithms for large-scale aggregations (such as approximate distinct counts) that differ from exact methods used in Python.</p></li></ul><h2><strong>How do you address temporal alignment issues that can cause training-serving skew?</strong></h2><p>Temporal alignment issues happen when the timestamps of features in the training set do not truly match the timestamps of the label or the moment of prediction. For example, you might inadvertently use a feature value from &#8220;the end of the day&#8221; to predict an event that occurs &#8220;in the morning,&#8221; effectively leaking the future.</p><p>To handle this:</p><ul><li><p>Strictly define the &#8220;prediction point&#8221; in time and only use data from before that point to construct features.</p></li><li><p>If you have rolling or historical features, ensure your batch pipeline aligns them with the correct time windows.</p></li><li><p>In streaming scenarios, incorporate event-time&#8211;based aggregations (rather than processing-time&#8211;based) to avoid using data that appears late in the stream but chronologically belongs to a time window in the future.</p></li></ul><p>Edge cases:</p><ul><li><p>Time zones or daylight savings can cause off-by-one or off-by-many-hours errors if not carefully managed.</p></li><li><p>Large latencies in data ingestion might cause certain events to be timestamped incorrectly, so your model sees them out of order in production.</p></li></ul><h2><strong>How do you ensure consistent random seed usage between training and inference for stochastic processes?</strong></h2><p>Some pipelines involve stochastic components, like dropout in deep networks or data augmentation in computer vision tasks. Although these are typically not used the same way in inference, certain processes (e.g., random sampling for data thinning or random cropping) might be required at both training and test time.</p><p>To preserve consistency when it&#8217;s necessary:</p><ul><li><p>Fix random seeds and store them in your configuration, ensuring that the transformations that must remain deterministic do so.</p></li><li><p>Carefully note which transformations should remain purely deterministic at serving time vs. which should be disabled (e.g., data augmentation typically is not done at inference).</p></li><li><p>In cross-validation or offline evaluation, replicate the exact random seed settings used in the production environment to see if there's any difference in distribution.</p></li></ul><p>Pitfalls:</p><ul><li><p>Overlooking the fact that some libraries have different default seeds or different random number generators.</p></li><li><p>Relying on environment-level seeds that might differ across container deployments or machine restarts.</p></li></ul><h2><strong>How do you handle models that evolve with feedback loops, potentially introducing skew over time?</strong></h2><p>In certain domains (recommendation systems, search engines, etc.), model inputs and outputs can create a feedback loop: for instance, the model&#8217;s recommendations may influence user behavior, and that behavior in turn influences future training data. If not monitored, this loop can introduce shifts or cause your training set to diverge from real-time patterns.</p><p>Prevention and monitoring:</p><ul><li><p>Regularly re-train or fine-tune on the most recent data so that the model sees the consequences of its own predictions.</p></li><li><p>Use exploration strategies that ensure you&#8217;re not only collecting feedback on a narrow subset of predictions.</p></li><li><p>Track changes in key engagement metrics or distribution shifts in the user population over time. A significant discrepancy might signal that your model is training on data that no longer matches real-world usage.</p></li></ul><p>Edge cases:</p><ul><li><p>If the model&#8217;s recommendations become self-fulfilling (e.g., it recommends the same items repeatedly, ignoring new items), your training distribution might not reflect broader possibilities, creating a skew that leads to poor generalization.</p></li><li><p>Negative feedback loops can also occur, where poor recommendations drive away users, creating less varied data for future training.</p></li></ul><h2><strong>How do you validate feature transformations at scale for very large datasets where manual inspection is impractical?</strong></h2><p>When dealing with terabytes of data, you cannot manually inspect all rows to confirm transformations. Instead:</p><ul><li><p>Use statistical checks: For each feature, compute aggregated statistics (mean, min, max, percentiles) and compare them between the training pipeline output and a sample of production pipeline output.</p></li><li><p>Implement anomaly detection: Flag abrupt changes in standard deviations or category frequencies.</p></li><li><p>Employ sampling and stratification: Randomly sample subsets of data in different categories, then compare transformations offline vs. online.</p></li></ul><p>Key pitfalls:</p><ul><li><p>Relying solely on aggregated statistics might miss certain corner cases if they are rare but impactful.</p></li><li><p>If data is highly skewed (e.g., heavy-tailed distributions), standard means and variances might not reveal subtle but important mismatches in the tail of the distribution.</p></li></ul><h2><strong>How do you deal with environment-specific dependencies in your data pipeline?</strong></h2><p>In complex enterprise environments, the code that generates features may rely on environment-specific dependencies&#8212;like environment variables, credentials, or library versions. If your training environment is slightly different from your production environment, these dependencies might generate inconsistent results.</p><p>Mitigation strategies:</p><ul><li><p>Containerization: Package all code and dependencies into a Docker image or a similar environment that is promoted from development to staging to production.</p></li><li><p>Infrastructure as code: Automate provisioning of identical software environments in each stage.</p></li><li><p>Automated verification checks: After deploying a new environment, run a test suite that specifically checks whether transformations produce identical outputs as in the old environment.</p></li></ul><p>Edge cases:</p><ul><li><p>Different operating system locales might handle numeric formatting or date parsing differently.</p></li><li><p>Subtle differences in library versions (e.g., a minor version upgrade in scikit-learn) may alter the default behavior of an algorithm or transformation method.</p></li></ul><h2><strong>What strategies can you employ if you must combine streaming real-time data with a batch-based historical dataset in the same model?</strong></h2><p>Hybrid data setups occur when you have a large historical dataset for the initial training but also incorporate real-time signals that arrive continuously. This mixture can produce skew if the real-time signals are processed or aggregated differently than in your batch data.</p><p>Potential strategies:</p><ul><li><p>Use a lambda or kappa architecture pattern, where a batch layer and a speed (real-time) layer exist. Ensure both layers share the same transformation logic by referencing a unified code base or feature store.</p></li><li><p>Maintain incremental aggregates: The batch system might produce daily aggregates, while a streaming system updates the partial day aggregates in near-real-time. The model then merges these.</p></li><li><p>Align your data ingestion times carefully. If you train with daily snapshots but serve in 5-minute increments, be aware of the mismatch in recency.</p></li></ul><p>Pitfalls:</p><ul><li><p>Data alignment issues, where partial day aggregates might not match the more complete daily aggregates used in training.</p></li><li><p>If streaming data is highly volatile, the real-time distribution might drift from the stable distribution in historical daily snapshots, leading to underperformance.</p></li></ul><h2><strong>How do you handle complex feature transformations that involve text, images, or other unstructured data?</strong></h2><p>For unstructured data, the transformations can be extensive: tokenization for text, feature extraction for images, or audio spectrogram creation for voice data. These transformations need to be perfectly mirrored between training and serving.</p><p>Potential solutions:</p><ul><li><p>Serialize preprocessing artifacts: For text, store the exact tokenizer vocabulary and parameters used. For images, store the exact resizing, cropping, and normalization logic. Then apply them identically at inference time (e.g., with a library that shares the same config).</p></li><li><p>Employ pipelines with integrated preprocessing layers: Frameworks like TensorFlow or PyTorch can include data preprocessing layers in the computational graph or model definition, ensuring consistency.</p></li><li><p>Thorough testing: Pass a controlled set of text or images through both the training pipeline and the serving pipeline, verifying that the final tensors match.</p></li></ul><p>Edge cases:</p><ul><li><p>If you rely on third-party libraries or external APIs for text normalization (e.g., language detection, advanced tokenization), updates to those libraries or differences in language model versions can subtly alter the output.</p></li><li><p>For images, even a small difference in color space or compression can degrade model performance.</p></li></ul><h2><strong>How do you handle frequent schema changes in a rapidly evolving data environment?</strong></h2><p>In some organizations, the underlying data schema&#8212;tables, columns, data formats&#8212;changes often due to new product features or re-engineered data warehouses. This can break your pipelines if not managed carefully.</p><p>Mitigation tactics:</p><ul><li><p>Use schema validation and automated checks that alert you whenever a column is renamed, removed, or newly added.</p></li><li><p>Deploy a robust feature store that can track changes in feature definitions. When a schema change is detected, the store can prevent or block the pipeline from generating inconsistent data until adjustments are made.</p></li><li><p>Maintain backward compatibility: If you anticipate frequent schema changes, consider designing transformations that gracefully handle missing columns or additional columns without failing.</p></li></ul><p>Potential pitfalls:</p><ul><li><p>Quick changes that aren&#8217;t documented can cause subtle differences in feature definitions, leading to silent performance drops.</p></li><li><p>In high-velocity data environments, you might have multiple versions of the schema co-existing in different data partitions, further complicating training-serving alignment.</p></li></ul><h2><strong>How do you approach debugging once you detect that your model performance in production is lower than expected due to suspected skew?</strong></h2><p>If you see a notable drop in metrics or suspect skew:</p><ol><li><p><strong>Compare raw inputs</strong>: Gather a sample of production requests and compare them to the training set. Check if the range, distribution, or presence of features is consistent.</p></li><li><p><strong>Check feature transformations</strong>: Run the same raw input through both the offline training code and the online serving code. Identify mismatches in intermediate steps (e.g., missing one-hot categories, inconsistent normalization).</p></li><li><p><strong>Inspect logs and telemetry</strong>: See if certain features are missing or erroneous in production logs.</p></li><li><p><strong>Partial rollback or shadow deployment</strong>: Temporarily revert to a known good version or run a shadow model with verified transformations to confirm the performance difference.</p></li><li><p><strong>Dive deeper</strong>: If a single feature is highly predictive, focus on verifying that particular feature&#8217;s generation pipeline.</p></li></ol><p>Pitfalls:</p><ul><li><p>Over-focusing on a single metric might miss that the skew is localized to a particular segment (e.g., new users or certain regions).</p></li><li><p>Skew might be intermittent&#8212;caused by sporadic pipeline failures&#8212;making it harder to detect if you only look at aggregated daily logs.</p></li></ul>]]></content:encoded></item><item><title><![CDATA[ML Interview Q Series: Efficient Hyperparameter Search: Comparing Grid, Random, Bayesian Optimization & Automated Tools.]]></title><description><![CDATA[&#128218; Browse the full ML Interview series here.]]></description><link>https://www.rohan-paul.com/p/ml-interview-q-series-efficient-hyperparameter</link><guid isPermaLink="false">https://www.rohan-paul.com/p/ml-interview-q-series-efficient-hyperparameter</guid><pubDate>Thu, 12 Jun 2025 10:07:58 GMT</pubDate><enclosure url="https://substackcdn.com/image/fetch/$s_!07oO!,f_auto,q_auto:good,fl_progressive:steep/https%3A%2F%2Fsubstack-post-media.s3.amazonaws.com%2Fpublic%2Fimages%2F52e5e46e-91dd-4963-a932-90e0bf6b76ff_1920x1080.png" length="0" type="image/jpeg"/><content:encoded><![CDATA[<div class="captioned-image-container"><figure><a class="image-link image2 is-viewable-img" target="_blank" href="https://substackcdn.com/image/fetch/$s_!07oO!,f_auto,q_auto:good,fl_progressive:steep/https%3A%2F%2Fsubstack-post-media.s3.amazonaws.com%2Fpublic%2Fimages%2F52e5e46e-91dd-4963-a932-90e0bf6b76ff_1920x1080.png" data-component-name="Image2ToDOM"><div class="image2-inset"><picture><source type="image/webp" srcset="https://substackcdn.com/image/fetch/$s_!07oO!,w_424,c_limit,f_webp,q_auto:good,fl_progressive:steep/https%3A%2F%2Fsubstack-post-media.s3.amazonaws.com%2Fpublic%2Fimages%2F52e5e46e-91dd-4963-a932-90e0bf6b76ff_1920x1080.png 424w, https://substackcdn.com/image/fetch/$s_!07oO!,w_848,c_limit,f_webp,q_auto:good,fl_progressive:steep/https%3A%2F%2Fsubstack-post-media.s3.amazonaws.com%2Fpublic%2Fimages%2F52e5e46e-91dd-4963-a932-90e0bf6b76ff_1920x1080.png 848w, https://substackcdn.com/image/fetch/$s_!07oO!,w_1272,c_limit,f_webp,q_auto:good,fl_progressive:steep/https%3A%2F%2Fsubstack-post-media.s3.amazonaws.com%2Fpublic%2Fimages%2F52e5e46e-91dd-4963-a932-90e0bf6b76ff_1920x1080.png 1272w, https://substackcdn.com/image/fetch/$s_!07oO!,w_1456,c_limit,f_webp,q_auto:good,fl_progressive:steep/https%3A%2F%2Fsubstack-post-media.s3.amazonaws.com%2Fpublic%2Fimages%2F52e5e46e-91dd-4963-a932-90e0bf6b76ff_1920x1080.png 1456w" sizes="100vw"><img src="https://substackcdn.com/image/fetch/$s_!07oO!,w_1456,c_limit,f_auto,q_auto:good,fl_progressive:steep/https%3A%2F%2Fsubstack-post-media.s3.amazonaws.com%2Fpublic%2Fimages%2F52e5e46e-91dd-4963-a932-90e0bf6b76ff_1920x1080.png" width="1456" height="819" data-attrs="{&quot;src&quot;:&quot;https://substack-post-media.s3.amazonaws.com/public/images/52e5e46e-91dd-4963-a932-90e0bf6b76ff_1920x1080.png&quot;,&quot;srcNoWatermark&quot;:null,&quot;fullscreen&quot;:null,&quot;imageSize&quot;:null,&quot;height&quot;:819,&quot;width&quot;:1456,&quot;resizeWidth&quot;:null,&quot;bytes&quot;:1969313,&quot;alt&quot;:null,&quot;title&quot;:null,&quot;type&quot;:&quot;image/png&quot;,&quot;href&quot;:null,&quot;belowTheFold&quot;:false,&quot;topImage&quot;:true,&quot;internalRedirect&quot;:&quot;https://www.rohan-paul.com/i/165774675?img=https%3A%2F%2Fsubstack-post-media.s3.amazonaws.com%2Fpublic%2Fimages%2F52e5e46e-91dd-4963-a932-90e0bf6b76ff_1920x1080.png&quot;,&quot;isProcessing&quot;:false,&quot;align&quot;:null,&quot;offset&quot;:false}" class="sizing-normal" alt="" srcset="https://substackcdn.com/image/fetch/$s_!07oO!,w_424,c_limit,f_auto,q_auto:good,fl_progressive:steep/https%3A%2F%2Fsubstack-post-media.s3.amazonaws.com%2Fpublic%2Fimages%2F52e5e46e-91dd-4963-a932-90e0bf6b76ff_1920x1080.png 424w, https://substackcdn.com/image/fetch/$s_!07oO!,w_848,c_limit,f_auto,q_auto:good,fl_progressive:steep/https%3A%2F%2Fsubstack-post-media.s3.amazonaws.com%2Fpublic%2Fimages%2F52e5e46e-91dd-4963-a932-90e0bf6b76ff_1920x1080.png 848w, https://substackcdn.com/image/fetch/$s_!07oO!,w_1272,c_limit,f_auto,q_auto:good,fl_progressive:steep/https%3A%2F%2Fsubstack-post-media.s3.amazonaws.com%2Fpublic%2Fimages%2F52e5e46e-91dd-4963-a932-90e0bf6b76ff_1920x1080.png 1272w, https://substackcdn.com/image/fetch/$s_!07oO!,w_1456,c_limit,f_auto,q_auto:good,fl_progressive:steep/https%3A%2F%2Fsubstack-post-media.s3.amazonaws.com%2Fpublic%2Fimages%2F52e5e46e-91dd-4963-a932-90e0bf6b76ff_1920x1080.png 1456w" sizes="100vw" fetchpriority="high"></picture><div class="image-link-expand"><div class="pencraft pc-display-flex pc-gap-8 pc-reset"><button tabindex="0" type="button" class="pencraft pc-reset pencraft icon-container restack-image"><svg role="img" width="20" height="20" viewBox="0 0 20 20" fill="none" stroke-width="1.5" stroke="var(--color-fg-primary)" stroke-linecap="round" stroke-linejoin="round" xmlns="http://www.w3.org/2000/svg"><g><title></title><path d="M2.53001 7.81595C3.49179 4.73911 6.43281 2.5 9.91173 2.5C13.1684 2.5 15.9537 4.46214 17.0852 7.23684L17.6179 8.67647M17.6179 8.67647L18.5002 4.26471M17.6179 8.67647L13.6473 6.91176M17.4995 12.1841C16.5378 15.2609 13.5967 17.5 10.1178 17.5C6.86118 17.5 4.07589 15.5379 2.94432 12.7632L2.41165 11.3235M2.41165 11.3235L1.5293 15.7353M2.41165 11.3235L6.38224 13.0882"></path></g></svg></button><button tabindex="0" type="button" class="pencraft pc-reset pencraft icon-container view-image"><svg xmlns="http://www.w3.org/2000/svg" width="20" height="20" viewBox="0 0 24 24" fill="none" stroke="currentColor" stroke-width="2" stroke-linecap="round" stroke-linejoin="round" class="lucide lucide-maximize2 lucide-maximize-2"><polyline points="15 3 21 3 21 9"></polyline><polyline points="9 21 3 21 3 15"></polyline><line x1="21" x2="14" y1="3" y2="10"></line><line x1="3" x2="10" y1="21" y2="14"></line></svg></button></div></div></div></a></figure></div><p>&#128218; Browse <strong><a href="https://rohanpaul.substack.com/s/ml-interview-series/archive?sort=new">the full ML Interview series here</a></strong>.</p><h2><strong>Hyperparameter Tuning: Your model&#8217;s performance is highly sensitive to certain hyperparameters (learning rate, max depth of a tree, number of clusters, etc.). How would you efficiently search for a good combination of hyperparameters? Compare methods like grid search vs. random search, and describe more advanced techniques such as Bayesian optimization or using libraries (Hyperopt, Optuna, etc.) to find hyperparameters. Mention considerations like computational budget and avoiding overfitting to the validation set during this process.</strong></h2><p class="button-wrapper" data-attrs="{&quot;url&quot;:&quot;https://x.com/rohanpaul_ai&quot;,&quot;text&quot;:&quot;Connect with me on X (Twitter)&quot;,&quot;action&quot;:null,&quot;class&quot;:&quot;button-wrapper&quot;}" data-component-name="ButtonCreateButton"><a class="button primary button-wrapper" href="https://x.com/rohanpaul_ai"><span>Connect with me on X (Twitter)</span></a></p><p>Efficient hyperparameter tuning involves systematically or adaptively searching the configuration space (e.g., learning rates, number of layers, max tree depth, or clustering parameters) to find a high-performance set of values under a given computational budget. There are multiple strategies to accomplish this, each with distinct strengths and weaknesses in terms of speed, coverage, and the risk of overfitting to the validation set.</p><p>Hyperparameter tuning techniques</p><p>Basic Search Strategies</p><p>Grid Search</p><p>A classical approach that enumerates all possible combinations over a predefined set of discrete hyperparameter values. While conceptually straightforward, it can be highly inefficient because we often spend large amounts of compute on unpromising regions. This method is feasible when the hyperparameter space is small (like a few integer parameters), or when there are strong prior assumptions about the best hyperparameter values. However, with many hyperparameters or large ranges, it quickly becomes intractable.</p><p>Random Search</p><p>Instead of exhaustively enumerating points over a grid, random search samples each hyperparameter from a given distribution (e.g., uniform, log-uniform) independently. In practice, random search is surprisingly effective because it covers the space more flexibly, often locating promising regions more quickly than grid search. It is also easier to implement and extend. One potential drawback is that it remains a blind search; it does not leverage knowledge from prior samples to choose the next points.</p><p>Advanced Search Strategies</p><p>Bayesian Optimization</p><p>Bayesian Optimization uses past observations to probabilistically model the performance function, aiming to &#8220;guess&#8221; the most promising new hyperparameter configuration to test. Instead of sampling blindly, it fits a surrogate model (commonly a Gaussian Process or a Tree-structured Parzen Estimator) to map from hyperparameters to performance metrics, then applies an acquisition function to determine the most informative point to sample next.</p><div class="captioned-image-container"><figure><a class="image-link image2" target="_blank" href="https://substackcdn.com/image/fetch/$s_!dMFs!,f_auto,q_auto:good,fl_progressive:steep/https%3A%2F%2Fsubstack-post-media.s3.amazonaws.com%2Fpublic%2Fimages%2F8d0f6dbe-e949-47df-a6a4-46d2173bfe33_1126x116.png" data-component-name="Image2ToDOM"><div class="image2-inset"><picture><source type="image/webp" srcset="https://substackcdn.com/image/fetch/$s_!dMFs!,w_424,c_limit,f_webp,q_auto:good,fl_progressive:steep/https%3A%2F%2Fsubstack-post-media.s3.amazonaws.com%2Fpublic%2Fimages%2F8d0f6dbe-e949-47df-a6a4-46d2173bfe33_1126x116.png 424w, https://substackcdn.com/image/fetch/$s_!dMFs!,w_848,c_limit,f_webp,q_auto:good,fl_progressive:steep/https%3A%2F%2Fsubstack-post-media.s3.amazonaws.com%2Fpublic%2Fimages%2F8d0f6dbe-e949-47df-a6a4-46d2173bfe33_1126x116.png 848w, https://substackcdn.com/image/fetch/$s_!dMFs!,w_1272,c_limit,f_webp,q_auto:good,fl_progressive:steep/https%3A%2F%2Fsubstack-post-media.s3.amazonaws.com%2Fpublic%2Fimages%2F8d0f6dbe-e949-47df-a6a4-46d2173bfe33_1126x116.png 1272w, https://substackcdn.com/image/fetch/$s_!dMFs!,w_1456,c_limit,f_webp,q_auto:good,fl_progressive:steep/https%3A%2F%2Fsubstack-post-media.s3.amazonaws.com%2Fpublic%2Fimages%2F8d0f6dbe-e949-47df-a6a4-46d2173bfe33_1126x116.png 1456w" sizes="100vw"><img src="https://substackcdn.com/image/fetch/$s_!dMFs!,w_1456,c_limit,f_auto,q_auto:good,fl_progressive:steep/https%3A%2F%2Fsubstack-post-media.s3.amazonaws.com%2Fpublic%2Fimages%2F8d0f6dbe-e949-47df-a6a4-46d2173bfe33_1126x116.png" width="1126" height="116" data-attrs="{&quot;src&quot;:&quot;https://substack-post-media.s3.amazonaws.com/public/images/8d0f6dbe-e949-47df-a6a4-46d2173bfe33_1126x116.png&quot;,&quot;srcNoWatermark&quot;:null,&quot;fullscreen&quot;:null,&quot;imageSize&quot;:null,&quot;height&quot;:116,&quot;width&quot;:1126,&quot;resizeWidth&quot;:null,&quot;bytes&quot;:21922,&quot;alt&quot;:null,&quot;title&quot;:null,&quot;type&quot;:&quot;image/png&quot;,&quot;href&quot;:null,&quot;belowTheFold&quot;:true,&quot;topImage&quot;:false,&quot;internalRedirect&quot;:&quot;https://www.rohan-paul.com/i/165774675?img=https%3A%2F%2Fsubstack-post-media.s3.amazonaws.com%2Fpublic%2Fimages%2F8d0f6dbe-e949-47df-a6a4-46d2173bfe33_1126x116.png&quot;,&quot;isProcessing&quot;:false,&quot;align&quot;:null,&quot;offset&quot;:false}" class="sizing-normal" alt="" srcset="https://substackcdn.com/image/fetch/$s_!dMFs!,w_424,c_limit,f_auto,q_auto:good,fl_progressive:steep/https%3A%2F%2Fsubstack-post-media.s3.amazonaws.com%2Fpublic%2Fimages%2F8d0f6dbe-e949-47df-a6a4-46d2173bfe33_1126x116.png 424w, https://substackcdn.com/image/fetch/$s_!dMFs!,w_848,c_limit,f_auto,q_auto:good,fl_progressive:steep/https%3A%2F%2Fsubstack-post-media.s3.amazonaws.com%2Fpublic%2Fimages%2F8d0f6dbe-e949-47df-a6a4-46d2173bfe33_1126x116.png 848w, https://substackcdn.com/image/fetch/$s_!dMFs!,w_1272,c_limit,f_auto,q_auto:good,fl_progressive:steep/https%3A%2F%2Fsubstack-post-media.s3.amazonaws.com%2Fpublic%2Fimages%2F8d0f6dbe-e949-47df-a6a4-46d2173bfe33_1126x116.png 1272w, https://substackcdn.com/image/fetch/$s_!dMFs!,w_1456,c_limit,f_auto,q_auto:good,fl_progressive:steep/https%3A%2F%2Fsubstack-post-media.s3.amazonaws.com%2Fpublic%2Fimages%2F8d0f6dbe-e949-47df-a6a4-46d2173bfe33_1126x116.png 1456w" sizes="100vw" loading="lazy"></picture><div></div></div></a></figure></div><p>In practice, the algorithm keeps updating the posterior over the objective function based on observed performance. It is particularly useful when evaluations are expensive, since it tries to minimize the number of trials. For high-dimensional problems, more sophisticated surrogate models like random forest regressors or gradient boosted trees can be used.</p><p>Libraries such as Hyperopt and Optuna</p><p>These frameworks provide:</p><p>&#8226; Automated hyperparameter search (both random and Bayesian). &#8226; Flexible ways to define search spaces (e.g., discrete, continuous, conditional). &#8226; Parallelization capabilities. &#8226; Pruning methods (e.g., early stopping) to discard underperforming trials and save time.</p><p>In Python, a typical example of using Optuna might look like:</p><pre><code><code>import optuna
import sklearn.datasets
import sklearn.ensemble
from sklearn.model_selection import cross_val_score

def objective(trial):
    # Suggest hyperparameters
    n_estimators = trial.suggest_int("n_estimators", 50, 300)
    max_depth = trial.suggest_int("max_depth", 2, 20)
    learning_rate = trial.suggest_loguniform("learning_rate", 1e-4, 1e-1)

    # Define model
    model = sklearn.ensemble.GradientBoostingClassifier(
        n_estimators=n_estimators,
        max_depth=max_depth,
        learning_rate=learning_rate
    )

    # Load data
    data = sklearn.datasets.load_breast_cancer()
    X, y = data.data, data.target

    # Evaluate with cross-validation
    score = cross_val_score(model, X, y, n_jobs=-1, cv=3).mean()
    return score

study = optuna.create_study(direction="maximize")
study.optimize(objective, n_trials=50)

print("Best hyperparameters:", study.best_params)
print("Best CV score:", study.best_value)
</code></code></pre><p>This code snippet shows how to set up a search space and let Optuna adaptively pick hyperparameters. The &#8220;suggest_&#8221; methods define how to explore the space (integer, log-uniform, etc.). The library updates its model of the objective function based on prior evaluations, selecting new points to sample.</p><p>Considerations for Efficient Tuning</p><p>Computational Budget</p><p>Hyperparameter searches can be computationally expensive, especially with large datasets or models (e.g., deep neural networks). Budget management includes:</p><p>&#8226; Pruning or Early Stopping: Halting poor-performing trials early to avoid wasting resources. &#8226; Parallelization: Searching multiple configurations at once if hardware allows (multiple GPUs or distributed compute). &#8226; Approximation Methods: Using smaller models or subsets of data to quickly evaluate many configurations, then refining on full data once promising regions are found.</p><p>Avoiding Overfitting to the Validation Set</p><p>Repeatedly testing hyperparameters on a single validation set can inadvertently bias the model towards those validation examples. Best practices to mitigate this risk:</p><p>&#8226; Nested Cross-Validation: An outer loop splits the data into train/test folds, while an inner loop performs hyperparameter tuning. &#8226; Use Multiple Validation Splits or Cross-Validation: Instead of a single train-validation partition, average performance across folds to reduce variance in the estimate of your tuning objective. &#8226; Keep a Final Hold-Out Test Set: Evaluate only once at the end to measure true generalization.</p><p>Leveraging Cross-Validation</p><p>Cross-validation is especially useful when data is limited or performance metrics are noisy. It reduces the variance of performance estimates, thereby reducing the risk of picking suboptimal hyperparameters due to random fluctuations in a single split.</p><div class="subscription-widget-wrap-editor" data-attrs="{&quot;url&quot;:&quot;https://www.rohan-paul.com/subscribe?&quot;,&quot;text&quot;:&quot;Subscribe&quot;,&quot;language&quot;:&quot;en&quot;}" data-component-name="SubscribeWidgetToDOM"><div class="subscription-widget show-subscribe"><div class="preamble"><p class="cta-caption">I write everyday for my readers on actionable AI. Subscribe and instantly get a 1300+ page Python book.</p></div><form class="subscription-widget-subscribe"><input type="email" class="email-input" name="email" placeholder="Type your email&#8230;" tabindex="-1"><input type="submit" class="button primary" value="Subscribe"><div class="fake-input-wrapper"><div class="fake-input"></div><div class="fake-button"></div></div></form></div></div><p>Follow-up Questions Appear Below</p><h2><strong>How do these methods scale to high-dimensional hyperparameter spaces, such as tuning many dozens of parameters?</strong></h2><p>When dealing with extremely high-dimensional spaces, grid search becomes nearly impossible because each additional parameter dimension exponentially increases the number of combinations. Random search can handle higher dimensions better than grid search, but it still does not adaptively focus on promising areas. Bayesian methods can also struggle if the dimensionality becomes too large, because the surrogate model becomes more challenging to train and the optimization can get stuck in local minima or waste many function evaluations.</p><p>Practical techniques include:</p><p>Using domain knowledge to narrow down which parameters truly matter the most. Many real systems have only a few critical hyperparameters, while others have minor effects. Adopting specialized high-dimensional optimization algorithms (e.g., using random embeddings, dimensionality reduction, or specialized Bayesian Optimization approaches that can handle large dimensional spaces). Applying hierarchical or conditional parameter search. For instance, if a certain parameter is only relevant if another parameter is active, that structure can be encoded in the search space.</p><h2><strong>How can we efficiently tune deep neural network hyperparameters when training is very expensive?</strong></h2><p>Deep neural networks can take hours to days to train. Consequently, searching across hundreds or thousands of trials becomes expensive. Approaches to mitigate these costs include:</p><p>Early Stopping or Pruning: Monitor intermediate metrics (like validation loss after a few epochs) and terminate underperforming trials early. Optuna&#8217;s median pruning strategy or Hyperopt&#8217;s early stopping heuristics are examples. Successive Halving or Hyperband: These scheduling algorithms iteratively allocate resources to top-performing configurations and prune the rest, maximizing the number of explored configurations while controlling total computations. Multi-fidelity Approaches: Start with smaller model sizes or subsets of data to screen out less promising hyperparameter settings, then scale up to larger configurations for more fine-grained search on top contenders.</p><h2><strong>Why might Bayesian Optimization be more suitable than random search if we have a strict time or computational budget?</strong></h2><p>Bayesian Optimization tries to use knowledge from previously evaluated points to model where the objective function is likely to be high or low. Consequently, it guides the search towards promising regions in a more informed way than random sampling. This can help converge to a good hyperparameter region using fewer total evaluations, which is especially valuable if each evaluation (model training) is very time-consuming or costly.</p><p>However, modeling overhead grows with the number of parameters and total trials. For extremely high dimensions or massive search spaces, the surrogate model may become complex to fit, so a hybrid or specialized approach might be used.</p><h2><strong>How do libraries like Hyperopt and Optuna handle conditional hyperparameters?</strong></h2><p>Frameworks like Hyperopt and Optuna typically allow you to define conditional logic in the search space. For example, you might say:</p><p>&#8226; If optimizer == 'Adam', then suggest a separate parameter range for learning_rate. &#8226; If a certain regularization method is turned on, then suggest a range of penalty strengths.</p><p>This ensures that invalid or non-applicable parameter combinations are skipped. It also provides a more faithful representation of how those hyperparameters truly interact in practice.</p><h2><strong>In a real-world scenario, how do we prevent ourselves from &#8220;tuning to the test set&#8221;?</strong></h2><p>It is crucial to keep a dedicated final test set that is never used for tuning decisions. One approach is:</p><p>Split the available data into training and final test subsets. Use cross-validation (or a separate validation subset) inside the training portion for hyperparameter tuning. Once the best hyperparameters are selected, train a final model on the entire training portion using these hyperparameters, and evaluate only once on the test set.</p><p>This way, the test set remains unbiased by any hyperparameter or modeling choices.</p><h2><strong>Is there a risk that repeated tuning cycles can overfit the model to the validation set, even when using cross-validation?</strong></h2><p>Yes, if you iteratively fine-tune hyperparameters and constantly refer to the same cross-validation metrics, you might effectively &#8220;peek&#8221; at these metrics too many times. To mitigate:</p><p>Use multiple runs of cross-validation to confirm stability. Adopt nested cross-validation, where the outer fold is only used to evaluate the final chosen hyperparameters, and never influences their selection. Perform &#8220;warm restarts&#8221; carefully. For example, if you do an initial search, gather a set of good hyperparameters, and refine further, be aware that repeated usage of the same validation scheme can bias outcomes.</p><h2><strong>How can we handle hyperparameters that are integer-valued, categorical, or continuous in these frameworks?</strong></h2><p>Most hyperparameter optimization frameworks let you define each parameter&#8217;s domain:</p><p>&#8226; Integer: Typical for parameters like number of units, tree depth, or number of estimators. &#8226; Categorical: For choosing among discrete options like optimizer type, activation function, or kernel type. &#8226; Continuous: For parameters like learning rate, regularization strength, or momentum factor.</p><p>Random search and Bayesian-based approaches can handle all these parameter types by sampling or modeling each parameter&#8217;s search space appropriately (e.g., uniform sampling, log-uniform sampling, or specialized sampling for categorical choices).</p><h2><strong>What if we only have a small dataset? Would we still do large hyperparameter sweeps?</strong></h2><p>When data is limited, large-scale sweeps can lead to overfitting or produce unstable estimates of performance. Common solutions:</p><p>More reliance on cross-validation to ensure robust estimates. Simplify the model or reduce hyperparameter ranges. Use domain knowledge to pick narrower prior ranges for Bayesian search, so we limit the search space to plausible intervals.</p><h2><strong>Are there scenarios where grid search might be preferable despite its drawbacks?</strong></h2><p>Grid search can be preferable when:</p><p>The hyperparameter space is very small or only a couple of parameters matter. We require interpretability in how performance changes with respect to each parameter, because grid search can produce a structured performance table or heatmap. We have strong prior knowledge of the best discrete points to test (e.g., we only want to try learning rates {0.001, 0.01, 0.1} and max_depth {5, 10}, etc.).</p><p>It is much less practical when scaling beyond a few parameters due to the combinatorial explosion in trial count.</p><h2><strong>Can you illustrate an example of early stopping or pruning in code?</strong></h2><p>Below is an example using Optuna&#8217;s pruning mechanism:</p><pre><code><code>import optuna
import sklearn.datasets
import sklearn.linear_model
from sklearn.model_selection import train_test_split

def objective(trial):
    data = sklearn.datasets.load_diabetes()
    X_train, X_valid, y_train, y_valid = train_test_split(data.data, data.target, test_size=0.2)

    alpha = trial.suggest_float("alpha", 1e-3, 1e2, log=True)
    model = sklearn.linear_model.SGDRegressor(alpha=alpha, max_iter=1000, random_state=0)

    partial_n_epochs = 10
    for step in range(partial_n_epochs):
        model.partial_fit(X_train, y_train)
        y_pred = model.predict(X_valid)
        loss = ((y_pred - y_valid) ** 2).mean()  # MSE

        trial.report(loss, step)
        if trial.should_prune():
            raise optuna.TrialPruned()

    return loss

study = optuna.create_study(direction="minimize")
study.optimize(objective, n_trials=50)
print("Best parameters:", study.best_params)
print("Best value:", study.best_value)
</code></code></pre><p>Here, after each partial training step, we measure validation loss and report it to Optuna. If the loss is not improving sufficiently compared to other trials, Optuna will prune (stop) the trial early, saving computational resources.</p><h2><strong>How do real production environments manage large-scale hyperparameter tuning?</strong></h2><p>In large-scale production settings at major tech companies, hyperparameter tuning often happens in distributed clusters (Kubernetes, Spark, HPC). Techniques include:</p><p>&#8226; Distributed job scheduling: Many hyperparameter jobs run in parallel. &#8226; Automated resource management: Trials are dynamically scheduled. &#8226; Shared logs and dashboards: Observability in real-time to see intermediate metrics and prune trials or adapt the search. &#8226; Checkpointing: For expensive deep learning models, partial training results are saved so that trials can be resumed or examined for potential restarts.</p><p>This entire pipeline is often orchestrated through internal systems or open-source frameworks integrated with the cloud environment.</p><h2><strong>How can we ensure fairness and reproducibility when tuning hyperparameters?</strong></h2><p>To maintain fairness and replicability:</p><p>&#8226; Fix the random seeds and ensure the same software/library versions. &#8226; Document the exact hyperparameter ranges, search methods, and number of trials. &#8226; Use consistent data splits or random seeds for cross-validation across different runs. &#8226; Keep a record of each trial&#8217;s hyperparameters, validation scores, and any early stopping events.</p><p>This ensures that tuning results can be audited, repeated, and compared. When results are published or shared, providing these details helps others trust the reported performance.</p><div><hr></div><h2><strong>Below are additional follow-up questions</strong></h2><h2><strong>When we have multi-objective requirements (e.g., accuracy and latency), how can we incorporate this into hyperparameter tuning?</strong></h2><p>Multi-objective hyperparameter tuning often aims to strike a balance between competing objectives, such as maximizing accuracy while minimizing inference time or memory consumption. A standard approach is to define multiple metrics and apply one of the following strategies:</p><p>&#8226; Weighted Objective: Combine the metrics into a single scalar objective using weights that reflect their relative importance. For instance, you might define an overall score as</p><div class="captioned-image-container"><figure><a class="image-link image2" target="_blank" href="https://substackcdn.com/image/fetch/$s_!17to!,f_auto,q_auto:good,fl_progressive:steep/https%3A%2F%2Fsubstack-post-media.s3.amazonaws.com%2Fpublic%2Fimages%2F45fe1e1f-aa96-459b-a7d6-2bdd59374b77_1017x136.png" data-component-name="Image2ToDOM"><div class="image2-inset"><picture><source type="image/webp" srcset="https://substackcdn.com/image/fetch/$s_!17to!,w_424,c_limit,f_webp,q_auto:good,fl_progressive:steep/https%3A%2F%2Fsubstack-post-media.s3.amazonaws.com%2Fpublic%2Fimages%2F45fe1e1f-aa96-459b-a7d6-2bdd59374b77_1017x136.png 424w, https://substackcdn.com/image/fetch/$s_!17to!,w_848,c_limit,f_webp,q_auto:good,fl_progressive:steep/https%3A%2F%2Fsubstack-post-media.s3.amazonaws.com%2Fpublic%2Fimages%2F45fe1e1f-aa96-459b-a7d6-2bdd59374b77_1017x136.png 848w, https://substackcdn.com/image/fetch/$s_!17to!,w_1272,c_limit,f_webp,q_auto:good,fl_progressive:steep/https%3A%2F%2Fsubstack-post-media.s3.amazonaws.com%2Fpublic%2Fimages%2F45fe1e1f-aa96-459b-a7d6-2bdd59374b77_1017x136.png 1272w, https://substackcdn.com/image/fetch/$s_!17to!,w_1456,c_limit,f_webp,q_auto:good,fl_progressive:steep/https%3A%2F%2Fsubstack-post-media.s3.amazonaws.com%2Fpublic%2Fimages%2F45fe1e1f-aa96-459b-a7d6-2bdd59374b77_1017x136.png 1456w" sizes="100vw"><img src="https://substackcdn.com/image/fetch/$s_!17to!,w_1456,c_limit,f_auto,q_auto:good,fl_progressive:steep/https%3A%2F%2Fsubstack-post-media.s3.amazonaws.com%2Fpublic%2Fimages%2F45fe1e1f-aa96-459b-a7d6-2bdd59374b77_1017x136.png" width="1017" height="136" data-attrs="{&quot;src&quot;:&quot;https://substack-post-media.s3.amazonaws.com/public/images/45fe1e1f-aa96-459b-a7d6-2bdd59374b77_1017x136.png&quot;,&quot;srcNoWatermark&quot;:null,&quot;fullscreen&quot;:null,&quot;imageSize&quot;:null,&quot;height&quot;:136,&quot;width&quot;:1017,&quot;resizeWidth&quot;:null,&quot;bytes&quot;:17462,&quot;alt&quot;:null,&quot;title&quot;:null,&quot;type&quot;:&quot;image/png&quot;,&quot;href&quot;:null,&quot;belowTheFold&quot;:true,&quot;topImage&quot;:false,&quot;internalRedirect&quot;:&quot;https://www.rohan-paul.com/i/165774675?img=https%3A%2F%2Fsubstack-post-media.s3.amazonaws.com%2Fpublic%2Fimages%2F45fe1e1f-aa96-459b-a7d6-2bdd59374b77_1017x136.png&quot;,&quot;isProcessing&quot;:false,&quot;align&quot;:null,&quot;offset&quot;:false}" class="sizing-normal" alt="" srcset="https://substackcdn.com/image/fetch/$s_!17to!,w_424,c_limit,f_auto,q_auto:good,fl_progressive:steep/https%3A%2F%2Fsubstack-post-media.s3.amazonaws.com%2Fpublic%2Fimages%2F45fe1e1f-aa96-459b-a7d6-2bdd59374b77_1017x136.png 424w, https://substackcdn.com/image/fetch/$s_!17to!,w_848,c_limit,f_auto,q_auto:good,fl_progressive:steep/https%3A%2F%2Fsubstack-post-media.s3.amazonaws.com%2Fpublic%2Fimages%2F45fe1e1f-aa96-459b-a7d6-2bdd59374b77_1017x136.png 848w, https://substackcdn.com/image/fetch/$s_!17to!,w_1272,c_limit,f_auto,q_auto:good,fl_progressive:steep/https%3A%2F%2Fsubstack-post-media.s3.amazonaws.com%2Fpublic%2Fimages%2F45fe1e1f-aa96-459b-a7d6-2bdd59374b77_1017x136.png 1272w, https://substackcdn.com/image/fetch/$s_!17to!,w_1456,c_limit,f_auto,q_auto:good,fl_progressive:steep/https%3A%2F%2Fsubstack-post-media.s3.amazonaws.com%2Fpublic%2Fimages%2F45fe1e1f-aa96-459b-a7d6-2bdd59374b77_1017x136.png 1456w" sizes="100vw" loading="lazy"></picture><div></div></div></a></figure></div><p>where a higher score means better accuracy and lower latency. The tradeoff factor</p><div class="captioned-image-container"><figure><a class="image-link image2" target="_blank" href="https://substackcdn.com/image/fetch/$s_!DoXE!,f_auto,q_auto:good,fl_progressive:steep/https%3A%2F%2Fsubstack-post-media.s3.amazonaws.com%2Fpublic%2Fimages%2F25bc4efb-ca4b-4c11-ac20-1acab9f2222b_53x55.png" data-component-name="Image2ToDOM"><div class="image2-inset"><picture><source type="image/webp" srcset="https://substackcdn.com/image/fetch/$s_!DoXE!,w_424,c_limit,f_webp,q_auto:good,fl_progressive:steep/https%3A%2F%2Fsubstack-post-media.s3.amazonaws.com%2Fpublic%2Fimages%2F25bc4efb-ca4b-4c11-ac20-1acab9f2222b_53x55.png 424w, https://substackcdn.com/image/fetch/$s_!DoXE!,w_848,c_limit,f_webp,q_auto:good,fl_progressive:steep/https%3A%2F%2Fsubstack-post-media.s3.amazonaws.com%2Fpublic%2Fimages%2F25bc4efb-ca4b-4c11-ac20-1acab9f2222b_53x55.png 848w, https://substackcdn.com/image/fetch/$s_!DoXE!,w_1272,c_limit,f_webp,q_auto:good,fl_progressive:steep/https%3A%2F%2Fsubstack-post-media.s3.amazonaws.com%2Fpublic%2Fimages%2F25bc4efb-ca4b-4c11-ac20-1acab9f2222b_53x55.png 1272w, https://substackcdn.com/image/fetch/$s_!DoXE!,w_1456,c_limit,f_webp,q_auto:good,fl_progressive:steep/https%3A%2F%2Fsubstack-post-media.s3.amazonaws.com%2Fpublic%2Fimages%2F25bc4efb-ca4b-4c11-ac20-1acab9f2222b_53x55.png 1456w" sizes="100vw"><img src="https://substackcdn.com/image/fetch/$s_!DoXE!,w_1456,c_limit,f_auto,q_auto:good,fl_progressive:steep/https%3A%2F%2Fsubstack-post-media.s3.amazonaws.com%2Fpublic%2Fimages%2F25bc4efb-ca4b-4c11-ac20-1acab9f2222b_53x55.png" width="53" height="55" data-attrs="{&quot;src&quot;:&quot;https://substack-post-media.s3.amazonaws.com/public/images/25bc4efb-ca4b-4c11-ac20-1acab9f2222b_53x55.png&quot;,&quot;srcNoWatermark&quot;:null,&quot;fullscreen&quot;:null,&quot;imageSize&quot;:null,&quot;height&quot;:55,&quot;width&quot;:53,&quot;resizeWidth&quot;:null,&quot;bytes&quot;:805,&quot;alt&quot;:null,&quot;title&quot;:null,&quot;type&quot;:&quot;image/png&quot;,&quot;href&quot;:null,&quot;belowTheFold&quot;:true,&quot;topImage&quot;:false,&quot;internalRedirect&quot;:&quot;https://www.rohan-paul.com/i/165774675?img=https%3A%2F%2Fsubstack-post-media.s3.amazonaws.com%2Fpublic%2Fimages%2F25bc4efb-ca4b-4c11-ac20-1acab9f2222b_53x55.png&quot;,&quot;isProcessing&quot;:false,&quot;align&quot;:null,&quot;offset&quot;:false}" class="sizing-normal" alt="" srcset="https://substackcdn.com/image/fetch/$s_!DoXE!,w_424,c_limit,f_auto,q_auto:good,fl_progressive:steep/https%3A%2F%2Fsubstack-post-media.s3.amazonaws.com%2Fpublic%2Fimages%2F25bc4efb-ca4b-4c11-ac20-1acab9f2222b_53x55.png 424w, https://substackcdn.com/image/fetch/$s_!DoXE!,w_848,c_limit,f_auto,q_auto:good,fl_progressive:steep/https%3A%2F%2Fsubstack-post-media.s3.amazonaws.com%2Fpublic%2Fimages%2F25bc4efb-ca4b-4c11-ac20-1acab9f2222b_53x55.png 848w, https://substackcdn.com/image/fetch/$s_!DoXE!,w_1272,c_limit,f_auto,q_auto:good,fl_progressive:steep/https%3A%2F%2Fsubstack-post-media.s3.amazonaws.com%2Fpublic%2Fimages%2F25bc4efb-ca4b-4c11-ac20-1acab9f2222b_53x55.png 1272w, https://substackcdn.com/image/fetch/$s_!DoXE!,w_1456,c_limit,f_auto,q_auto:good,fl_progressive:steep/https%3A%2F%2Fsubstack-post-media.s3.amazonaws.com%2Fpublic%2Fimages%2F25bc4efb-ca4b-4c11-ac20-1acab9f2222b_53x55.png 1456w" sizes="100vw" loading="lazy"></picture><div></div></div></a></figure></div><p>is chosen based on product constraints.</p><p>&#8226; Pareto Optimization: Search for a set of &#8220;Pareto optimal&#8221; solutions, each representing a different tradeoff between objectives. Bayesian optimization libraries sometimes include specialized acquisition functions (like Expected Hypervolume Improvement) for multi-objective settings. The result is a Pareto frontier, from which stakeholders can pick the preferred tradeoff.</p><p>&#8226; Practical Considerations:</p><ul><li><p>If latency is non-negotiable (e.g., real-time constraints), treat it as a hard constraint. Filter out trials that exceed a threshold and optimize accuracy among the remaining feasible region.</p></li><li><p>Evaluate stability across multiple runs because multi-objective performance can vary significantly with data splits or random seeds.</p></li></ul><p>Pitfall: In real-world settings, maximizing one objective (like accuracy) can inadvertently degrade another (like memory). A purely single-objective approach may produce un-deployable models. Explicit multi-objective methods address this problem.</p><h2><strong>How do we effectively inject prior domain knowledge into a Bayesian approach to hyperparameter tuning?</strong></h2><p>In Bayesian optimization, you can define prior distributions for your hyperparameters that reflect domain knowledge. This helps the algorithm start in a region more likely to contain good solutions. Possible methods:</p><p>&#8226; Initial Distribution Choice: If you know the typical range of acceptable learning rates for your domain, choose a narrower log-uniform distribution to focus the search. &#8226; Warm-Start Trials: Provide initial evaluations from known successful hyperparameter sets. This is called &#8220;warm starting&#8221; the optimizer. The surrogate model begins with some data points already mapping hyperparameters to performance. &#8226; Custom Surrogate Model: Instead of a basic Gaussian Process, you might use a specialized model that encodes domain-specific correlations. For instance, you might have a hierarchical structure that places similar hyperparameters in correlated groups (e.g., different forms of regularization being correlated).</p><p>Edge Case: Overly confident priors can cause the search algorithm to ignore other potentially better areas. Always balance prior knowledge with enough exploration so the optimization can escape suboptimal priors.</p><h2><strong>If the objective function itself is noisy or changes over time (e.g., in streaming data scenarios), how do we adapt the hyperparameter tuning process?</strong></h2><p>In streaming data or non-stationary settings, the optimal hyperparameters may shift over time. To address this:</p><p>&#8226; Periodic Re-Tuning: Perform hyperparameter search on newly available data at fixed intervals. This ensures the model adjusts to evolving distributions. &#8226; Online Bayesian Optimization: Adapt the surrogate model with a forgetting mechanism (where older data points have reduced weight) so that the optimizer focuses more on recent performance. &#8226; Rolling/Horizon Evaluation: Keep a rolling validation window to measure performance on the most recent data. &#8226; Resource Constraints: If data arrives continuously, re-tuning frequently might be computationally prohibitive. You might adopt simpler, faster strategies or rely on partial data sampling.</p><p>Pitfall: Overfitting to the latest chunk of data can degrade performance on the overall distribution. Always verify that the chosen approach balances responsiveness to changes with stability.</p><h2><strong>In extremely large datasets, cross-validation can be too costly. Can we still perform robust hyperparameter tuning without full cross-validation?</strong></h2><p>Yes, but you must be mindful of variance in performance estimates. Options include:</p><p>&#8226; Single Validation Split with Enough Data: Sometimes a single (or a couple of) train/validation split(s) is sufficient if each split is large enough that the estimate is stable. &#8226; Subsampling: Evaluate each hyperparameter setting on a subset of the dataset. Then, refine promising settings on the entire dataset. This two-stage approach helps screen out poor settings early. &#8226; Incremental Cross-Validation: Evaluate partial folds or fewer folds to reduce computational overhead. &#8226; Stratified or Balanced Splitting: If the data is highly imbalanced or has critical subpopulations, carefully sample your validation set to ensure it represents the distribution well.</p><p>Edge Case: If the single validation set is not representative, you might get suboptimal hyperparameters. Monitoring performance over time or rotating the validation set can mitigate this.</p><h2><strong>What if we have tight memory constraints that limit the size of certain models or certain hyperparameter configurations?</strong></h2><p>Memory constraints can invalidate some parameter ranges (e.g., very large batch sizes, extremely deep neural networks). To handle this:</p><p>&#8226; Define Feasibility Bounds: Exclude hyperparameter configurations that violate memory requirements (e.g., batch_size &gt; 512 if the GPU can&#8217;t handle it). &#8226; Monitor Memory Usage in Real Time: When a trial runs, track GPU/CPU memory usage. If it exceeds a threshold, prune or halt that trial. &#8226; Use Smaller Data Subsets: If the entire dataset doesn&#8217;t fit in memory, consider iterative or streaming training methods, which also reduce memory usage. &#8226; Domain Knowledge: You might already know that extremely large hidden layer sizes are infeasible. This information can shape your search space or your prior distributions.</p><p>Pitfall: A naive search method might crash your process or job scheduler if memory usage is not checked. Automated pruning or validation of memory usage is crucial for stable experimentation.</p><h2><strong>What scenarios motivate meta-learning for hyperparameter tuning, and how does it differ from standard search?</strong></h2><p>Meta-learning (also known as &#8220;learning to learn&#8221;) uses knowledge gained from prior tasks or datasets to speed up hyperparameter search on new tasks. Instead of starting from scratch each time, the system can reuse patterns discovered in previous optimizations. Differences from standard search:</p><p>&#8226; Transfer of Hyperparameter Priors: Instead of random or uniform initial guesses, meta-learning might automatically propose hyperparameters that worked well for tasks with similar data characteristics. &#8226; Reduced Search Time: Because the system &#8220;remembers&#8221; good configurations from similar tasks, it can converge faster on the new task. &#8226; Complexity: Setting up a meta-learning pipeline is non-trivial. It typically requires a repository of tasks/datasets, each with logs of hyperparameter configurations and model performances.</p><p>Edge Case: If the new task is too dissimilar from the training tasks, the meta-learning strategy may be misleading. Always validate that tasks share relevant similarities (data distribution, model structure, etc.).</p><h2><strong>How do iteration-based search strategies refine their hyperparameter ranges?</strong></h2><p>Iteration-based or adaptive range refinement techniques look at results from an initial search (random or otherwise) to focus subsequent searches:</p><p>&#8226; Successive Interval Halving: After evaluating an initial uniform sample, the top-performing region is identified, and the next iteration focuses on a narrower range around that region. &#8226; Zooming: The search algorithm &#8220;zooms in&#8221; on a promising region of a parameter, discarding out-of-range or clearly underperforming values. &#8226; Practical Implementation: Some frameworks allow dynamic updates of search bounds. For example, after a first round with a large learning rate range, you might discover that high learning rates yield poor results, so you shrink the upper bound.</p><p>Pitfall: Overly aggressive narrowing might exclude truly optimal regions if the initial sampling was unlucky or if the model has complex behaviors (e.g., multiple peaks in the objective).</p><h2><strong>What additional nuances arise when tuning hyperparameters for unsupervised or semi-supervised tasks?</strong></h2><p>In unsupervised settings, you often rely on proxy metrics (like silhouette score for clustering or perplexity for language modeling). These metrics can be more ambiguous or less correlated with real downstream objectives. Likewise, for semi-supervised tasks, you might have partial labels:</p><p>&#8226; Metric Definition: Ensure your metric aligns well with the end goal. For clustering, is the internal metric (e.g., silhouette score) consistent with actual business or domain usage? &#8226; Stability Checks: Unsupervised methods can be sensitive to initialization. Evaluating multiple runs with different seeds can be crucial for stable performance estimation. &#8226; Semi-Supervised Edge Case: If the labeled portion is tiny, performance metrics might be noisy. Techniques like cross-validation become trickier to implement.</p><p>Pitfall: In unsupervised tasks, data transformations or feature engineering steps might drastically change performance. Hyperparameter search must also encompass these data transformation parameters for a thorough exploration.</p><h2><strong>Could tuning hyperparameters in an online or incremental learning scenario introduce data leakage or bias?</strong></h2><p>Yes. In online or incremental learning, new data arrives sequentially, and the model updates over time. Potential issues:</p><p>&#8226; Peeking: If you repeatedly evaluate on the incoming data to adjust hyperparameters on the fly, you risk overfitting to recent samples. &#8226; Drift Misalignment: Data drift might invalidate hyperparameters that worked previously. Continual tuning must carefully separate training and evaluation to avoid data leakage from future samples. &#8226; Rolling Window Validation: Typically, you&#8217;d define a rolling window for validation that mimics future data distribution, but do not repeatedly reuse that window once you adjust hyperparameters.</p><p>Edge Case: If you tune hyperparameters in real-time while data distribution drastically changes (e.g., concept drift), the system might chase ephemeral patterns. Designing robust, stable tuning intervals is critical.</p><h2><strong>Do hardware-specific hyperparameters (like GPU block sizes or multi-threading strategies) matter for hyperparameter tuning?</strong></h2><p>They can. While often overlooked, hardware configuration can significantly influence training speed and sometimes even final performance:</p><p>&#8226; GPU Utilization: Parameter choices such as the batch size may strongly interact with memory usage and GPU scheduling. &#8226; Parallelization Overhead: Some hyperparameters might hamper scaling across multiple GPUs if the model&#8217;s structure or the parallel processing overhead grows too large. &#8226; Mixed Precision vs. Full Precision: In deep learning, toggling between float16 and float32 can significantly change training speed and memory usage, sometimes requiring hyperparameter re-tuning (e.g., learning rate adjustments).</p><p>Pitfall: Blindly ignoring hardware hyperparameters can lead to suboptimal performance or out-of-memory errors. Tuning them manually might be necessary, but it requires careful instrumentation to measure their impacts.</p><h2><strong>When we have multiple objectives and want a set of solutions, how do we incorporate that into the optimization framework?</strong></h2><p>This is a multi-objective approach where the result is not a single &#8220;best&#8221; configuration, but a set of Pareto-optimal configurations:</p><p>&#8226; Multi-Objective Bayesian Optimization: Uses specialized acquisition functions (e.g., Expected Hypervolume Improvement) that select new points aiming to expand the Pareto frontier. &#8226; Weighted Summation with Varying Weights: You can run repeated single-objective searches with different weighted combinations of the objectives. Each run yields a different tradeoff. &#8226; Post-Processing of Solutions: Another approach is to gather all solutions from a standard single-objective search that logged the other metrics. Then, filter or rank them offline to identify Pareto front solutions.</p><p>Edge Case: Real deployments might require picking one final solution, so the multi-objective search yields a set of candidates, and domain experts or product constraints choose the solution with the best tradeoff.</p><h2><strong>What considerations arise for hyperparameters that drastically alter the model structure (e.g., changing the number of layers or the architecture entirely)?</strong></h2><p>Drastic architecture changes can cause training logic or memory demands to vary widely:</p><p>&#8226; Feasibility Checks: A 100-layer network might not fit on the available GPU if the batch size is also large. This must be validated before or during the trial. &#8226; Conditional Hyperparameters: If the user chooses a wide architecture, then other hyperparameters like dropout rates or certain layer-specific settings become relevant. Tuning frameworks must handle these conditionals. &#8226; Training Instability: Very deep networks or significantly altered architectures might fail to converge unless other hyperparameters (learning rate, weight initialization) are adjusted.</p><p>Pitfall: If the search method tries a drastically larger architecture, it might crash or run extremely slowly, stalling overall hyperparameter tuning. Setting resource or time limits per trial is essential.</p><h2><strong>Can we leverage knowledge from previously solved tasks or other datasets (transfer learning) to guide hyperparameter choices?</strong></h2><p>Yes. Transfer of hyperparameter knowledge across tasks is often beneficial, particularly in similar domains:</p><p>&#8226; Warm-Start with Known Good Settings: For example, if a certain learning rate or layer configuration worked on a similar dataset, start the search near those settings. &#8226; Meta-Learned Priors: If you systematically store the results of prior tuning runs on many tasks, you can train a meta-learner that predicts good hyperparameter choices for a new task (i.e., meta-learning). &#8226; Monitoring Domain Mismatch: If the new task is only loosely related, previous best hyperparameters might not help and can even mislead the optimization. Always confirm that the tasks are aligned in complexity, distribution, or model architecture.</p><p>Pitfall: Over-reliance on knowledge from dissimilar tasks may skip the truly optimal region. Always incorporate some element of exploration.</p><h2><strong>What are the main differences between black-box optimization methods vs. specialized gradient-based approaches for hyperparameter tuning?</strong></h2><p>&#8226; Black-Box Optimization: Methods like random search, Bayesian optimization, Hyperband, etc., do not assume the objective function has a known gradient with respect to hyperparameters. Each hyperparameter configuration is tested by fully training and evaluating the model. &#8226; Gradient-Based Hyperparameter Optimization: Approaches like differentiable hyperparameter optimization compute gradients of the validation loss with respect to hyperparameters (often via complex techniques like hypernetworks or implicit differentiation). In some frameworks, the entire training loop is made differentiable. &#8226; Advantages of Gradient-Based: Potentially faster convergence if the gradient is accurately computed. &#8226; Drawbacks: More complicated to implement, can be computationally heavy, and might require specialized architectures or training loops that are fully differentiable.</p><p>Pitfall: Gradient-based approaches can fail if the hyperparameter landscape is highly non-smooth or discontinuous (e.g., integer hyperparameters, conditional logic). Black-box methods remain more general and widely applicable.</p><h2><strong>How do we measure the stability or robustness of chosen hyperparameters under domain shifts or different data distributions?</strong></h2><p>To test robustness of hyperparameters:</p><p>&#8226; Out-of-Distribution Testing: Evaluate the final model on data that slightly differ from the training distribution (e.g., different time period, region, or user demographic). &#8226; Cross-Domain Validation: If you have multiple datasets from similar but not identical domains, train on one and validate on another. If the model still performs well, your hyperparameters might be robust. &#8226; Sensitivity Analysis: Perturb training or validation data slightly and see if the chosen hyperparameters still produce strong performance. If small shifts drastically degrade performance, the hyperparameters might be overfitted to the original distribution.</p><p>Pitfall: Even if the hyperparameter search was thorough, it could lock onto distribution-specific signals that do not generalize. Continuous monitoring and potential re-tuning become necessary in dynamic production environments.</p>]]></content:encoded></item><item><title><![CDATA[ML Interview Q Series: Mitigating Model Bias: Techniques for Fair Performance Across Diverse Subgroups.]]></title><description><![CDATA[&#128218; Browse the full ML Interview series here.]]></description><link>https://www.rohan-paul.com/p/ml-interview-q-series-mitigating-42e</link><guid isPermaLink="false">https://www.rohan-paul.com/p/ml-interview-q-series-mitigating-42e</guid><pubDate>Thu, 12 Jun 2025 10:01:27 GMT</pubDate><enclosure url="https://substackcdn.com/image/fetch/$s_!9Zxa!,f_auto,q_auto:good,fl_progressive:steep/https%3A%2F%2Fsubstack-post-media.s3.amazonaws.com%2Fpublic%2Fimages%2F2c132755-cd25-4ce8-ad98-6e3c913cfbcb_1024x572.png" length="0" type="image/jpeg"/><content:encoded><![CDATA[<div class="captioned-image-container"><figure><a class="image-link image2 is-viewable-img" target="_blank" href="https://substackcdn.com/image/fetch/$s_!9Zxa!,f_auto,q_auto:good,fl_progressive:steep/https%3A%2F%2Fsubstack-post-media.s3.amazonaws.com%2Fpublic%2Fimages%2F2c132755-cd25-4ce8-ad98-6e3c913cfbcb_1024x572.png" data-component-name="Image2ToDOM"><div class="image2-inset"><picture><source type="image/webp" srcset="https://substackcdn.com/image/fetch/$s_!9Zxa!,w_424,c_limit,f_webp,q_auto:good,fl_progressive:steep/https%3A%2F%2Fsubstack-post-media.s3.amazonaws.com%2Fpublic%2Fimages%2F2c132755-cd25-4ce8-ad98-6e3c913cfbcb_1024x572.png 424w, https://substackcdn.com/image/fetch/$s_!9Zxa!,w_848,c_limit,f_webp,q_auto:good,fl_progressive:steep/https%3A%2F%2Fsubstack-post-media.s3.amazonaws.com%2Fpublic%2Fimages%2F2c132755-cd25-4ce8-ad98-6e3c913cfbcb_1024x572.png 848w, https://substackcdn.com/image/fetch/$s_!9Zxa!,w_1272,c_limit,f_webp,q_auto:good,fl_progressive:steep/https%3A%2F%2Fsubstack-post-media.s3.amazonaws.com%2Fpublic%2Fimages%2F2c132755-cd25-4ce8-ad98-6e3c913cfbcb_1024x572.png 1272w, https://substackcdn.com/image/fetch/$s_!9Zxa!,w_1456,c_limit,f_webp,q_auto:good,fl_progressive:steep/https%3A%2F%2Fsubstack-post-media.s3.amazonaws.com%2Fpublic%2Fimages%2F2c132755-cd25-4ce8-ad98-6e3c913cfbcb_1024x572.png 1456w" sizes="100vw"><img src="https://substackcdn.com/image/fetch/$s_!9Zxa!,w_1456,c_limit,f_auto,q_auto:good,fl_progressive:steep/https%3A%2F%2Fsubstack-post-media.s3.amazonaws.com%2Fpublic%2Fimages%2F2c132755-cd25-4ce8-ad98-6e3c913cfbcb_1024x572.png" width="1024" height="572" data-attrs="{&quot;src&quot;:&quot;https://substack-post-media.s3.amazonaws.com/public/images/2c132755-cd25-4ce8-ad98-6e3c913cfbcb_1024x572.png&quot;,&quot;srcNoWatermark&quot;:null,&quot;fullscreen&quot;:null,&quot;imageSize&quot;:null,&quot;height&quot;:572,&quot;width&quot;:1024,&quot;resizeWidth&quot;:null,&quot;bytes&quot;:1051872,&quot;alt&quot;:null,&quot;title&quot;:null,&quot;type&quot;:&quot;image/png&quot;,&quot;href&quot;:null,&quot;belowTheFold&quot;:false,&quot;topImage&quot;:true,&quot;internalRedirect&quot;:&quot;https://www.rohan-paul.com/i/165774466?img=https%3A%2F%2Fsubstack-post-media.s3.amazonaws.com%2Fpublic%2Fimages%2F2c132755-cd25-4ce8-ad98-6e3c913cfbcb_1024x572.png&quot;,&quot;isProcessing&quot;:false,&quot;align&quot;:null,&quot;offset&quot;:false}" class="sizing-normal" alt="" srcset="https://substackcdn.com/image/fetch/$s_!9Zxa!,w_424,c_limit,f_auto,q_auto:good,fl_progressive:steep/https%3A%2F%2Fsubstack-post-media.s3.amazonaws.com%2Fpublic%2Fimages%2F2c132755-cd25-4ce8-ad98-6e3c913cfbcb_1024x572.png 424w, https://substackcdn.com/image/fetch/$s_!9Zxa!,w_848,c_limit,f_auto,q_auto:good,fl_progressive:steep/https%3A%2F%2Fsubstack-post-media.s3.amazonaws.com%2Fpublic%2Fimages%2F2c132755-cd25-4ce8-ad98-6e3c913cfbcb_1024x572.png 848w, https://substackcdn.com/image/fetch/$s_!9Zxa!,w_1272,c_limit,f_auto,q_auto:good,fl_progressive:steep/https%3A%2F%2Fsubstack-post-media.s3.amazonaws.com%2Fpublic%2Fimages%2F2c132755-cd25-4ce8-ad98-6e3c913cfbcb_1024x572.png 1272w, https://substackcdn.com/image/fetch/$s_!9Zxa!,w_1456,c_limit,f_auto,q_auto:good,fl_progressive:steep/https%3A%2F%2Fsubstack-post-media.s3.amazonaws.com%2Fpublic%2Fimages%2F2c132755-cd25-4ce8-ad98-6e3c913cfbcb_1024x572.png 1456w" sizes="100vw" fetchpriority="high"></picture><div class="image-link-expand"><div class="pencraft pc-display-flex pc-gap-8 pc-reset"><button tabindex="0" type="button" class="pencraft pc-reset pencraft icon-container restack-image"><svg role="img" width="20" height="20" viewBox="0 0 20 20" fill="none" stroke-width="1.5" stroke="var(--color-fg-primary)" stroke-linecap="round" stroke-linejoin="round" xmlns="http://www.w3.org/2000/svg"><g><title></title><path d="M2.53001 7.81595C3.49179 4.73911 6.43281 2.5 9.91173 2.5C13.1684 2.5 15.9537 4.46214 17.0852 7.23684L17.6179 8.67647M17.6179 8.67647L18.5002 4.26471M17.6179 8.67647L13.6473 6.91176M17.4995 12.1841C16.5378 15.2609 13.5967 17.5 10.1178 17.5C6.86118 17.5 4.07589 15.5379 2.94432 12.7632L2.41165 11.3235M2.41165 11.3235L1.5293 15.7353M2.41165 11.3235L6.38224 13.0882"></path></g></svg></button><button tabindex="0" type="button" class="pencraft pc-reset pencraft icon-container view-image"><svg xmlns="http://www.w3.org/2000/svg" width="20" height="20" viewBox="0 0 24 24" fill="none" stroke="currentColor" stroke-width="2" stroke-linecap="round" stroke-linejoin="round" class="lucide lucide-maximize2 lucide-maximize-2"><polyline points="15 3 21 3 21 9"></polyline><polyline points="9 21 3 21 3 15"></polyline><line x1="21" x2="14" y1="3" y2="10"></line><line x1="3" x2="10" y1="21" y2="14"></line></svg></button></div></div></div></a></figure></div><p>&#128218; Browse <strong><a href="https://rohanpaul.substack.com/s/ml-interview-series/archive?sort=new">the full ML Interview series here</a></strong>.</p><h2><strong>Fairness and Bias Mitigation: If you discover that your model is significantly underperforming for a particular subgroup (for example, a vision model has higher error rates for a certain demographic group), how would you address this fairness issue? Discuss approaches like collecting more representative training data, adding fairness constraints or reweighting during training, post-processing the outputs to reduce bias, and ongoing evaluation of model fairness metrics.</strong></h2><p class="button-wrapper" data-attrs="{&quot;url&quot;:&quot;https://x.com/rohanpaul_ai&quot;,&quot;text&quot;:&quot;Connect with me on X (Twitter)&quot;,&quot;action&quot;:null,&quot;class&quot;:&quot;button-wrapper&quot;}" data-component-name="ButtonCreateButton"><a class="button primary button-wrapper" href="https://x.com/rohanpaul_ai"><span>Connect with me on X (Twitter)</span></a></p><p>Data Representation And Collection</p><p>Ensuring that the dataset encompasses a sufficiently broad range of demographics, lighting conditions, viewpoints, and other relevant factors can help the model learn balanced features. Often, a root cause of biased model outputs is that the training data lacks examples of the underrepresented group. This leads to weaker learned representations and higher error rates on that specific subgroup. One approach to mitigate this is to either collect more data from the underperforming subgroup or augment existing data in a controlled manner. When the subgroup is small or difficult to collect, synthetic data generation methods can help, though these must be carefully validated for realism and consistency.</p><p>Another factor in data representation is verifying that labeling processes do not inadvertently encode bias. If the labels were generated by human annotators, there is the risk that some systematic labeling bias exists. For instance, in a face recognition dataset, labelers might systematically overlook certain attributes for one demographic group. A thorough auditing of the dataset can expose these biases. If discovered, one can attempt to relabel with improved guidelines, re-annotate via multiple annotators, or use specialized data cleaning algorithms.</p><p>Model Architecture And Fairness Constraints</p><p>Applying fairness constraints or reweighting strategies during training can help reduce disparate performance across subgroups. Instead of purely optimizing for overall accuracy or a single loss function, fairness objectives can be included. An example is to incorporate a penalty term that captures performance disparity across sensitive attributes. This typically involves measuring a fairness metric, such as demographic parity or equalized odds, and integrating it into the training objective.</p><p>When implementing a reweighting strategy, the loss function is typically multiplied by a factor that is inversely proportional to how frequently a subgroup appears. This can help the model pay more attention to underrepresented subgroups. A possible formulation of the weighted loss for each instance can be expressed in a simplified way as:</p><div class="captioned-image-container"><figure><a class="image-link image2" target="_blank" href="https://substackcdn.com/image/fetch/$s_!_TOn!,f_auto,q_auto:good,fl_progressive:steep/https%3A%2F%2Fsubstack-post-media.s3.amazonaws.com%2Fpublic%2Fimages%2Fea55c8a7-1492-492e-9213-4a98ec0e17c8_870x240.png" data-component-name="Image2ToDOM"><div class="image2-inset"><picture><source type="image/webp" srcset="https://substackcdn.com/image/fetch/$s_!_TOn!,w_424,c_limit,f_webp,q_auto:good,fl_progressive:steep/https%3A%2F%2Fsubstack-post-media.s3.amazonaws.com%2Fpublic%2Fimages%2Fea55c8a7-1492-492e-9213-4a98ec0e17c8_870x240.png 424w, https://substackcdn.com/image/fetch/$s_!_TOn!,w_848,c_limit,f_webp,q_auto:good,fl_progressive:steep/https%3A%2F%2Fsubstack-post-media.s3.amazonaws.com%2Fpublic%2Fimages%2Fea55c8a7-1492-492e-9213-4a98ec0e17c8_870x240.png 848w, https://substackcdn.com/image/fetch/$s_!_TOn!,w_1272,c_limit,f_webp,q_auto:good,fl_progressive:steep/https%3A%2F%2Fsubstack-post-media.s3.amazonaws.com%2Fpublic%2Fimages%2Fea55c8a7-1492-492e-9213-4a98ec0e17c8_870x240.png 1272w, https://substackcdn.com/image/fetch/$s_!_TOn!,w_1456,c_limit,f_webp,q_auto:good,fl_progressive:steep/https%3A%2F%2Fsubstack-post-media.s3.amazonaws.com%2Fpublic%2Fimages%2Fea55c8a7-1492-492e-9213-4a98ec0e17c8_870x240.png 1456w" sizes="100vw"><img src="https://substackcdn.com/image/fetch/$s_!_TOn!,w_1456,c_limit,f_auto,q_auto:good,fl_progressive:steep/https%3A%2F%2Fsubstack-post-media.s3.amazonaws.com%2Fpublic%2Fimages%2Fea55c8a7-1492-492e-9213-4a98ec0e17c8_870x240.png" width="870" height="240" data-attrs="{&quot;src&quot;:&quot;https://substack-post-media.s3.amazonaws.com/public/images/ea55c8a7-1492-492e-9213-4a98ec0e17c8_870x240.png&quot;,&quot;srcNoWatermark&quot;:null,&quot;fullscreen&quot;:null,&quot;imageSize&quot;:null,&quot;height&quot;:240,&quot;width&quot;:870,&quot;resizeWidth&quot;:null,&quot;bytes&quot;:23896,&quot;alt&quot;:null,&quot;title&quot;:null,&quot;type&quot;:&quot;image/png&quot;,&quot;href&quot;:null,&quot;belowTheFold&quot;:true,&quot;topImage&quot;:false,&quot;internalRedirect&quot;:&quot;https://www.rohan-paul.com/i/165774466?img=https%3A%2F%2Fsubstack-post-media.s3.amazonaws.com%2Fpublic%2Fimages%2Fea55c8a7-1492-492e-9213-4a98ec0e17c8_870x240.png&quot;,&quot;isProcessing&quot;:false,&quot;align&quot;:null,&quot;offset&quot;:false}" class="sizing-normal" alt="" srcset="https://substackcdn.com/image/fetch/$s_!_TOn!,w_424,c_limit,f_auto,q_auto:good,fl_progressive:steep/https%3A%2F%2Fsubstack-post-media.s3.amazonaws.com%2Fpublic%2Fimages%2Fea55c8a7-1492-492e-9213-4a98ec0e17c8_870x240.png 424w, https://substackcdn.com/image/fetch/$s_!_TOn!,w_848,c_limit,f_auto,q_auto:good,fl_progressive:steep/https%3A%2F%2Fsubstack-post-media.s3.amazonaws.com%2Fpublic%2Fimages%2Fea55c8a7-1492-492e-9213-4a98ec0e17c8_870x240.png 848w, https://substackcdn.com/image/fetch/$s_!_TOn!,w_1272,c_limit,f_auto,q_auto:good,fl_progressive:steep/https%3A%2F%2Fsubstack-post-media.s3.amazonaws.com%2Fpublic%2Fimages%2Fea55c8a7-1492-492e-9213-4a98ec0e17c8_870x240.png 1272w, https://substackcdn.com/image/fetch/$s_!_TOn!,w_1456,c_limit,f_auto,q_auto:good,fl_progressive:steep/https%3A%2F%2Fsubstack-post-media.s3.amazonaws.com%2Fpublic%2Fimages%2Fea55c8a7-1492-492e-9213-4a98ec0e17c8_870x240.png 1456w" sizes="100vw" loading="lazy"></picture><div></div></div></a></figure></div><p>where &#952; are the model parameters, x&#7522; is a training example with label y&#7522;, &#8467; is the loss term for the prediction, and w&#7522; is a weight that is higher for samples from an underrepresented subgroup. Even though the above expression is fairly standard, choosing the proper weighting strategy is critical. If weights are set too high for a particular subgroup, it might degrade performance on the rest of the population.</p><p>Fairness constraints can also appear through training methods that specifically optimize for certain fairness metrics. This can involve adversarial techniques that try to remove sensitive attributes from the learned representations. One might, for instance, have an adversarial classifier that attempts to predict the sensitive attribute from the model&#8217;s latent space. By minimizing the adversarial classifier's accuracy, one encourages the main model to produce latent representations that do not contain sensitive information.</p><p>Post-processing Methods</p><p>After the model is trained, there are methods to alter predictions so that certain fairness metrics are satisfied. One approach, known as calibration-based post-processing, adjusts the decision threshold differently for different demographic groups. Another approach might alter the label outcomes so that the fraction of positive predictions is constrained to be equal or nearly equal across groups (satisfying a demographic parity goal). The main advantage of post-processing is that it can be simpler to implement since it does not require re-training the model. However, the disadvantage is that the underlying model might still hold biased representations, and post-processing can degrade overall predictive performance in certain contexts.</p><p>The post-processing method typically requires a separate validation procedure for each subgroup to find suitable thresholds or adjustments. If the subgroup is significantly underrepresented, ensuring robust threshold tuning might be challenging because fewer validation examples are available.</p><p>Ongoing Evaluation And Monitoring</p><p>Once steps are taken to address bias, it is essential to continually monitor fairness-related metrics to see if the intervention helps in practice. Re-collection of new data distributions or shifts in the input domain might cause the model to slip back into biased predictions. Ongoing evaluation often uses a dashboard that displays fairness metrics such as false positive rate, false negative rate, or mean average precision per subgroup in classification tasks. In a vision application, one might measure error rates like misclassification rate, bounding-box mismatch, or segmentation Intersection-over-Union for each group.</p><p>These fairness metrics help track where performance might degrade again. If that occurs, the pipeline can be updated with new data or refined approaches. Continual monitoring includes aspects such as drift detection, which checks if there is a distributional shift that significantly impacts certain subgroups. In production, it is often necessary to adopt automated retraining or reweighting procedures that incorporate newly gathered data from underperforming subgroups.</p><p>Practical Implementation Example</p><p>Here is a simplified snippet illustrating a reweighting approach in PyTorch for classification:</p><pre><code><code>import torch
import torch.nn as nn
import torch.optim as optim

# Suppose inputs are images, labels are classes, and groups identify subgroups
# Let's assume 'groups' is a tensor specifying the subgroup for each sample

model = nn.Sequential(
    nn.Conv2d(3, 16, kernel_size=3),
    nn.ReLU(),
    nn.Flatten(),
    nn.Linear(16*some_width*some_height, 10)  # example classes
)

criterion = nn.CrossEntropyLoss(reduction='none')
optimizer = optim.Adam(model.parameters(), lr=1e-3)

num_epochs = 10
for epoch in range(num_epochs):
    for images, labels, groups in dataloader:
        outputs = model(images)
        loss_per_sample = criterion(outputs, labels)

        # Suppose we computed 'weights' offline or dynamically based on subgroup
        # For instance, weights = freq_dict[group]^-1 / normalization_factor
        # freq_dict is a dictionary with freq_dict[subgroup] = #samples in that subgroup
        sample_weights = compute_sample_weights(groups)

        weighted_loss = (loss_per_sample * sample_weights).mean()

        optimizer.zero_grad()
        weighted_loss.backward()
        optimizer.step()
</code></code></pre><p>In this illustration, one might compute sample_weights in a manner that underrepresented subgroups have higher weights. Alternatively, if fairness constraints are employed, the loss might be augmented with an adversarial or fairness metric term.</p><p>Explainable And Transparent Reporting</p><p>It helps to provide stakeholders with interpretable metrics and a clear understanding of how the model&#8217;s decisions vary across different groups. Visualization techniques can help illustrate the difference in performance. In vision tasks, confusion matrices or specialized performance plots per subgroup can highlight persistent biases. By presenting these differences and the interventions taken, the system becomes more trustworthy and open to external scrutiny.</p><p>Fairness does not solely revolve around demographic parity. Depending on context, other fairness definitions such as equalized odds, equal opportunity, or calibration might be more relevant. A thorough approach to fairness is to analyze the application&#8217;s needs and choose the fairness definition that best aligns with the real-world implications of the model&#8217;s outputs.</p><p>Trade-Offs</p><p>There are inevitable trade-offs between overall performance, model complexity, and fairness constraints. Sometimes, implementing stricter fairness constraints can reduce the model&#8217;s overall accuracy. In many real scenarios, it may be acceptable to have a slightly lower aggregate accuracy if it improves accuracy or reduces error for historically disadvantaged groups. The relative weighting of these considerations depends on the use case, ethical guidelines, and compliance obligations. One also has to consider that some fairness definitions may compete with one another, making it impossible to satisfy all definitions simultaneously.</p><p>Maintaining ethical and regulatory compliance is crucial. Some jurisdictions require that automated decision systems meet certain interpretability or fairness standards. These constraints can influence which biases are prioritized for mitigation. One must ensure that the approach to addressing subgroup disparities does not inadvertently harm other protected categories or degrade overall fairness.</p><p>Addressing fairness involves continuous work. It is not a one-time fix. The model, the data, and the world evolve over time. Consistent auditing, re-collection of data, improvement of training processes, and robust post-processing checks are necessary to mitigate bias and ensure equitable outcomes.</p><div class="subscription-widget-wrap-editor" data-attrs="{&quot;url&quot;:&quot;https://www.rohan-paul.com/subscribe?&quot;,&quot;text&quot;:&quot;Subscribe&quot;,&quot;language&quot;:&quot;en&quot;}" data-component-name="SubscribeWidgetToDOM"><div class="subscription-widget show-subscribe"><div class="preamble"><p class="cta-caption">I write everyday for my readers on actionable AI. Subscribe and instantly get a 1300+ page Python book.</p></div><form class="subscription-widget-subscribe"><input type="email" class="email-input" name="email" placeholder="Type your email&#8230;" tabindex="-1"><input type="submit" class="button primary" value="Subscribe"><div class="fake-input-wrapper"><div class="fake-input"></div><div class="fake-button"></div></div></form></div></div><h2><strong>How Do You Measure Fairness In Your Dataset?</strong></h2><p>Fairness measurement often depends on the scenario. In classification tasks, one might measure metrics like false positive rate or false negative rate across subgroups. If these metrics differ significantly between groups, that signals bias. Another approach is to check demographic parity, which examines the rate of positive predictions across subgroups. If one group receives a positive outcome significantly more often, that might be unfair unless justified by valid differences in the underlying data.</p><p>In vision-based tasks where the output is not a simple label but rather bounding boxes or segmentation masks, you might measure average precision or Intersection-over-Union separately for each subgroup. If a segmentation model systematically under-segments objects for a certain demographic group, it can indicate bias. These metrics can be computed by labeling or grouping your validation set based on demographic attributes, then calculating performance metrics separately for each group.</p><p>A potential pitfall is to focus on only one metric, such as overall accuracy. A high overall accuracy can mask poor subgroup performance if the underrepresented group constitutes a small fraction of the dataset.</p><h2><strong>If The Model Remains Biased After Reweighting, What Can Be Done?</strong></h2><p>If the model still exhibits bias after reweighting, there are multiple potential next steps. One possibility is that the model architecture or features used do not properly capture the nuances of the underrepresented group. This might require feature engineering, collecting more diverse data that covers varied attributes of that subgroup, or exploring advanced architectures that better generalize to minority groups.</p><p>More advanced techniques, such as adversarial debiasing, may be employed. In adversarial debiasing, there is a main network performing the primary prediction task while an adversarial network tries to identify the subgroup from the main network&#8217;s intermediate representations. By forcing the main network to produce representations that confuse the adversarial network, you reduce the risk of embedding sensitive attribute information. This can help reduce the gap in performance across subgroups.</p><p>One can also employ a multi-objective training setup that simultaneously optimizes accuracy and fairness. This might involve additional hyperparameter tuning to balance the emphasis on each objective. Sometimes, domain adaptation methods can be used if the underrepresented group is effectively treated as a different domain.</p><h2><strong>How Does One Choose Between Changing The Training Procedure Versus Using Post-Processing Methods?</strong></h2><p>Choosing between adjusting the training procedure or using post-processing often hinges on constraints like the difficulty of retraining, the scale of the dataset, and system requirements. If you have full control over training and can incorporate fairness objectives into the main loss function, training-based methods can directly reduce biased representations in the internal learned parameters. This is often preferable for deeply-rooted biases since it addresses them at their source.</p><p>If retraining is prohibitively expensive or time-consuming, or if the model is a black box from a third party, then post-processing can be an immediate solution. However, post-processing typically only modifies the final output distribution. If the model&#8217;s latent representations are heavily biased, post-processing might be less effective or result in a larger trade-off in accuracy.</p><p>It can also be beneficial to combine approaches. For instance, one might apply reweighting strategies during training and then do a threshold-based post-processing to fine-tune fairness metrics on certain subgroups.</p><h2><strong>How Do You Continue Monitoring Bias Once The System Is Deployed?</strong></h2><p>Deployment monitoring for bias is usually achieved by continuously collecting real-world data and evaluating performance by subgroup. One might set up a pipeline that periodically calculates fairness metrics on fresh incoming data. If the system sees a distribution shift&#8212;maybe a new demographic group starts using the service, or the characteristics of existing groups change&#8212;this can lead to changes in model performance. Automated alerts can trigger whenever certain disparity thresholds are exceeded.</p><p>If bias grows over time, it might require retraining with additional representative data or adjusting the hyperparameters in the fairness constraints. In real-world systems, compliance frameworks or internal governance policies might require documentation of bias monitoring processes, demonstrating how the model is tested over time. This fosters accountability and ensures an immediate response should subgroup performance metrics degrade.</p><h2><strong>Could Collecting More Representative Data Exacerbate Privacy Or Ethical Concerns?</strong></h2><p>Collecting more data about sensitive demographic attributes can present privacy risks. In some scenarios, you might need user consent to store demographic information. Even if users consent, storing sensitive data introduces additional responsibilities to protect that data from breaches and to comply with regulations. Organizations often face a paradox: to address bias, they need to analyze performance across sensitive attributes, but storing those attributes can raise ethical and legal questions.</p><p>De-identification procedures or secure multi-party computation can help mitigate privacy issues. Another approach is to store the attributes in an encrypted form or use them for model-building in an ephemeral way, without permanently retaining them. It is crucial to comply with local regulations such as GDPR or relevant data protection laws.</p><h2><strong>How Might You Handle Intersectional Bias?</strong></h2><p>Intersectional bias refers to performance disparities that appear at the intersection of multiple protected attributes. For example, the model might perform poorly for a particular ethnicity combined with a certain age range. Approaches here generally parallel single-attribute bias mitigation, but the complexity grows because one must analyze (and collect sufficient data for) multiple subgroups across multiple attributes.</p><p>Challenges arise when sample sizes become extremely small for certain intersections. Reweighting or constraint-based approaches can become difficult if you do not have enough data to obtain reliable estimates of performance at each intersection. Targeted data augmentation strategies that focus on certain intersectional groups can help. If it is feasible, active learning can also be used to specifically seek out new data from underrepresented intersectional groups.</p><h2><strong>What If You Cannot Collect Sensitive Attributes Due To Regulatory Constraints?</strong></h2><p>Sometimes, the model cannot directly access or store sensitive attributes. One technique in such scenarios is to infer probable sensitive attributes indirectly, though this in itself can create potential ethical and legal dilemmas. Another option is to use proxy variables or rely on approximate group membership. But if direct sensitive attribute data is truly unavailable, you may end up performing &#8220;fairness through unawareness,&#8221; which can be insufficient since many biases can creep in through correlated features.</p><p>There are methods, however, that try to reduce representation of any single latent attribute in a learned model. An example is to include an adversarial classifier for any attribute that might correlate with a protected feature. This approach is less effective if you cannot even approximate sensitive attributes, but it can still limit how strongly certain features are represented in the latent space.</p><p>Without any way to track performance across subgroups, it is challenging to verify that the model remains fair. From a regulatory perspective, if you cannot gather the data for protected groups, ensuring fairness might require other policy or process-based mitigations outside purely technical solutions.</p><h2><strong>How Do You Decide Which Fairness Metrics To Optimize?</strong></h2><p>The choice of fairness metric depends on the application context and the ethical or regulatory constraints. In some cases, focusing on equal false positive rates across groups might be important (for example, a system that flags images for further scrutiny in security contexts). In other cases, ensuring that each group has a similar true positive rate might be a priority. If your system is used for tasks like job hiring or academic admissions, you might need to ensure that each group has similar acceptance rates, aligning with demographic parity.</p><p>There is rarely a single metric that captures all dimensions of fairness. Different metrics can conflict. By working with domain experts and considering real-world implications of false positives and false negatives, you can choose metrics that reflect stakeholder concerns. You can also consider multi-objective optimization where you try to maintain performance while satisfying fairness constraints within acceptable margins.</p><h2><strong>In Practice, Is It Always Desirable To Have Perfect Parity Between Groups?</strong></h2><p>Perfect parity is often an ideal but can be impractical or even undesirable in certain settings. Real-world differences in data distribution, prevalence of labels, or legitimate subgroup differences can make perfect parity infeasible or counterproductive. For instance, in certain medical diagnostic applications, certain conditions might genuinely be more prevalent in one demographic group. Adjusting the model to produce the same positive rate across all groups might degrade clinical utility.</p><p>Designing fairness constraints should be done in consultation with domain experts who can clarify where group differences reflect underlying realities and where they reflect historical disadvantages. Balancing these considerations can be difficult and might require iterative experimentation and stakeholder input.</p><h2><strong>How Can Adversarial Approaches Help In Reducing Bias?</strong></h2><p>Adversarial approaches typically involve a main model trained to predict the target task while an adversarial component tries to predict the sensitive attribute from the model&#8217;s internal representations. The main network aims to minimize the target loss while also minimizing the adversary&#8217;s ability to predict the sensitive attribute. This forces the network to remove or obscure sensitive attribute information in the latent space. The training loop might look something like this:</p><pre><code><code># Pseudocode sketch

model_output = main_model(x)
adv_input = some_intermediate_representation # e.g., model_output or a hidden layer
sensitive_pred = adversary(adv_input)

main_loss = classification_loss(model_output, y)
adv_loss = adversarial_loss(sensitive_pred, s) # s is sensitive attribute

# Combine them in a way that the main network tries to minimize main_loss + alpha * ( - adv_loss )
# while the adversary tries to minimize adv_loss
</code></code></pre><p>If the adversary becomes very good at predicting the sensitive attribute, it means the main network&#8217;s representations still embed too much sensitive information. If the adversary can only do no better than random guessing, then the main network&#8217;s representations are likely uninformative with respect to the sensitive attribute, potentially reducing biases arising from that attribute.</p><h2><strong>How Would You Evaluate Whether Fairness Interventions Are Hurting Overall Accuracy?</strong></h2><p>One of the biggest concerns is whether mitigating bias reduces accuracy for the majority group. To evaluate this, you can monitor standard performance metrics across the entire population as well as subgroup-specific metrics. Compare them before and after applying fairness interventions. If the overall metrics drop substantially, it might indicate a need to reconsider how aggressively you impose fairness constraints or reweighting. In many production contexts, a slight loss in overall performance is considered acceptable if it significantly improves performance for historically underrepresented subgroups.</p><p>In practice, you might create a Pareto curve of fairness vs. accuracy. For example, one axis could be disparity in false positive rates, and the other axis overall accuracy. Different training or post-processing hyperparameters produce different trade-off points. Stakeholders can then decide which balance of fairness vs. accuracy is acceptable.</p><h2><strong>What Are Some Potential Real-World Consequences If These Fairness Interventions Are Not Addressed Properly?</strong></h2><p>Ignoring fairness issues can cause serious reputational damage, ethical harm, and even legal ramifications if the system makes discriminatory decisions. In computer vision, a facial recognition system that incorrectly identifies or fails to recognize individuals from a particular demographic group can lead to false arrests, denial of access, or other critical mistakes with significant societal implications.</p><p>On a practical business level, biased systems can lead to loss of trust and potential lawsuits if protected subgroups face systematic disadvantages. Public sector use cases like law enforcement or social services have stringent requirements to ensure equitable treatment of all citizens. Failure to address bias can also lead to the inability to deploy or scale the technology in regulated industries.</p><p>In addition, from a purely technical perspective, any form of bias often indicates inadequate representation of important features or patterns in the dataset. This can negatively impact the model&#8217;s overall robustness. If the environment changes or if more data from the underrepresented group starts to appear, the model may fail to adapt well.</p><h2><strong>How Do You Handle Situations Where Different Fairness Definitions And Stakeholder Priorities Conflict?</strong></h2><p>Conflicting definitions of fairness or stakeholder priorities can occur. Some stakeholders may insist on equal false positive rates, while others may focus on equal false negative rates or acceptance rates. A typical process for resolving these conflicts involves meeting with domain experts, ethicists, legal advisors, and affected community representatives. The negotiation often includes analyzing the operational impacts of each fairness criterion and discussing acceptable trade-offs.</p><p>One strategy is to iteratively experiment with various fairness constraints, measure the outcomes, and then present these results to stakeholders. Explaining the trade-offs with transparent data can help them converge on a compromise. This ensures everyone understands the potential consequences. In high-stakes domains, external regulatory or legal requirements might also override internal preferences.</p><h2><strong>If You Resolve Bias In One Subgroup, Could That Introduce Bias Against Another Subgroup?</strong></h2><p>In a multi-subgroup world, focusing on one subgroup sometimes inadvertently leads to performance degradation or new biases for other subgroups. This highlights the importance of evaluating fairness metrics across all relevant subgroups and not only focusing on a single protected class. Intersectionality complicates this further because a model fix targeted at one intersection might harm another intersection that was not originally scrutinized.</p><p>Continuous, holistic evaluation of fairness metrics is essential to prevent this phenomenon. If your fairness constraints or reweighting approach only singled out one subgroup, it is prudent to expand the approach to consider multiple subgroups simultaneously. This might mean you adopt a multi-group fairness objective or an intersectional fairness objective from the outset.</p><h2><strong>How Do You Decide Which Fairness Constraints Are Legally Required?</strong></h2><p>In some jurisdictions, there are specific guidelines or laws. Certain countries impose guidelines on automated decision-making that require equality of opportunity across gender or race. Others have narrower or broader regulatory frameworks that require clarity on data usage. Working with legal teams to interpret these regulations is crucial. Where regulations do not specify exact fairness metrics, you might adopt widely recognized industry best practices to ensure compliance.</p><p>Complex regulatory environments can necessitate specialized compliance features, such as logging each inference result with an audit trail. Data retention policies might specify how long sensitive data can be stored. In certain highly regulated industries like finance or healthcare, fairness can be mandated in ways that require frequent external auditing or certification.</p><p>The choice of constraints can also come from ethical guidelines or from the overall organizational mission that aims to reduce discrimination. This might go beyond legal minimum requirements and reflect corporate values or broader social responsibility objectives.</p><h2><strong>Can You Give An Example Of Post-Processing To Adjust Decision Thresholds For Subgroups?</strong></h2><p>A practical example of threshold adjustment would be a scenario where a binary classifier outputs a probability for each sample. Suppose you have two subgroups, A and B, and you notice that at a global threshold t, subgroup A has a very different false positive rate than subgroup B. One way to mitigate this is to set distinct thresholds t&#7491; and t&#7495; for each subgroup such that you align their false positive rates. Concretely, you might search for thresholds that ensure each subgroup&#8217;s false positive rate is the same. A toy example in Python:</p><pre><code><code>import numpy as np

pred_probs = model(x_val)
subgroups = get_subgroups(x_val)
labels = get_labels(x_val)

# Suppose subgroups contain A or B for each sample
# We compute different operating points for each subgroup

for group in ['A', 'B']:
    group_indices = [i for i, g in enumerate(subgroups) if g == group]
    group_probs = pred_probs[group_indices]
    group_labels = labels[group_indices]

    # We tune threshold for group to achieve a desired false positive rate
    best_threshold = find_threshold_for_desired_fpr(group_probs, group_labels, desired_fpr=0.1)
    # Then we store it in a dictionary
    group_thresholds[group] = best_threshold

def custom_post_process(prob, group):
    return 1 if prob &gt;= group_thresholds[group] else 0
</code></code></pre><p>This approach ensures each group has an aligned false positive rate (or any target fairness metric you choose to standardize by threshold adjustment). However, it might lead to different acceptance rates across subgroups or other unintended consequences. This is why it is necessary to evaluate multiple metrics, not just the one used for threshold selection.</p><div><hr></div><h2><strong>Below are additional follow-up questions</strong></h2><h2><strong>How would you deal with label noise that disproportionately affects certain subgroups?</strong></h2><p>Label noise can exacerbate fairness issues if mislabeling is more frequent or systematic for specific subgroups. This could happen when annotators lack familiarity or cultural context, or when automated labeling tools do not generalize well to certain populations. If a subgroup&#8217;s labels are inconsistently or incorrectly assigned, the model will train on flawed examples, ultimately reducing performance disproportionately for that subgroup.</p><p>To address this:</p><ul><li><p><strong>Data auditing and cleaning</strong>: Conduct a detailed audit of data specifically for the subgroup in question. If label noise is discovered, implement more stringent quality checks or rely on multiple annotators for verification. Cross-check label consistency across overlapping subsets of data.</p></li><li><p><strong>Active re-labeling</strong>: Focus re-labeling efforts primarily on the subgroup where label noise is suspected to be highest. Active learning methods can flag uncertain or inconsistent labels for human review.</p></li><li><p><strong>Robust training techniques</strong>: Models designed to handle label noise (e.g., noise-robust loss functions) can help reduce the impact of erroneous labels. For example, approaches that estimate a noise transition matrix or implement bootstrapping can down-weight highly uncertain labels.</p></li><li><p><strong>Validation set checks</strong>: Maintain a curated, high-quality validation set that accurately represents each subgroup and is carefully verified to be free of label noise. Continuously monitor performance on this set to catch discrepancies.</p></li></ul><p>A subtle pitfall is that if only a small proportion of the dataset belongs to the subgroup, label noise corrections might be too minor to significantly shift overall metrics. Thus, focusing on the subgroup alone might lead to minimal changes in aggregated performance. Nonetheless, the fairness gains for that subgroup can be pivotal.</p><h2><strong>What if the notion of &#8220;sensitive attribute&#8221; is itself controversial or context-dependent?</strong></h2><p>In some real-world cases, there can be disagreement about which attributes should be considered &#8220;sensitive.&#8221; Additionally, certain attributes might be sensitive in one context but not another. For instance, location data might be sensitive in a particular context (e.g., personal safety concerns) but innocuous in others.</p><p>Strategies:</p><ul><li><p><strong>Contextual analysis</strong>: Work with domain experts and stakeholders to understand the implications of each attribute in the given context. In some domains, certain attributes are legally protected (e.g., gender, race), while others might be ethically sensitive in specific cultural contexts (e.g., religion or political affiliation).</p></li><li><p><strong>User feedback</strong>: In consumer-facing applications, collect user feedback or run focus groups to determine which attributes people are most concerned about. In some situations, user-driven definitions of sensitivity can be more aligned with the system&#8217;s practical impact.</p></li><li><p><strong>Modular approach</strong>: Implement a flexible pipeline where potential sensitive attributes can be toggled in or out of the fairness analysis. This can be important in large organizations where multiple teams might have different definitions of what is sensitive, or where regulations evolve over time.</p></li><li><p><strong>Continuous re-evaluation</strong>: Over time, the social and regulatory environment may change, making certain attributes newly recognized as sensitive or vice versa. Regularly re-evaluate which attributes need special handling.</p></li></ul><p>An edge case arises when an attribute is highly correlated with a protected attribute but not explicitly recognized as sensitive. For instance, ZIP codes can correlate with race or socioeconomic status. Even if ZIP code is not deemed &#8220;sensitive,&#8221; it can still lead to bias. Hence, continuously monitoring model outcomes by relevant groupings is crucial.</p><h2><strong>How do you account for cultural biases in the data for an international model deployment?</strong></h2><p>When models are used across multiple regions, cultures, or languages, subtle biases may emerge because the data is dominated by one cultural context. For example, a vision model trained primarily on Western faces may have higher error on non-Western faces.</p><p>Possible solutions:</p><ul><li><p><strong>Localization of datasets</strong>: Collect culturally or regionally specific data to ensure each locale or demographic is equally represented. This can significantly improve the model&#8217;s ability to generalize across varied domains.</p></li><li><p><strong>Domain adaptation</strong>: Use techniques that adapt a base model trained on one domain to another domain with limited labeled data. For instance, fine-tuning on a smaller subset of region-specific data can address cultural nuances.</p></li><li><p><strong>Translation and annotation</strong>: In text-based models, ensuring that translation quality and annotation guidelines are consistent is critical. Cultural context might influence word usage or sentiment in ways that do not directly translate.</p></li><li><p><strong>Ethnographic audits</strong>: Employ domain experts or local communities who can flag data attributes or patterns that might be misinterpreted by the model.</p></li></ul><p>A subtle point is deciding how to unify fairness metrics across drastically different cultural contexts. One society might prioritize equalized false positive rates, whereas another might focus on overall coverage or accuracy. Balancing conflicting norms is an ongoing challenge that often requires region-specific approaches.</p><h2><strong>In a multi-label classification setting, how do you ensure fairness when multiple labels might correlate with a protected attribute?</strong></h2><p>In multi-label tasks (e.g., tagging images with multiple attributes), certain tags might be more frequent or relevant for certain demographics. Standard fairness measures for single-label tasks do not directly translate to multi-label situations because each instance can have multiple true labels.</p><p>Strategies:</p><ul><li><p><strong>Label-specific subgroup analyses</strong>: Evaluate fairness metrics separately for each label-subgroup combination. For instance, if you are predicting different attributes (like &#8220;smiling,&#8221; &#8220;wearing glasses,&#8221; &#8220;wearing hat&#8221;), check how often each label is correctly predicted across each demographic group.</p></li><li><p><strong>Per-label reweighting</strong>: Extend typical reweighting or constraint-based methods to handle each label individually. This can be complex because you must account for label correlations. If you correct one label&#8217;s bias, it could introduce or leave unaddressed bias in another.</p></li><li><p><strong>Hierarchical fairness</strong>: If labels are hierarchical or correlated, define fairness at multiple levels. For instance, ensuring fairness for overall detection of faces across subgroups, and then fairness for subsequent attributes within those detected faces.</p></li><li><p><strong>Monitoring label co-occurrence</strong>: Some subgroups might be more likely to have certain label combinations. Failing to address these co-occurrences can lead to intersectional or multi-label bias. Regular data checks can highlight anomalies in label distributions.</p></li></ul><p>One hidden challenge is that multi-label tasks can have incomplete labels&#8212;some true labels might be missing. If incomplete labeling is systematically worse for certain subgroups, that leads to even more skewed distributions.</p><h2><strong>How does transfer learning impact bias, especially when the pre-trained model is trained on a large but non-representative dataset?</strong></h2><p>Many state-of-the-art vision or language models come from large pre-trained networks. These networks might be trained on large datasets that historically have been skewed (e.g., predominantly English text, or specific geographies for images). When you fine-tune such a model on your own data, the biases learned in the pre-training phase may persist.</p><p>Approaches to mitigate:</p><ul><li><p><strong>Pre-training data auditing</strong>: Scrutinize the composition of the base model&#8217;s training data. Although it can be massive, even partial analysis can reveal severe skews (e.g., underrepresentation of certain languages or dialects).</p></li><li><p><strong>Domain adaptation with fairness constraints</strong>: Incorporate fairness constraints when adapting the pre-trained model to your target data. For instance, apply adversarial debiasing or reweighting that acknowledges the base model&#8217;s existing skew.</p></li><li><p><strong>Debiasing techniques on embeddings</strong>: If the transfer learning approach uses fixed embeddings (e.g., language embeddings), you can apply debiasing procedures on those embeddings. For instance, in word embeddings, techniques exist to remove gender or racial stereotypes from vector representations.</p></li><li><p><strong>Post-hoc analyses</strong>: After transfer learning, systematically evaluate whether the model&#8217;s biases were reduced or remain intact. Fine-tuning alone does not guarantee the elimination of pre-training bias.</p></li></ul><p>A subtle pitfall is over-reliance on large pre-trained models without verifying their biases against underrepresented subgroups. Because these models are widely adopted, biases can become entrenched if not proactively addressed.</p><h2><strong>How can one handle a scenario where mitigating bias for a certain subgroup might conflict with compliance or operational constraints?</strong></h2><p>Sometimes, domain rules or regulations might restrict certain forms of data manipulation. For instance, in finance, you might be legally constrained from changing certain interest rates post-processing to maintain &#8220;fairness.&#8221; Or in healthcare, guidelines may prohibit the use of protected attributes in model training even if it could improve fairness.</p><p>Ways to navigate:</p><ul><li><p><strong>Legal counsel and compliance</strong>: Engage legal and compliance experts to understand the permissible range of interventions. There might be specific frameworks that delineate how fairness can be pursued without violating regulations.</p></li><li><p><strong>Technical and policy synergy</strong>: Explore solutions that require minimal direct manipulation of outcomes. For example, you might apply data-level interventions or choose modeling strategies that do not explicitly rely on or reveal protected attributes.</p></li><li><p><strong>Regular audits and documentation</strong>: Document every attempt at bias mitigation and align it with compliance requirements. This demonstrates due diligence and can clarify which interventions are permissible.</p></li><li><p><strong>Creative re-framing</strong>: In some cases, you can incorporate fairness constraints indirectly via robust design or domain-specific features that approximate relevant fairness aspects. For example, if direct usage of a protected attribute is disallowed, you might use a carefully curated feature that partially captures the relevant context without directly revealing the attribute.</p></li></ul><p>The risk here is that a well-intentioned fairness fix might be deemed non-compliant. If so, you might need alternative solutions&#8212;like collecting separate data or shifting to a different modeling paradigm.</p><h2><strong>How would you address &#8220;template bias&#8221; in a vision system where certain backgrounds or settings are overrepresented for one subgroup?</strong></h2><p>Template bias refers to scenarios where a model sees recurring backgrounds or environmental contexts that coincide with a demographic group. For instance, if images of one group mostly appear in indoor lighting conditions and another group mostly in outdoor conditions, the model&#8217;s performance might degrade whenever the typical context is missing.</p><p>Potential approaches:</p><ul><li><p><strong>Contextual data augmentation</strong>: Synthetically alter backgrounds or lighting conditions for each subgroup to expand coverage. For instance, place images of individuals from the underrepresented group in varied scenes, ensuring the model sees them in multiple contexts.</p></li><li><p><strong>Stratified sampling</strong>: Carefully ensure that the training dataset has balanced distributions of background settings across subgroups. This might require oversampling certain subgroup-context combinations.</p></li><li><p><strong>Context disentanglement</strong>: If feasible, design the model architecture to separate person-centric features from background features. This can help reduce overfitting to the environment. For example, use multi-stream networks that handle foreground (person) and background (context) differently.</p></li><li><p><strong>Fine-grained error analysis</strong>: Investigate if the misclassification is truly about the subgroup&#8217;s physical attributes or about the environments associated with them. This can guide data collection efforts more precisely.</p></li></ul><p>The tricky part is ensuring the augmented images are both realistic and ethically valid. Overly manipulated images might introduce visual artifacts or unrealistic scenarios, which can mislead the model or degrade performance.</p><h2><strong>How do you handle fairness across time when user demographics or data distributions change?</strong></h2><p>Data drift can occur when the proportion of subgroups changes or new subgroups emerge. A system might have been fair at launch but drifts away from fairness over time.</p><p>Recommendations:</p><ul><li><p><strong>Scheduled retraining</strong>: Periodically retrain the model using recent data that reflects the current demographic distribution. If a new subgroup emerges, specifically incorporate that data.</p></li><li><p><strong>Online learning or incremental updates</strong>: In streaming scenarios, incorporate new samples continuously. Fairness constraints can be imposed in an online fashion, adjusting model parameters as distributions shift.</p></li><li><p><strong>Dynamic weighting</strong>: Over time, reweight data from newly emerging or previously underrepresented subgroups to ensure ongoing coverage. This method needs to be balanced so that older data is not completely discarded if it still represents part of the user base.</p></li><li><p><strong>Monitoring drift</strong>: Implement drift detection algorithms that flag shifts in the distribution of inputs or subgroup membership. Once drift is detected, a re-evaluation of fairness metrics should follow.</p></li></ul><p>A subtle corner case arises if historical data becomes stale or no longer relevant for new subgroups. The system might remain accurate for older subgroups but lose accuracy for novel patterns. Continual fairness checks ensure no subgroup is neglected as distributions evolve.</p><h2><strong>How can you handle real-time fairness checks in high-throughput systems?</strong></h2><p>In large-scale or real-time systems (such as content filtering or streaming recommendations), explicit fairness checks on every single inference might be computationally expensive or operationally infeasible.</p><p>Options include:</p><ul><li><p><strong>Batched subgroup sampling</strong>: Periodically sample user interactions and assign them to subgroups for evaluation, rather than checking fairness in real-time for every request.</p></li><li><p><strong>Approximate metrics</strong>: Use approximate methods or hashing-based approaches to group users by sensitive attributes (if known) or proxy attributes. Then compute fairness metrics on aggregated intervals (e.g., hourly or daily).</p></li><li><p><strong>Caching and thresholding</strong>: If certain fairness indicators (e.g., false positive rates) remain stable over short intervals, you might run a fairness evaluation less frequently. Only when anomalies are detected do you perform deeper analysis.</p></li><li><p><strong>Parallel pipelines</strong>: Maintain a parallel validation pipeline that closely tracks real-time traffic. This pipeline might not be used for the live model output but can run continuous checks to update dashboards. If a bias threshold is crossed, the system can trigger an alert or fallback strategy.</p></li></ul><p>An edge case is that some subgroups might not appear frequently enough to get reliable statistics in small time windows. A solution is to apply rolling or cumulative metrics to gather enough data for stable measurement.</p><h2><strong>What do you do if a fairness metric improves in your offline tests but real-world user complaints about bias persist?</strong></h2><p>Discrepancies can arise between offline metrics and real-world experiences for numerous reasons. Perhaps offline metrics do not capture nuanced forms of bias that users see. Or the real-world usage scenario differs from the distribution in your test sets.</p><p>Possible remedies:</p><ul><li><p><strong>User experience research</strong>: Engage directly with users or community groups to understand how the bias is surfacing in practical scenarios. Real-world biases can be more situational than purely algorithmic.</p></li><li><p><strong>More granular metrics</strong>: Standard fairness metrics might be too coarse. Investigate scenario-specific issues&#8212;like how quickly content is recommended or how frequently certain groups see undesired outcomes.</p></li><li><p><strong>A/B testing with fairness instrumentation</strong>: In some products, you can run controlled experiments that specifically track performance for subgroups. Compare the new fairness approach with the baseline model in a real environment.</p></li><li><p><strong>Iterative feedback loop</strong>: If real users are reporting issues, incorporate their feedback into further data collection or model updates. This might require building feedback mechanisms directly into the interface.</p></li></ul><p>A pitfall here is focusing on a single fairness definition. The mismatch with user experience could indicate an overlooked dimension of fairness&#8212;like interpretability or the specific context in which decisions are made.</p><h2><strong>How do you mitigate fairness issues in unsupervised or self-supervised learning scenarios?</strong></h2><p>In unsupervised or self-supervised settings, no explicit labels exist&#8212;making it harder to quantify performance disparities. Yet biases can still be learned from patterns in the data, such as which clusters or latent representations form around certain demographic groups.</p><p>Mitigation strategies:</p><ul><li><p><strong>Regular cluster analysis</strong>: If the model forms clusters, analyze them by subgroup membership. If one demographic group consistently clusters separately in a way that leads to negative outcomes (e.g., isolation from mainstream clusters), investigate the underlying features.</p></li><li><p><strong>Fair representation learning</strong>: Adapt adversarial or reweighting concepts to representation learning. For example, train an embedding space that de-emphasizes the correlation between latent factors and sensitive attributes.</p></li><li><p><strong>Synthetic validation tasks</strong>: Devise proxy tasks that help reveal potential bias. For instance, you could label a small subset of data with sensitive attributes and see if the unsupervised model&#8217;s features correlate too strongly with those attributes.</p></li><li><p><strong>Post-hoc calibration</strong>: If the unsupervised model is later used in a downstream (semi-supervised or fully supervised) task, apply fairness checks at that downstream stage. This approach ensures that if the upstream representation is skewed, you might still correct for it in the final model.</p></li></ul><p>A subtlety is that unsupervised methods typically do not track sensitive attributes by default, so you may need domain knowledge or extra annotation to evaluate potential biases.</p><h2><strong>When is it appropriate to include certain sensitive attributes in the model&#8217;s input features to improve fairness?</strong></h2><p>There is an ongoing debate about whether including protected attributes can help or hurt fairness. In some cases, having explicit knowledge of an attribute helps the model correct for it. In other cases, it could increase the risk of the model learning to rely on that attribute in an undesirable way.</p><p>Considerations:</p><ul><li><p><strong>Regulatory environment</strong>: In certain legal frameworks, using protected attributes (e.g., race) directly might be restricted or viewed negatively. However, there are contexts&#8212;like Affirmative Action&#8212;where the law explicitly allows or encourages factoring in certain attributes.</p></li><li><p><strong>Technical approach</strong>: If your strategy is to incorporate fairness constraints (e.g., reweighting or adversarial training), having the sensitive attribute can be beneficial. For instance, adversarial training to remove sensitive information from latent representations depends on explicitly knowing that attribute.</p></li><li><p><strong>Privacy and ethics</strong>: Storing or using sensitive attributes can raise privacy concerns. Thoroughly assess whether you have user consent or if you can anonymize or protect that attribute through secure protocols.</p></li><li><p><strong>Empirical testing</strong>: Sometimes including the attribute can genuinely reduce errors for historically disadvantaged subgroups by letting the model learn offsetting patterns. Rigorous offline testing and real-world monitoring can reveal whether this approach reduces or exacerbates bias.</p></li></ul><p>An edge case arises if a sensitive attribute is heavily correlated with performance: the model might incorrectly assume it is the most predictive feature. This can create ethical conflicts even if some overall fairness metrics improve.</p><h2><strong>Can fairness interventions reduce interpretability, and how do you balance both?</strong></h2><p>Some fairness interventions&#8212;especially complex ones like adversarial debiasing or multi-task objectives&#8212;can create complicated model architectures. As complexity grows, interpretability often suffers.</p><p>Potential resolutions:</p><ul><li><p><strong>Model distillation</strong>: After training a more complex &#8220;fair&#8221; model, distill it into a simpler or more interpretable model that approximates its decisions. This can retain some fairness properties while improving transparency.</p></li><li><p><strong>Layer-wise interpretability</strong>: Use interpretability techniques (e.g., attention maps, feature importance) at various stages of the pipeline. If adversarial debiasing is used, examine how the representation changes as it moves through the adversarial layers.</p></li><li><p><strong>Local explainability</strong>: Provide local instance-level explanations. Even if the overall architecture is complex, instance-level explanation methods (e.g., SHAP or LIME) can help users or auditors see how the model arrived at a particular output for that instance.</p></li><li><p><strong>Human-centered design</strong>: If stakeholders need to understand the model&#8217;s decisions, incorporate domain experts in the design of interpretability modules. They can guide which aspects of the model are most important to visualize or clarify.</p></li></ul><p>A subtle pitfall is that forcing interpretability might undermine some fairness techniques that rely on high-dimensional hidden representations. Conversely, pushing for strong fairness might reduce the utility of standard interpretability methods if they do not account for fairness constraints in their explanation logic.</p><h2><strong>What is a &#8220;fairness threshold&#8221; in practice, and how do you decide where it should be?</strong></h2><p>A fairness threshold is often a target or boundary for how much disparity you are willing to tolerate between different subgroups. For example, you might say your system&#8217;s false negative rate must not differ by more than a certain percentage across groups.</p><p>Establishing such thresholds:</p><ul><li><p><strong>Stakeholder input</strong>: Align the threshold with stakeholder perspectives, domain regulations, or user expectations. For example, if a certain difference in false negative rates is legally prohibited, that sets a maximum allowable gap.</p></li><li><p><strong>Statistical significance</strong>: Ensure the difference you measure is statistically significant. If you are dealing with small subgroups, wide confidence intervals might make it hard to fix a tight threshold.</p></li><li><p><strong>Historical context</strong>: If a subgroup has faced historical discrimination, you might adopt a stricter fairness threshold. This can accelerate the model&#8217;s improvement for that group.</p></li><li><p><strong>Continuous calibration</strong>: The threshold can be dynamic, updated as new data arrives or if social norms and expectations shift.</p></li></ul><p>One pitfall is setting an arbitrary threshold without domain context&#8212;like 5% difference in false negative rates&#8212;when actual acceptable levels might be more stringent or flexible. Another edge case is that a single threshold might not be uniformly effective across multiple metrics (e.g., false positive vs. false negative rates). You may need multiple thresholds or multi-metric acceptance criteria.</p><h2><strong>How do you communicate fairness intervention decisions to non-technical stakeholders?</strong></h2><p>Non-technical audiences&#8212;management, customers, or the general public&#8212;often require plain language explanations of how fairness is being addressed without diving too deeply into technical details.</p><p>Effective communication:</p><ul><li><p><strong>Narrative approach</strong>: Describe the problem the system faced, how it impacted certain groups, and what steps were taken to remedy it. Highlight real-world implications (e.g., improving access, reducing misclassification).</p></li><li><p><strong>Visual summaries</strong>: Provide charts showing performance metrics (e.g., confusion matrices, error rates) broken down by subgroup. Show the improvement after fairness interventions.</p></li><li><p><strong>Transparent disclaimers</strong>: Acknowledge any trade-offs or limitations. If the fairness fix lowered overall accuracy slightly, explain why it was deemed acceptable.</p></li><li><p><strong>Concrete examples</strong>: Demonstrate how the system improved for a typical user from the underrepresented subgroup. This can be more persuasive than abstract statistics alone.</p></li><li><p><strong>Compliance framing</strong>: Emphasize that the approach aligns with regulatory requirements or ethical guidelines, providing reassurance that fairness is not just a technical afterthought.</p></li></ul><p>A potential pitfall is oversimplifying the complexities of fairness, leading non-technical stakeholders to assume the model is now &#8220;fully fair&#8221; with no ongoing monitoring needed. Stressing the iterative nature of fairness can help maintain realistic expectations.</p><h2><strong>How do you handle dynamic subgroup definitions, where subgroups may split or merge over time?</strong></h2><p>In some contexts, what constitutes a subgroup can evolve. For example, a new demographic might emerge, or two existing subgroups might be merged based on changing data recording practices. If you baked in a certain grouping logic, the model&#8217;s fairness checks might become obsolete.</p><p>Techniques to manage this:</p><ul><li><p><strong>Flexible schema</strong>: Use data structures that allow for dynamic addition or merging of subgroup labels. Avoid hard-coding specific group categories in the training or evaluation pipeline.</p></li><li><p><strong>Clustering plus labeling</strong>: Instead of having fixed subgroups, you could cluster the dataset periodically to discover emergent sub-populations. You can then label these new clusters for fairness checks if they correspond to real-world demographics.</p></li><li><p><strong>Adaptive metrics</strong>: If new groups form, recalculate the fairness metrics to include those groups. This might require new weighting or constraint parameters in the training loop.</p></li><li><p><strong>Continuous stakeholder engagement</strong>: Domain experts or user communities often best understand how subgroups are evolving in the real world. Engage them to define new subgroups or retire outdated ones.</p></li></ul><p>An edge case occurs if the new subgroup has extremely small sample sizes. The fairness approach might produce large statistical variability. In such cases, specialized data collection or synthetic data generation might be needed to ensure stable performance measurements.</p><h2><strong>How can hierarchical or multi-level attributes complicate fairness (e.g., broad categories like &#8220;Asian,&#8221; which breaks down into many nationalities)?</strong></h2><p>In real datasets, attributes can be hierarchical. Treating &#8220;Asian&#8221; as a single subgroup might mask differences among distinct national or ethnic backgrounds. Fairness metrics could appear fine overall while certain subpopulations remain underserved.</p><p>Addressing multi-level attributes:</p><ul><li><p><strong>Granular labeling</strong>: If data is available, break down the broad category into its more specific subcategories (e.g., Chinese, Indian, Filipino). Evaluate fairness metrics at multiple granularities.</p></li><li><p><strong>Hierarchical constraints</strong>: Some fairness frameworks allow hierarchical definitions of subgroups. You can aim for fairness at the highest level (e.g., &#8220;Asian&#8221; vs. &#8220;Non-Asian&#8221;) while also tracking fairness among subgroups within &#8220;Asian.&#8221;</p></li><li><p><strong>Data sufficiency checks</strong>: In practice, many subgroups within a broad category might have too few samples for robust statistical estimates. If certain sub-subgroups are still large enough, targeted data collection or augmentation can help.</p></li><li><p><strong>Intersection with other attributes</strong>: Multiple hierarchical attributes (e.g., geographical region + socio-economic status) can lead to extremely small intersectional groups. This complicates standard reweighting or constraint-based methods.</p></li></ul><p>A potential pitfall is jumping to broad categories for simplicity, which can lead to incomplete solutions. Stakeholders from an underrepresented sub-subgroup might still encounter bias if they are lumped together with a broader category that does not reflect their reality.</p><h2><strong>How do you handle fairness in recommendation systems where historical feedback loops can embed prior discrimination?</strong></h2><p>Recommendation systems (e.g., product recommendations, social feed algorithms) often rely on historical user interactions. If a subgroup historically received fewer or lower-quality recommendations, the model might perpetuate that pattern.</p><p>Mitigation strategies:</p><ul><li><p><strong>Exploratory or randomization strategies</strong>: Incorporate exploration so that subgroups with limited historical data can still receive recommendations. This helps gather new data and break feedback loops.</p></li><li><p><strong>Fairness-aware ranking</strong>: Use ranking algorithms that ensure each subgroup is sufficiently represented among top recommendations, balanced against user engagement metrics.</p></li><li><p><strong>Counterfactual training</strong>: Simulate how the system would behave if certain subgroups had received different historical exposure. This can help correct for biased feedback loops in the training data.</p></li><li><p><strong>Longitudinal analysis</strong>: Track user engagement and satisfaction over time to see if a particular subgroup&#8217;s outcomes improve or worsen. Without long-term tracking, short-term fairness fixes may not suffice.</p></li></ul><p>A hidden challenge is that users might adapt their behavior in response to new recommendations, creating new feedback loops. Fairness strategies require iterative updates to keep pace with evolving user interactions.</p><h2><strong>In an ensemble model where different components are trained on different subsets or tasks, how do you ensure overall fairness?</strong></h2><p>Ensemble methods combine multiple models (e.g., bagging, boosting, or mixture-of-experts). Each component might have different biases. The final ensemble&#8217;s fairness depends on how these biases aggregate.</p><p>Techniques to address:</p><ul><li><p><strong>Fairness-constrained ensemble selection</strong>: If you are selecting a subset of models to include in the ensemble, pick combinations that balance overall accuracy and fairness metrics.</p></li><li><p><strong>Diverse training data subsets</strong>: If each model in the ensemble is trained on a different data slice, ensure each slice is fairly representative of subgroups to avoid a specialized but biased model overshadowing others.</p></li><li><p><strong>Weighted aggregation</strong>: Adjust ensemble weights based on each model&#8217;s subgroup performance. If a component performs poorly on a certain subgroup, reduce its influence on that subgroup&#8217;s predictions.</p></li><li><p><strong>Adversarial gating networks</strong>: In mixture-of-experts models, a gating network decides which expert to invoke for a given input. You can train this gating network with fairness constraints so that it does not consistently send a particular subgroup&#8217;s inputs to a biased expert.</p></li></ul><p>A subtlety is that an ensemble that looks fair in the aggregate might hide the fact that certain components are highly biased. This can matter if you must interpret or debug individual submodels. Additionally, interactions among ensemble components can introduce non-linear effects on fairness metrics.</p><h2><strong>How do you ensure that bias mitigations do not violate causal relationships that are genuinely important?</strong></h2><p>In some applications, certain attributes might causally affect outcomes (e.g., in healthcare, certain demographic factors might legitimately correlate with disease risk). Blinding the model to these factors or forcing equal outcomes could harm predictive utility or produce unethical results (like under-diagnosis for a group that is genuinely at higher risk).</p><p>Solutions:</p><ul><li><p><strong>Causal analysis</strong>: Use causal inference to differentiate between legitimate causal paths and spurious correlations. If a protected attribute is on a direct causal path to the outcome, removing it might degrade accuracy for that group.</p></li><li><p><strong>Counterfactual fairness</strong>: Evaluate the model&#8217;s decisions under hypothetical scenarios where only the sensitive attribute changes, keeping other causal factors the same. If large outcome changes are observed, the model might be using the attribute in a way that is not justified by the causal structure.</p></li><li><p><strong>Minimal necessary usage</strong>: If an attribute is causally relevant, ensure it is used only in the minimal sense needed for predictive accuracy. Avoid letting the model rely on correlated or downstream features that reintroduce indirect discrimination.</p></li><li><p><strong>Domain input</strong>: Collaborate with domain experts (e.g., doctors in a healthcare context) to confirm whether certain attributes are medically relevant. This helps decide whether fairness constraints should be partial (limiting certain kinds of discrimination) or relaxed when a causal necessity exists.</p></li></ul><p>A potential pitfall is ignoring the fact that the causal structure might vary across subgroups. A factor could be causal in one subgroup but not another. Detailed domain-specific analysis is often required to navigate these complexities.</p>]]></content:encoded></item><item><title><![CDATA[ML Interview Q Series: Building E-commerce Recommenders using Collaborative, Content-Based, and Hybrid Filtering.]]></title><description><![CDATA[&#128218; Browse the full ML Interview series here.]]></description><link>https://www.rohan-paul.com/p/ml-interview-q-series-building-e</link><guid isPermaLink="false">https://www.rohan-paul.com/p/ml-interview-q-series-building-e</guid><pubDate>Thu, 12 Jun 2025 09:56:57 GMT</pubDate><enclosure url="https://substackcdn.com/image/fetch/$s_!3wm4!,f_auto,q_auto:good,fl_progressive:steep/https%3A%2F%2Fsubstack-post-media.s3.amazonaws.com%2Fpublic%2Fimages%2Fa789d222-613e-4710-9a6d-b5c47e9a4fa0_1024x518.png" length="0" type="image/jpeg"/><content:encoded><![CDATA[<div class="captioned-image-container"><figure><a class="image-link image2 is-viewable-img" target="_blank" href="https://substackcdn.com/image/fetch/$s_!3wm4!,f_auto,q_auto:good,fl_progressive:steep/https%3A%2F%2Fsubstack-post-media.s3.amazonaws.com%2Fpublic%2Fimages%2Fa789d222-613e-4710-9a6d-b5c47e9a4fa0_1024x518.png" data-component-name="Image2ToDOM"><div class="image2-inset"><picture><source type="image/webp" srcset="https://substackcdn.com/image/fetch/$s_!3wm4!,w_424,c_limit,f_webp,q_auto:good,fl_progressive:steep/https%3A%2F%2Fsubstack-post-media.s3.amazonaws.com%2Fpublic%2Fimages%2Fa789d222-613e-4710-9a6d-b5c47e9a4fa0_1024x518.png 424w, https://substackcdn.com/image/fetch/$s_!3wm4!,w_848,c_limit,f_webp,q_auto:good,fl_progressive:steep/https%3A%2F%2Fsubstack-post-media.s3.amazonaws.com%2Fpublic%2Fimages%2Fa789d222-613e-4710-9a6d-b5c47e9a4fa0_1024x518.png 848w, https://substackcdn.com/image/fetch/$s_!3wm4!,w_1272,c_limit,f_webp,q_auto:good,fl_progressive:steep/https%3A%2F%2Fsubstack-post-media.s3.amazonaws.com%2Fpublic%2Fimages%2Fa789d222-613e-4710-9a6d-b5c47e9a4fa0_1024x518.png 1272w, https://substackcdn.com/image/fetch/$s_!3wm4!,w_1456,c_limit,f_webp,q_auto:good,fl_progressive:steep/https%3A%2F%2Fsubstack-post-media.s3.amazonaws.com%2Fpublic%2Fimages%2Fa789d222-613e-4710-9a6d-b5c47e9a4fa0_1024x518.png 1456w" sizes="100vw"><img src="https://substackcdn.com/image/fetch/$s_!3wm4!,w_1456,c_limit,f_auto,q_auto:good,fl_progressive:steep/https%3A%2F%2Fsubstack-post-media.s3.amazonaws.com%2Fpublic%2Fimages%2Fa789d222-613e-4710-9a6d-b5c47e9a4fa0_1024x518.png" width="1024" height="518" data-attrs="{&quot;src&quot;:&quot;https://substack-post-media.s3.amazonaws.com/public/images/a789d222-613e-4710-9a6d-b5c47e9a4fa0_1024x518.png&quot;,&quot;srcNoWatermark&quot;:null,&quot;fullscreen&quot;:null,&quot;imageSize&quot;:null,&quot;height&quot;:518,&quot;width&quot;:1024,&quot;resizeWidth&quot;:null,&quot;bytes&quot;:884468,&quot;alt&quot;:null,&quot;title&quot;:null,&quot;type&quot;:&quot;image/png&quot;,&quot;href&quot;:null,&quot;belowTheFold&quot;:false,&quot;topImage&quot;:true,&quot;internalRedirect&quot;:&quot;https://www.rohan-paul.com/i/165774101?img=https%3A%2F%2Fsubstack-post-media.s3.amazonaws.com%2Fpublic%2Fimages%2Fa789d222-613e-4710-9a6d-b5c47e9a4fa0_1024x518.png&quot;,&quot;isProcessing&quot;:false,&quot;align&quot;:null,&quot;offset&quot;:false}" class="sizing-normal" alt="" srcset="https://substackcdn.com/image/fetch/$s_!3wm4!,w_424,c_limit,f_auto,q_auto:good,fl_progressive:steep/https%3A%2F%2Fsubstack-post-media.s3.amazonaws.com%2Fpublic%2Fimages%2Fa789d222-613e-4710-9a6d-b5c47e9a4fa0_1024x518.png 424w, https://substackcdn.com/image/fetch/$s_!3wm4!,w_848,c_limit,f_auto,q_auto:good,fl_progressive:steep/https%3A%2F%2Fsubstack-post-media.s3.amazonaws.com%2Fpublic%2Fimages%2Fa789d222-613e-4710-9a6d-b5c47e9a4fa0_1024x518.png 848w, https://substackcdn.com/image/fetch/$s_!3wm4!,w_1272,c_limit,f_auto,q_auto:good,fl_progressive:steep/https%3A%2F%2Fsubstack-post-media.s3.amazonaws.com%2Fpublic%2Fimages%2Fa789d222-613e-4710-9a6d-b5c47e9a4fa0_1024x518.png 1272w, https://substackcdn.com/image/fetch/$s_!3wm4!,w_1456,c_limit,f_auto,q_auto:good,fl_progressive:steep/https%3A%2F%2Fsubstack-post-media.s3.amazonaws.com%2Fpublic%2Fimages%2Fa789d222-613e-4710-9a6d-b5c47e9a4fa0_1024x518.png 1456w" sizes="100vw" fetchpriority="high"></picture><div class="image-link-expand"><div class="pencraft pc-display-flex pc-gap-8 pc-reset"><button tabindex="0" type="button" class="pencraft pc-reset pencraft icon-container restack-image"><svg role="img" width="20" height="20" viewBox="0 0 20 20" fill="none" stroke-width="1.5" stroke="var(--color-fg-primary)" stroke-linecap="round" stroke-linejoin="round" xmlns="http://www.w3.org/2000/svg"><g><title></title><path d="M2.53001 7.81595C3.49179 4.73911 6.43281 2.5 9.91173 2.5C13.1684 2.5 15.9537 4.46214 17.0852 7.23684L17.6179 8.67647M17.6179 8.67647L18.5002 4.26471M17.6179 8.67647L13.6473 6.91176M17.4995 12.1841C16.5378 15.2609 13.5967 17.5 10.1178 17.5C6.86118 17.5 4.07589 15.5379 2.94432 12.7632L2.41165 11.3235M2.41165 11.3235L1.5293 15.7353M2.41165 11.3235L6.38224 13.0882"></path></g></svg></button><button tabindex="0" type="button" class="pencraft pc-reset pencraft icon-container view-image"><svg xmlns="http://www.w3.org/2000/svg" width="20" height="20" viewBox="0 0 24 24" fill="none" stroke="currentColor" stroke-width="2" stroke-linecap="round" stroke-linejoin="round" class="lucide lucide-maximize2 lucide-maximize-2"><polyline points="15 3 21 3 21 9"></polyline><polyline points="9 21 3 21 3 15"></polyline><line x1="21" x2="14" y1="3" y2="10"></line><line x1="3" x2="10" y1="21" y2="14"></line></svg></button></div></div></div></a></figure></div><p>&#128218; Browse <strong><a href="https://rohanpaul.substack.com/s/ml-interview-series/archive?sort=new">the full ML Interview series here</a></strong>.</p><h2><strong>Designing a Recommendation System: How would you approach building a recommendation system for an e-commerce platform? *Describe the types of data you would use (user behavior, item attributes, ratings, etc.) and outline possible modeling approaches, such as collaborative filtering (user-user or item-item similarity, matrix factorization) and content-based filtering. Also mention how you would evaluate the recommendation system (e.g., using metrics like precision@K or A/B testing for engagement).*</strong></h2><p class="button-wrapper" data-attrs="{&quot;url&quot;:&quot;https://x.com/rohanpaul_ai&quot;,&quot;text&quot;:&quot;Connect with me on X (Twitter)&quot;,&quot;action&quot;:null,&quot;class&quot;:&quot;button-wrapper&quot;}" data-component-name="ButtonCreateButton"><a class="button primary button-wrapper" href="https://x.com/rohanpaul_ai"><span>Connect with me on X (Twitter)</span></a></p><p>Approaching the design of a recommendation system for an e-commerce platform involves multiple layers of data processing, model selection, training, inference, and evaluation. The main goal is to leverage information about users and items to make personalized suggestions that maximize user satisfaction and business objectives. Below is a detailed discussion of the steps, techniques, data modalities, modeling approaches, and evaluation strategies that form a comprehensive solution.</p><p>Building the Dataset</p><p>When constructing the data pipeline, it helps to collect and store information about users, their activity, items, and relevant metadata. This data typically includes:</p><p>User Information. Collect as much relevant user data as privacy regulations allow, such as demographics (age, gender, location) and user behavior (products browsed, items purchased, search queries, clicks on recommended items). User context such as device type or time of day can be relevant in real-world contexts. Aggregating historical transactions or watch histories (if the catalog is content-based like streaming) is also essential.</p><p>Item Information. E-commerce platforms often carry extensive product catalogs. For each product, store attributes such as brand, category, price, textual description, color, size, style tags, images, or other domain-specific attributes. This facilitates content-based approaches and helps cold-start recommendations for items with little user interaction data.</p><p>User-Item Interaction Behavior. This typically includes implicit or explicit ratings. Implicit feedback comes from behaviors such as user clicks, dwell time, purchase logs, add-to-cart events, or bounce rates. Explicit feedback might be star ratings, thumbs up/down, or product reviews. Implicit data is more abundant but noisier, while explicit data is more precise but sparser.</p><p>Additional Signals. Contextual data like user location (if relevant), seasonality, or time-based features can enrich recommendation. For example, if you know that a particular user tends to shop for certain products on weekends, that pattern might become crucial to surface daily or weekly personalized offers.</p><p>Modeling Approaches</p><p>Recommender systems typically rely on a core set of modeling paradigms. Each approach can be adapted to the platform&#8217;s scale and the diversity of data. The three most popular families of methods are collaborative filtering, content-based filtering, and hybrid systems.</p><p>Collaborative Filtering</p><p>This approach focuses on user-item interactions and tries to infer user preferences from historical patterns. The assumption is that if two users have shown similar preferences in the past, they will likely show similar preferences in the future. Similarly, if items are found to be co-rated or co-interacted with frequently, they may share certain appeal.</p><p>User-User Similarity. The system represents users as vectors in a space whose dimensions correspond to items (or features derived from items). It computes similarity, for example using cosine similarity or Pearson correlation, between pairs of user vectors. When recommending for a target user, one finds similar users (neighbors) and uses their preferences on items to predict preferences for the target user. This is intuitive but computationally heavy, especially in large-scale e-commerce, and it might produce less reliable results for users who do not have sufficient overlapping interactions.</p><p>Item-Item Similarity. This approach represents items in a space whose dimensions correspond to user interactions. It computes similarity between items based on how they are co-rated or co-viewed by users. When making recommendations, for a specific item that the user already likes (or is currently viewing), the system retrieves similar items. This approach often scales better than user-user methods and can yield good results, as item attributes and user behavior patterns are typically more stable than ephemeral user preferences.</p><div class="captioned-image-container"><figure><a class="image-link image2 is-viewable-img" target="_blank" href="https://substackcdn.com/image/fetch/$s_!D-Xk!,f_auto,q_auto:good,fl_progressive:steep/https%3A%2F%2Fsubstack-post-media.s3.amazonaws.com%2Fpublic%2Fimages%2F47a2dedc-bb28-4596-8ff2-bdbe7e3bd1e0_879x459.png" data-component-name="Image2ToDOM"><div class="image2-inset"><picture><source type="image/webp" srcset="https://substackcdn.com/image/fetch/$s_!D-Xk!,w_424,c_limit,f_webp,q_auto:good,fl_progressive:steep/https%3A%2F%2Fsubstack-post-media.s3.amazonaws.com%2Fpublic%2Fimages%2F47a2dedc-bb28-4596-8ff2-bdbe7e3bd1e0_879x459.png 424w, https://substackcdn.com/image/fetch/$s_!D-Xk!,w_848,c_limit,f_webp,q_auto:good,fl_progressive:steep/https%3A%2F%2Fsubstack-post-media.s3.amazonaws.com%2Fpublic%2Fimages%2F47a2dedc-bb28-4596-8ff2-bdbe7e3bd1e0_879x459.png 848w, https://substackcdn.com/image/fetch/$s_!D-Xk!,w_1272,c_limit,f_webp,q_auto:good,fl_progressive:steep/https%3A%2F%2Fsubstack-post-media.s3.amazonaws.com%2Fpublic%2Fimages%2F47a2dedc-bb28-4596-8ff2-bdbe7e3bd1e0_879x459.png 1272w, https://substackcdn.com/image/fetch/$s_!D-Xk!,w_1456,c_limit,f_webp,q_auto:good,fl_progressive:steep/https%3A%2F%2Fsubstack-post-media.s3.amazonaws.com%2Fpublic%2Fimages%2F47a2dedc-bb28-4596-8ff2-bdbe7e3bd1e0_879x459.png 1456w" sizes="100vw"><img src="https://substackcdn.com/image/fetch/$s_!D-Xk!,w_1456,c_limit,f_auto,q_auto:good,fl_progressive:steep/https%3A%2F%2Fsubstack-post-media.s3.amazonaws.com%2Fpublic%2Fimages%2F47a2dedc-bb28-4596-8ff2-bdbe7e3bd1e0_879x459.png" width="879" height="459" data-attrs="{&quot;src&quot;:&quot;https://substack-post-media.s3.amazonaws.com/public/images/47a2dedc-bb28-4596-8ff2-bdbe7e3bd1e0_879x459.png&quot;,&quot;srcNoWatermark&quot;:null,&quot;fullscreen&quot;:null,&quot;imageSize&quot;:null,&quot;height&quot;:459,&quot;width&quot;:879,&quot;resizeWidth&quot;:null,&quot;bytes&quot;:58798,&quot;alt&quot;:null,&quot;title&quot;:null,&quot;type&quot;:&quot;image/png&quot;,&quot;href&quot;:null,&quot;belowTheFold&quot;:true,&quot;topImage&quot;:false,&quot;internalRedirect&quot;:&quot;https://www.rohan-paul.com/i/165774101?img=https%3A%2F%2Fsubstack-post-media.s3.amazonaws.com%2Fpublic%2Fimages%2F47a2dedc-bb28-4596-8ff2-bdbe7e3bd1e0_879x459.png&quot;,&quot;isProcessing&quot;:false,&quot;align&quot;:null,&quot;offset&quot;:false}" class="sizing-normal" alt="" srcset="https://substackcdn.com/image/fetch/$s_!D-Xk!,w_424,c_limit,f_auto,q_auto:good,fl_progressive:steep/https%3A%2F%2Fsubstack-post-media.s3.amazonaws.com%2Fpublic%2Fimages%2F47a2dedc-bb28-4596-8ff2-bdbe7e3bd1e0_879x459.png 424w, https://substackcdn.com/image/fetch/$s_!D-Xk!,w_848,c_limit,f_auto,q_auto:good,fl_progressive:steep/https%3A%2F%2Fsubstack-post-media.s3.amazonaws.com%2Fpublic%2Fimages%2F47a2dedc-bb28-4596-8ff2-bdbe7e3bd1e0_879x459.png 848w, https://substackcdn.com/image/fetch/$s_!D-Xk!,w_1272,c_limit,f_auto,q_auto:good,fl_progressive:steep/https%3A%2F%2Fsubstack-post-media.s3.amazonaws.com%2Fpublic%2Fimages%2F47a2dedc-bb28-4596-8ff2-bdbe7e3bd1e0_879x459.png 1272w, https://substackcdn.com/image/fetch/$s_!D-Xk!,w_1456,c_limit,f_auto,q_auto:good,fl_progressive:steep/https%3A%2F%2Fsubstack-post-media.s3.amazonaws.com%2Fpublic%2Fimages%2F47a2dedc-bb28-4596-8ff2-bdbe7e3bd1e0_879x459.png 1456w" sizes="100vw" loading="lazy"></picture><div class="image-link-expand"><div class="pencraft pc-display-flex pc-gap-8 pc-reset"><button tabindex="0" type="button" class="pencraft pc-reset pencraft icon-container restack-image"><svg role="img" width="20" height="20" viewBox="0 0 20 20" fill="none" stroke-width="1.5" stroke="var(--color-fg-primary)" stroke-linecap="round" stroke-linejoin="round" xmlns="http://www.w3.org/2000/svg"><g><title></title><path d="M2.53001 7.81595C3.49179 4.73911 6.43281 2.5 9.91173 2.5C13.1684 2.5 15.9537 4.46214 17.0852 7.23684L17.6179 8.67647M17.6179 8.67647L18.5002 4.26471M17.6179 8.67647L13.6473 6.91176M17.4995 12.1841C16.5378 15.2609 13.5967 17.5 10.1178 17.5C6.86118 17.5 4.07589 15.5379 2.94432 12.7632L2.41165 11.3235M2.41165 11.3235L1.5293 15.7353M2.41165 11.3235L6.38224 13.0882"></path></g></svg></button><button tabindex="0" type="button" class="pencraft pc-reset pencraft icon-container view-image"><svg xmlns="http://www.w3.org/2000/svg" width="20" height="20" viewBox="0 0 24 24" fill="none" stroke="currentColor" stroke-width="2" stroke-linecap="round" stroke-linejoin="round" class="lucide lucide-maximize2 lucide-maximize-2"><polyline points="15 3 21 3 21 9"></polyline><polyline points="9 21 3 21 3 15"></polyline><line x1="21" x2="14" y1="3" y2="10"></line><line x1="3" x2="10" y1="21" y2="14"></line></svg></button></div></div></div></a></figure></div><p>In real implementations, there can be additional biases or advanced regularization terms. The advantage is that matrix factorization can handle large numbers of users and items and can generalize to new or partially known user-item pairs better than naive similarity-based approaches. Techniques like ALS (Alternating Least Squares) and SGD-based approaches are commonly used. Additional complex approaches, such as factorization machines or neural matrix factorization, also belong in this category.</p><p>Content-Based Filtering</p><p>Content-based filtering works by analyzing the features of items a particular user has previously interacted with. If a user liked or purchased items with certain attributes, the system suggests other items with similar attributes. For example, if the user historically clicked on or purchased shirts of brand X or belonging to category Y, the system can retrieve items that match these attributes or that have textual similarity in their descriptions.</p><p>This approach handles cold-start problems for new items relatively well, because if you know the attributes of the item (e.g., brand, product description, category), you can recommend it to a user who likes similar attributes. However, it can struggle with user cold-start if there is insufficient user preference data, unless you combine content-based with other data signals (such as popular items or best-sellers).</p><p>Hybrid Approaches</p><p>In practice, a commercial e-commerce recommender system often combines collaborative filtering and content-based features into a single model or ensemble. For instance, item embeddings derived from a neural matrix factorization or item co-view data can be concatenated with embeddings generated by a content encoder (like a text-based model or image-based model) to generate final item representations. This helps address the cold-start problem by allowing the system to rely on item attributes when explicit user behavior data is lacking, but still take advantage of strong collaborative signals once items and users have enough interaction history.</p><p>In advanced designs, deep learning models can incorporate multiple data modalities (text descriptions, images, numeric attributes) to learn item embeddings, while also learning user embeddings from historical sequences of user interactions. For example, a sequence-based model (like a Transformer or an RNN) can learn to predict the next item a user might interact with based on their entire browsing or purchase history. This can be integrated into a two-tower structure, where one tower encodes user histories and the other encodes item attributes, and a dot product or another similarity measure is used to rank items.</p><p>Evaluation Strategies</p><p>Offline Metrics. Offline evaluation of a recommender system typically measures how well the model&#8217;s predictions match ground-truth user behavior in a historical dataset. Common metrics include precision@K, recall@K, mean average precision, NDCG, and other rank-based measures. For instance, precision@K compares how many of the top-K recommended items were actually relevant to the user in the test set. This type of evaluation is essential for quickly iterating on model ideas and hyperparameters before live testing.</p><p>Online A/B Testing. Once offline evaluation is satisfied, the real measure of a system&#8217;s success comes from how it performs in a live environment. By exposing a subset of traffic to the new recommendation system (treatment) and comparing user engagement or conversions to an established baseline (control), we observe the actual impact on key performance indicators (KPIs). Metrics may include click-through rate (CTR), conversion rate, average order value, user session length, or other domain-specific success measures.</p><p>User Studies and Feedback. Sometimes qualitative feedback is crucial, especially for early-stage systems. Observing how users interact with recommendations and gathering direct feedback can reveal whether the suggestions are relevant and add value, or if they suffer from issues such as repetitiveness or being too narrow in scope.</p><div class="subscription-widget-wrap-editor" data-attrs="{&quot;url&quot;:&quot;https://www.rohan-paul.com/subscribe?&quot;,&quot;text&quot;:&quot;Subscribe&quot;,&quot;language&quot;:&quot;en&quot;}" data-component-name="SubscribeWidgetToDOM"><div class="subscription-widget show-subscribe"><div class="preamble"><p class="cta-caption">I write everyday for my readers on actionable AI. Subscribe and instantly get a 1300+ page Python book.</p></div><form class="subscription-widget-subscribe"><input type="email" class="email-input" name="email" placeholder="Type your email&#8230;" tabindex="-1"><input type="submit" class="button primary" value="Subscribe"><div class="fake-input-wrapper"><div class="fake-input"></div><div class="fake-button"></div></div></form></div></div><p>Follow-Up Questions appear below. They explore various aspects, pitfalls, and deeper insights about building recommendation systems for e-commerce.</p><h2><strong>What methods can handle the cold-start problem for new users with minimal interaction history?</strong></h2><p>One approach is to use content-based models that rely on user attributes (like location or device type) or minimal known behavior (the first product or category the user interacted with). Another strategy is to use population-level models that recommend popular or trending products to new users until enough individual data is collected. There are also hybrid methods that combine collaborative signals with content-based information about items. In addition, collecting side information from social media logins or user demographics can assist in building an initial preference profile.</p><p>A deeper angle involves carefully crafted onboarding flows. During user registration or initial sessions, many e-commerce platforms prompt a small set of quick user preference questions: for instance, brand or category preferences. This helps bootstrap a recommendation profile by using responses to short quizzes or a simple &#8220;like&#8221; or &#8220;dislike&#8221; approach on a few sample items, which can be turned into a mini form of user embedding.</p><h2><strong>How would you incorporate user context (such as time of day, location, or device type) into the recommendation process?</strong></h2><p>Contextual data can be integrated in multiple ways. One approach is to augment the user or item embeddings with contextual features. For example, if you are doing matrix factorization, you can add a bias term for specific contexts. Another approach is to build a specialized context-aware model architecture, such as factorization machines, which can handle arbitrary feature interactions (for instance user ID, item ID, time of day, location). In a deep learning approach, you might feed context features into the network alongside user/item embeddings.</p><p>Real-time context is especially useful when generating session-based or next-item predictions. For example, if you know that purchases of certain products spike in the morning in a certain region, you can adapt your ranking function to give a small boost to those items during that window for users from that region. This can be done explicitly through feature engineering or implicitly if the model architecture automatically learns these patterns.</p><h2><strong>How do you decide on the latent dimension k in a matrix factorization approach?</strong></h2><p>The dimension k is typically chosen based on practical constraints like available computational resources and the size of the dataset, as well as performance metrics obtained during experimentation. In an offline setting, you would use a validation approach (like cross-validation or a hold-out validation set) to train models with different values of k (e.g., 20, 50, 100, 200) and compare metrics such as RMSE, precision@K, or NDCG. The dimension k that yields the best balance of accuracy and computational complexity is usually chosen. Very large k can lead to overfitting and higher computational cost, while too small k might underfit the data, missing complex preference structures.</p><h2><strong>How do you use neural networks for collaborative filtering?</strong></h2><p>Neural networks can be used in different ways. One straightforward method is a neural network that replaces the linear dot product in matrix factorization with a more flexible function. You can concatenate user and item embeddings and feed them through multiple hidden layers to predict a rating score or the likelihood of interaction. This is sometimes known as Neural Collaborative Filtering (NCF). Another approach involves autoencoders (particularly stacked denoising autoencoders) for learning compressed item or user representations that can then be used to reconstruct user-item interaction matrices. There are also sequence-based models like RNNs or Transformers that process a user&#8217;s historical interaction sequence to predict the next item.</p><p>In more advanced settings, you can add side information about users or items as input features to the neural network. This can take many forms, such as text embeddings from item descriptions, image embeddings for product photos, or user demographic data. The final hidden layers combine all these signals to produce a preference score.</p><h2><strong>What are potential pitfalls and edge cases when designing e-commerce recommendation systems?</strong></h2><p>One pitfall is overemphasis on popular items. If a platform has items that are frequently purchased or viewed, naive collaborative filtering can overly recommend those products, leading to a feedback loop where popular items become even more popular, while niche or new items are never exposed. Another challenge is the cold-start problem for both new items and new users, because standard collaborative filtering relies on historical data. Overfitting can occur if the system is tuned too heavily on existing user-item interactions and fails to generalize. Data sparsity is also common, especially in large item catalogs where most items see few interactions.</p><p>Another subtle concern is diversity and serendipity. Providing recommendations that are too similar to a user&#8217;s past choices can lead to a filter bubble. Users may want to discover new categories or surprising items. Finding a balance between personalization and diversity is key. Additionally, using implicit feedback like clicks can be noisy. A click might not always mean a true preference if the user only clicked to check shipping details or to read reviews but wasn&#8217;t actually interested.</p><p>We also have fairness and bias concerns if the recommender systematically disadvantages certain sellers or certain product categories, or if user features lead to discriminatory effects. Ethical design of a recommendation system might also require disclaimers and user controls (like providing a reason for recommendations or offering ways to refine or filter them).</p><h2><strong>How would you implement a basic item-item similarity model in code?</strong></h2><p>Below is a small illustrative snippet in Python using a high-level approach. This example relies on a user-item rating matrix, which can be implicit feedback or explicit ratings. In real e-commerce, you would use a more scalable approach, likely with a distributed system or specialized libraries, but the conceptual logic remains similar:</p><pre><code><code>import numpy as np
from sklearn.metrics.pairwise import cosine_similarity

# Suppose we have a user-item matrix 'R' of shape (num_users, num_items)
# R[u, i] might be user u's rating or implicit feedback for item i

R = np.array([
    [5, 3, 0, 0],
    [4, 0, 0, 5],
    [0, 0, 5, 4],
    [0, 2, 4, 0],
    # ...
])

# Transpose the matrix to get item-user matrix
item_user_matrix = R.T

# Compute pairwise cosine similarity between items
item_item_sim = cosine_similarity(item_user_matrix)

# item_item_sim[i, j] now contains similarity between item i and item j
def recommend_items_for_user(user_id, top_k=2):
    user_ratings = R[user_id, :]
    recommended_items = []

    # For each item the user has interacted with, we retrieve similar items
    for item_id, rating in enumerate(user_ratings):
        if rating &gt; 0:  # user has a positive interaction
            sim_scores = item_item_sim[item_id]
            # Sort items by similarity score
            similar_items = np.argsort(sim_scores)[::-1]
            # Filter out the current item itself
            similar_items = [i for i in similar_items if i != item_id]
            # Take top-k from the most similar items
            recommended_items.extend(similar_items[:top_k])

    # Remove duplicates. Real logic might do more advanced ranking or weighting
    recommended_items = list(set(recommended_items))
    return recommended_items

# Example usage
user_id = 0
print("Recommended items:", recommend_items_for_user(user_id))
</code></code></pre><p>In production, you would handle large-scale data, partial updates, real-time queries, personalization per user segment, and more advanced ranking and filtering logic. But the above code demonstrates how one can directly compute item-item similarity with a simple measure like cosine similarity.</p><h2><strong>How would you evaluate the recommendation system using precision@K and A/B testing?</strong></h2><p>In an offline experiment, you can take a historical dataset of user interactions, split it into a train set and a test set by time (or using some hold-out logic). You train your model on the train set. For each user in the test set, you retrieve the top K recommended items. If the user truly interacted with any of those items in the test set, that counts as a hit. precision@K is the average fraction of recommended items that are relevant (in the user&#8217;s test interactions) over all users.</p><p>Once the offline experiments suggest promising performance, the real test is online. You run an A/B test: a fraction of site traffic sees the new recommendation system while the rest sees the baseline. You measure business KPIs such as click-through rate, conversion rate, average revenue per user session, or any other relevant metric (like dwell time on recommended products). If the new system outperforms the baseline in a statistically significant manner, you may consider a broader or full rollout.</p><h2><strong>How do you handle real-time updating of user preferences in a recommendation system?</strong></h2><p>One solution is to have near-real-time incremental updates of user interactions in your data pipeline. If a user just bought a laptop, that event might be captured within minutes (or seconds, depending on the system) and can be used to adjust the user embedding, especially if your model supports incremental training (like some variants of matrix factorization or online learning algorithms).</p><p>Alternatively, you can store the user&#8217;s recent events in a separate in-memory store (such as Redis). When you generate recommendations, you combine the user&#8217;s static embedding (trained offline) with their recent real-time signals to refine the ranking. For instance, if the system sees that the user was actively browsing a certain category, it can re-rank items from that category higher in real time.</p><h2><strong>How do you ensure that less popular items still get recommended to the right audience?</strong></h2><p>A balanced recommendation approach might incorporate item exploration techniques. One idea is to inject a small percentage of &#8220;exploration&#8221; or &#8220;diversity&#8221; suggestions that go beyond the top items in a pure rank-based approach. Another approach is to apply discounting factors for popularity to avoid overshadowing niche items.</p><p>In more advanced designs, you can use bandit algorithms or reinforcement learning approaches to trade off exploitation of known popular items with exploration of less-known items. For example, a contextual bandit might occasionally place a less-popular item in a recommendation slot to gather feedback on whether it resonates with certain user segments.</p><h2><strong>How can you incorporate user-generated reviews or textual descriptions into a recommendation system?</strong></h2><p>Textual data can be processed to generate embeddings using techniques like pretrained Transformers (e.g., BERT or DistilBERT) or simpler methods like TF-IDF or word2vec. You can then incorporate these embeddings into a content-based approach or into the item embedding in a hybrid model. For instance, if you have user reviews about an item, you can parse those reviews for sentiment or semantic attributes that might not appear in structured metadata. You might discover that certain items are frequently praised for qualities like &#8220;durability&#8221; or &#8220;design,&#8221; which can help you cluster items in a meaningful way.</p><p>If you have user-level text data (like user reviews on multiple products), you could generate a user&#8217;s textual preference profile by aggregating the textual embeddings of the reviews they wrote. This can then be used to find new items with similar text features. Alternatively, you can do sentiment analysis on user reviews to weigh the user&#8217;s interest in different product features.</p><h2><strong>How do you address recommendation diversity and prevent the user interface from always showing very similar items?</strong></h2><p>Diversifying recommendations can improve user satisfaction by exposing them to a broader range of products and reducing the redundancy of recommendations. Techniques for diversification include:</p><p>Randomization. Introduce some controlled randomness in the final recommendation list to inject variety.</p><p>Re-ranking. After the main model scores each candidate item, apply a diversification algorithm that ensures different categories, brands, or visual styles are represented. One approach is to measure similarity between items in the top recommendation list. If two items are too similar, the system can down-rank one of them.</p><p>Fairness constraints. In certain scenarios, you might want to ensure coverage across different sellers, especially for marketplaces. You can incorporate these constraints as part of the scoring or ranking function so that no single vendor dominates all the recommended slots.</p><p>These methods are crucial to maintain a healthy recommendation ecosystem, preventing &#8220;echo chambers&#8221; and encouraging item discovery.</p><h2><strong>How do you handle data sparsity in large catalogs where many users have few purchases and many items have few ratings?</strong></h2><p>One solution is to rely more heavily on implicit signals, because explicit ratings are often very sparse. Clicks, add-to-cart events, or dwell times can provide a wealth of extra signals. You can also enrich the user-item interactions with session-level data. Hybridization with content-based methods is a proven technique to mitigate data sparsity. Content-based embeddings allow you to relate items through their attributes, even if there are few user interactions. Another option is dimensionality reduction through matrix factorization or deep autoencoders, which can discover latent structures even in sparse matrices.</p><p>In extremely sparse scenarios, you might consider large-scale language or image models to derive item embeddings. For brand-new items or items that have minimal interactions, the system can still leverage the item&#8217;s textual or visual features to position it in the embedding space close to items with known behaviors.</p><h2><strong>How do you tune hyperparameters in a large-scale recommender system?</strong></h2><p>You typically start with an offline pipeline where you can systematically run experiments. For each set of hyperparameters (like learning rate, regularization strength, dimension k, or neural network architecture parameters), you evaluate offline metrics on a validation set. Automated hyperparameter search tools (like Bayesian optimization or random search) can accelerate this process, given the large number of potential configurations.</p><p>You might then shortlist a few top-performing configurations and do smaller-scale or partial traffic A/B tests to see how they perform in production. The final choice can be informed by both offline performance and online metrics such as incremental revenue or user engagement.</p><h2><strong>How do you address scalability challenges when the user base and item catalog are very large?</strong></h2><p>One strategy is to use approximate nearest neighbor (ANN) search techniques to speed up similarity lookups for item-based or user-based approaches. Libraries such as FAISS, Annoy, or ScaNN enable you to store item embeddings in a specialized index for efficient similarity queries. This is particularly relevant for matrix factorization or deep learning-based approaches where items and users are represented in a high-dimensional embedding space.</p><p>You can also implement multi-stage ranking systems. The first stage (candidate generation) quickly narrows the item set from millions to a few hundred using approximate methods or simpler models. A second stage (ranking) refines these candidates using a more sophisticated model, possibly one that takes into account user context and many features. Finally, you can have a re-ranking stage that ensures diversity or satisfies business constraints (like sponsored items, brand constraints, or category quotas).</p><h2><strong>How do you handle changing user interests or item availability over time?</strong></h2><p>User interests can drift over days, weeks, or months. Items might also go out of stock or be replaced with new models. To address this, you can:</p><p>Retrain or incrementally update the model. Implement a pipeline that collects new data and re-trains embeddings on a daily or weekly schedule. If you have a system that supports online or incremental learning, you can update models more frequently.</p><p>Use time decay. When computing similarities or generating embeddings, assign greater weight to more recent interactions. This ensures that newly exhibited preferences influence recommendations more strongly than older preferences.</p><p>In addition to these automated methods, domain knowledge helps. For instance, if an item is out of stock or has limited availability in a certain region, it might not make sense to keep recommending it. The system could incorporate stock-level signals in the final ranking step.</p><h2><strong>How do you measure the impact of your recommendation system on sales or revenue?</strong></h2><p>A standard approach is to use A/B testing. By comparing a control group (using the existing system) with a test group (using the new system), you measure any difference in sales lift, average order value, or conversion metrics. You may also conduct multi-armed bandit experiments, which adaptively allocate traffic to better-performing models. Key performance indicators (KPIs) can include:</p><p>Incremental revenue per user. Conversion rate. Repeat purchases. Basket size or cross-category purchases.</p><p>Qualitative measures like user satisfaction or net promoter score (NPS) may also be relevant, although they are more challenging to measure directly. Some platforms use holdout sets of users who don&#8217;t receive personalized recommendations at all, giving a baseline for how the site would perform without personalization.</p><h2><strong>How would you do an end-to-end pipeline?</strong></h2><p>The system typically consists of data ingestion, data cleaning, feature engineering, model training, serving, and monitoring:</p><p>Data ingestion collects user interactions, product metadata, and logs. Data cleaning and feature engineering transform raw events into structured arrays or embeddings. Training might happen offline on a large cluster, using frameworks like PyTorch or TensorFlow for advanced models or standard libraries for simpler methods. Model serving might use a specialized serving architecture or a real-time inference engine. Monitoring tracks system health, latency, and key metrics (CTR, coverage, diversity). Periodic or continuous retraining refreshes the model to capture evolving trends and the introduction of new items and users.</p><p>All of these steps must be carefully orchestrated, especially in a large-scale environment, to ensure you don&#8217;t introduce stale models or mismatched data schemas.</p><h2><strong>Could you briefly illustrate a deep learning approach for recommendations using a two-tower architecture?</strong></h2><p>In a two-tower approach, you have one tower that takes as input user-related features (such as a sequence of items the user has interacted with, the user&#8217;s demographics, etc.). The second tower takes as input item-related features (such as text embeddings of the product description, brand, category, or even image embeddings). Each tower is typically a neural network that produces a vector embedding. The similarity (e.g., dot product) between the user embedding and the item embedding indicates how relevant that item is to that user. During training, you sample positive user-item pairs (where the user actually interacted with the item) and negative pairs (items the user did not interact with), and train the network to maximize the similarity for positives and minimize it for negatives.</p><p>In a system like TensorFlow or PyTorch, you might end up with something like:</p><pre><code><code>import torch
import torch.nn as nn
import torch.optim as optim

class UserTower(nn.Module):
    def __init__(self, user_input_dim, embedding_dim):
        super(UserTower, self).__init__()
        self.fc = nn.Sequential(
            nn.Linear(user_input_dim, 128),
            nn.ReLU(),
            nn.Linear(128, embedding_dim)
        )

    def forward(self, x):
        return self.fc(x)

class ItemTower(nn.Module):
    def __init__(self, item_input_dim, embedding_dim):
        super(ItemTower, self).__init__()
        self.fc = nn.Sequential(
            nn.Linear(item_input_dim, 128),
            nn.ReLU(),
            nn.Linear(128, embedding_dim)
        )

    def forward(self, x):
        return self.fc(x)

class TwoTowerModel(nn.Module):
    def __init__(self, user_input_dim, item_input_dim, embedding_dim):
        super(TwoTowerModel, self).__init__()
        self.user_tower = UserTower(user_input_dim, embedding_dim)
        self.item_tower = ItemTower(item_input_dim, embedding_dim)

    def forward(self, user_x, item_x):
        user_embed = self.user_tower(user_x)
        item_embed = self.item_tower(item_x)
        # Dot product to get a relevance score
        score = (user_embed * item_embed).sum(dim=1)
        return score

# Example training logic (very simplified)
model = TwoTowerModel(user_input_dim=10, item_input_dim=20, embedding_dim=32)
optimizer = optim.Adam(model.parameters(), lr=0.001)
loss_fn = nn.BCEWithLogitsLoss()

# user_batch shape: (batch_size, 10)
# item_batch shape: (batch_size, 20)
# label shape: (batch_size,) with 1 for positive, 0 for negative
for epoch in range(10):
    user_batch = torch.randn(32, 10)
    item_batch = torch.randn(32, 20)
    labels = torch.randint(0, 2, (32,)).float()

    optimizer.zero_grad()
    scores = model(user_batch, item_batch)
    loss = loss_fn(scores, labels)
    loss.backward()
    optimizer.step()
</code></code></pre><p>The real system can incorporate user contexts, longer user histories, textual embeddings from transformer encoders, and more. But the fundamental principle remains: generate user and item representations, compute their similarity, and train to separate positives from negatives.</p><h2><strong>How do you keep track of user privacy and data regulations while building such a system?</strong></h2><p>Respect for user privacy is paramount. One must comply with GDPR, CCPA, and other local privacy regulations. This entails obtaining clear user consent for collecting and using their data, ensuring that user data is anonymized or pseudonymized, and not retaining personal identifying information longer than necessary. Access controls, data encryption (in transit and at rest), and frequent audits are essential. In many systems, you also provide users a way to opt out of personalized recommendations or request deletion of their personal data. This might require you to design your data pipelines in a way that can efficiently remove a user&#8217;s data from logs and model training sets if so requested.</p><p>By properly structuring your system to handle these concerns, you make sure that the recommendation system remains compliant with legal requirements while delivering personalized experiences.</p><div><hr></div><h2><strong>Below are additional follow-up questions</strong></h2><h2><strong>How would you handle ephemeral interactions or short sessions where you don&#8217;t have much historical data on the user?</strong></h2><p>For scenarios where a user&#8217;s session is brief or the platform has minimal historical data about them, you must rely heavily on immediate contextual signals. Instead of depending on a pre-computed user profile or long-term embeddings, a session-based or short-term interest model is appropriate. One common technique is to use sequence models, such as RNNs or Transformers, trained on short session data. These models capture the item-to-item transitions and glean immediate patterns of interest. For instance, if a user clicks on a series of sports shoes, the session-based model can infer a strong inclination toward footwear or sports gear in real time, even without older data on that user.</p><p>In short sessions, you may also leverage metadata about items being browsed, the referral channel (e.g., a social media link that brought the user to the site), or any partial location or language settings. This ephemeral context can be used to rank items that are popular among similar short-term user sessions, known as &#8220;session co-occurrence.&#8221; A practical pitfall here is that the session-based model might overfit to the immediate patterns, so it must balance ephemeral signals with broader patterns. For instance, if an item is momentarily trending but the user&#8217;s context does not align with that trend, a naive algorithm might push that item too aggressively.</p><p>Another subtlety is how to integrate ephemeral interactions with standard user profiles once they become available. If the system obtains partial background data mid-session (e.g., from a known login), it should seamlessly merge ephemeral in-session signals with the existing user embedding. This can be done by gating or weighting the signals. One edge case is if the short-session user unexpectedly has contradictory behavior to what their historical profile might predict. The system must carefully decide how to weight immediate signals versus stored historical preferences in real time.</p><h2><strong>How do you approach multi-lingual or multi-regional catalogs in an e-commerce recommendation system?</strong></h2><p>In a global platform, different users speak different languages or come from vastly different locales. Items themselves might have separate descriptions for each language or might be region-specific. In practice, you must maintain a universal representation or multiple localized representations. A universal representation might come from large multilingual text models (like a multilingual BERT variant) that encode product descriptions into a shared semantic space. This lets the system compare items and user behaviors across languages.</p><p>One major real-world issue is that item popularity can vary drastically by region. A naive collaborative filtering approach that lumps all users together might recommend products irrelevant to certain locales. Therefore, region-specific user-item interactions should be weighted more heavily when generating local recommendations. A second subtlety arises when the same product is sold under different brand names or SKUs across regions. The system should be able to unify them if they are functionally the same item, yet still respect local preferences.</p><p>Another pitfall is how to handle partial translation or incomplete data for newly launched regions. If you have item attributes in one language but not in another, the content-based approach might break down or produce suboptimal suggestions. A solution is to rely on the original language embedding while applying machine translation or cross-lingual embeddings to fill in missing data.</p><h2><strong>How can you incorporate real-time negative feedback from users?</strong></h2><p>In many e-commerce experiences, users can provide negative feedback in the form of &#8220;Not Interested&#8221; clicks or skipping recommended items quickly. Such feedback can help the model avoid repeating items the user dislikes. The simplest approach is to adjust preference scores downwards for items marked negative in real-time. For example, if you maintain a short-term user preference vector, you can apply a penalty or a mask to the disliked items. Over multiple interactions, these negative signals can be fed back into a user embedding update pipeline.</p><p>One nuanced aspect is that negative feedback can be context-dependent. Perhaps the user is not interested in a certain item at this time, but it doesn&#8217;t mean they would never want to see it again in a different context. A harsh penalty might remove the item (or similar items) completely from future recommendations, but a mild penalty might simply lower the chance of immediate re-recommendation. Another subtlety is that different negative actions might have different strengths of negativity. For example, actively clicking &#8220;Don&#8217;t show me this again&#8221; could be a stronger negative signal than passively ignoring the item. An edge case arises when the user accidentally clicked the negative feedback or changed their mind&#8212;thus you may want to allow them to revert that preference in their account settings or not treat a single negative feedback as absolute.</p><h2><strong>How can you design the system to handle malicious users or sellers trying to game the recommendation algorithm?</strong></h2><p>Malicious behavior can occur on both sides: users who repeatedly click or purchase items to manipulate popularity (e.g., to artificially boost ranking of certain products), and sellers who create fake accounts to inflate reviews or ratings. Detecting this requires anomaly detection techniques, such as monitoring suspicious spikes in interactions, user accounts that display abnormally high activity, or repeated patterns of identical reviews.</p><p>One robust measure is to set thresholds on the maximum weight any single user&#8217;s interactions can have on item rankings. Another approach is to incorporate trust signals or credibility scores for users and items. For instance, a user who has made legitimate purchases over time might be given a higher trust factor. A new user rating a large number of items in a short period might raise red flags. A subtle pitfall is that overly aggressive filtering could hide genuine viral popularity or hamper legitimate new sellers. So you must calibrate your anomaly detection to minimize false positives.</p><p>You might also build a specialized subsystem that periodically retrains or recalibrates item popularity scores with robust statistical methods that discount outliers. An advanced approach is to maintain a &#8220;shadow&#8221; environment where suspicious data signals are tested in a quarantined manner so they don&#8217;t immediately affect the main recommendation pipeline.</p><h2><strong>How would you handle situations where there are competing objectives, such as user satisfaction versus higher margin items?</strong></h2><p>Many e-commerce platforms optimize not just for relevance or user satisfaction, but also for profitability. Sometimes, these objectives conflict. For instance, a highly relevant, low-margin item might be overshadowed by a moderately relevant, high-margin item. Balancing these factors requires multi-objective optimization. One approach is to define a combined objective function, such as:</p><div class="captioned-image-container"><figure><a class="image-link image2" target="_blank" href="https://substackcdn.com/image/fetch/$s_!DNiO!,f_auto,q_auto:good,fl_progressive:steep/https%3A%2F%2Fsubstack-post-media.s3.amazonaws.com%2Fpublic%2Fimages%2F44802b2a-8526-444e-b89d-23ba5772fd3d_933x97.png" data-component-name="Image2ToDOM"><div class="image2-inset"><picture><source type="image/webp" srcset="https://substackcdn.com/image/fetch/$s_!DNiO!,w_424,c_limit,f_webp,q_auto:good,fl_progressive:steep/https%3A%2F%2Fsubstack-post-media.s3.amazonaws.com%2Fpublic%2Fimages%2F44802b2a-8526-444e-b89d-23ba5772fd3d_933x97.png 424w, https://substackcdn.com/image/fetch/$s_!DNiO!,w_848,c_limit,f_webp,q_auto:good,fl_progressive:steep/https%3A%2F%2Fsubstack-post-media.s3.amazonaws.com%2Fpublic%2Fimages%2F44802b2a-8526-444e-b89d-23ba5772fd3d_933x97.png 848w, https://substackcdn.com/image/fetch/$s_!DNiO!,w_1272,c_limit,f_webp,q_auto:good,fl_progressive:steep/https%3A%2F%2Fsubstack-post-media.s3.amazonaws.com%2Fpublic%2Fimages%2F44802b2a-8526-444e-b89d-23ba5772fd3d_933x97.png 1272w, https://substackcdn.com/image/fetch/$s_!DNiO!,w_1456,c_limit,f_webp,q_auto:good,fl_progressive:steep/https%3A%2F%2Fsubstack-post-media.s3.amazonaws.com%2Fpublic%2Fimages%2F44802b2a-8526-444e-b89d-23ba5772fd3d_933x97.png 1456w" sizes="100vw"><img src="https://substackcdn.com/image/fetch/$s_!DNiO!,w_1456,c_limit,f_auto,q_auto:good,fl_progressive:steep/https%3A%2F%2Fsubstack-post-media.s3.amazonaws.com%2Fpublic%2Fimages%2F44802b2a-8526-444e-b89d-23ba5772fd3d_933x97.png" width="933" height="97" data-attrs="{&quot;src&quot;:&quot;https://substack-post-media.s3.amazonaws.com/public/images/44802b2a-8526-444e-b89d-23ba5772fd3d_933x97.png&quot;,&quot;srcNoWatermark&quot;:null,&quot;fullscreen&quot;:null,&quot;imageSize&quot;:null,&quot;height&quot;:97,&quot;width&quot;:933,&quot;resizeWidth&quot;:null,&quot;bytes&quot;:17415,&quot;alt&quot;:null,&quot;title&quot;:null,&quot;type&quot;:&quot;image/png&quot;,&quot;href&quot;:null,&quot;belowTheFold&quot;:true,&quot;topImage&quot;:false,&quot;internalRedirect&quot;:&quot;https://www.rohan-paul.com/i/165774101?img=https%3A%2F%2Fsubstack-post-media.s3.amazonaws.com%2Fpublic%2Fimages%2F44802b2a-8526-444e-b89d-23ba5772fd3d_933x97.png&quot;,&quot;isProcessing&quot;:false,&quot;align&quot;:null,&quot;offset&quot;:false}" class="sizing-normal" alt="" srcset="https://substackcdn.com/image/fetch/$s_!DNiO!,w_424,c_limit,f_auto,q_auto:good,fl_progressive:steep/https%3A%2F%2Fsubstack-post-media.s3.amazonaws.com%2Fpublic%2Fimages%2F44802b2a-8526-444e-b89d-23ba5772fd3d_933x97.png 424w, https://substackcdn.com/image/fetch/$s_!DNiO!,w_848,c_limit,f_auto,q_auto:good,fl_progressive:steep/https%3A%2F%2Fsubstack-post-media.s3.amazonaws.com%2Fpublic%2Fimages%2F44802b2a-8526-444e-b89d-23ba5772fd3d_933x97.png 848w, https://substackcdn.com/image/fetch/$s_!DNiO!,w_1272,c_limit,f_auto,q_auto:good,fl_progressive:steep/https%3A%2F%2Fsubstack-post-media.s3.amazonaws.com%2Fpublic%2Fimages%2F44802b2a-8526-444e-b89d-23ba5772fd3d_933x97.png 1272w, https://substackcdn.com/image/fetch/$s_!DNiO!,w_1456,c_limit,f_auto,q_auto:good,fl_progressive:steep/https%3A%2F%2Fsubstack-post-media.s3.amazonaws.com%2Fpublic%2Fimages%2F44802b2a-8526-444e-b89d-23ba5772fd3d_933x97.png 1456w" sizes="100vw" loading="lazy"></picture><div></div></div></a></figure></div><div class="captioned-image-container"><figure><a class="image-link image2" target="_blank" href="https://substackcdn.com/image/fetch/$s_!2TU_!,f_auto,q_auto:good,fl_progressive:steep/https%3A%2F%2Fsubstack-post-media.s3.amazonaws.com%2Fpublic%2Fimages%2F083c37cf-a82c-44ea-9912-87ff4501e8d0_864x184.png" data-component-name="Image2ToDOM"><div class="image2-inset"><picture><source type="image/webp" srcset="https://substackcdn.com/image/fetch/$s_!2TU_!,w_424,c_limit,f_webp,q_auto:good,fl_progressive:steep/https%3A%2F%2Fsubstack-post-media.s3.amazonaws.com%2Fpublic%2Fimages%2F083c37cf-a82c-44ea-9912-87ff4501e8d0_864x184.png 424w, https://substackcdn.com/image/fetch/$s_!2TU_!,w_848,c_limit,f_webp,q_auto:good,fl_progressive:steep/https%3A%2F%2Fsubstack-post-media.s3.amazonaws.com%2Fpublic%2Fimages%2F083c37cf-a82c-44ea-9912-87ff4501e8d0_864x184.png 848w, https://substackcdn.com/image/fetch/$s_!2TU_!,w_1272,c_limit,f_webp,q_auto:good,fl_progressive:steep/https%3A%2F%2Fsubstack-post-media.s3.amazonaws.com%2Fpublic%2Fimages%2F083c37cf-a82c-44ea-9912-87ff4501e8d0_864x184.png 1272w, https://substackcdn.com/image/fetch/$s_!2TU_!,w_1456,c_limit,f_webp,q_auto:good,fl_progressive:steep/https%3A%2F%2Fsubstack-post-media.s3.amazonaws.com%2Fpublic%2Fimages%2F083c37cf-a82c-44ea-9912-87ff4501e8d0_864x184.png 1456w" sizes="100vw"><img src="https://substackcdn.com/image/fetch/$s_!2TU_!,w_1456,c_limit,f_auto,q_auto:good,fl_progressive:steep/https%3A%2F%2Fsubstack-post-media.s3.amazonaws.com%2Fpublic%2Fimages%2F083c37cf-a82c-44ea-9912-87ff4501e8d0_864x184.png" width="864" height="184" data-attrs="{&quot;src&quot;:&quot;https://substack-post-media.s3.amazonaws.com/public/images/083c37cf-a82c-44ea-9912-87ff4501e8d0_864x184.png&quot;,&quot;srcNoWatermark&quot;:null,&quot;fullscreen&quot;:null,&quot;imageSize&quot;:null,&quot;height&quot;:184,&quot;width&quot;:864,&quot;resizeWidth&quot;:null,&quot;bytes&quot;:37574,&quot;alt&quot;:null,&quot;title&quot;:null,&quot;type&quot;:&quot;image/png&quot;,&quot;href&quot;:null,&quot;belowTheFold&quot;:true,&quot;topImage&quot;:false,&quot;internalRedirect&quot;:&quot;https://www.rohan-paul.com/i/165774101?img=https%3A%2F%2Fsubstack-post-media.s3.amazonaws.com%2Fpublic%2Fimages%2F083c37cf-a82c-44ea-9912-87ff4501e8d0_864x184.png&quot;,&quot;isProcessing&quot;:false,&quot;align&quot;:null,&quot;offset&quot;:false}" class="sizing-normal" alt="" srcset="https://substackcdn.com/image/fetch/$s_!2TU_!,w_424,c_limit,f_auto,q_auto:good,fl_progressive:steep/https%3A%2F%2Fsubstack-post-media.s3.amazonaws.com%2Fpublic%2Fimages%2F083c37cf-a82c-44ea-9912-87ff4501e8d0_864x184.png 424w, https://substackcdn.com/image/fetch/$s_!2TU_!,w_848,c_limit,f_auto,q_auto:good,fl_progressive:steep/https%3A%2F%2Fsubstack-post-media.s3.amazonaws.com%2Fpublic%2Fimages%2F083c37cf-a82c-44ea-9912-87ff4501e8d0_864x184.png 848w, https://substackcdn.com/image/fetch/$s_!2TU_!,w_1272,c_limit,f_auto,q_auto:good,fl_progressive:steep/https%3A%2F%2Fsubstack-post-media.s3.amazonaws.com%2Fpublic%2Fimages%2F083c37cf-a82c-44ea-9912-87ff4501e8d0_864x184.png 1272w, https://substackcdn.com/image/fetch/$s_!2TU_!,w_1456,c_limit,f_auto,q_auto:good,fl_progressive:steep/https%3A%2F%2Fsubstack-post-media.s3.amazonaws.com%2Fpublic%2Fimages%2F083c37cf-a82c-44ea-9912-87ff4501e8d0_864x184.png 1456w" sizes="100vw" loading="lazy"></picture><div></div></div></a></figure></div><p>A tricky scenario is that focusing too much on margin might harm user experience, leading to lower conversions or reduced user loyalty in the long run. Another pitfall is that short-term metrics can diverge from long-term user retention or brand perception. In practice, you might run A/B tests with different weighting configurations to find a sweet spot. Another subtlety is that margin data itself can be sensitive or fluctuate. If the margin on certain items changes due to supply chain issues or promotions, your system must adapt quickly, or you risk recommending out-of-date high-margin items or ignoring newly discounted items.</p><h2><strong>How do you handle concept drift when user preferences shift over time?</strong></h2><p>Concept drift occurs when user tastes and item popularity patterns change&#8212;sometimes gradually, sometimes abruptly. In an e-commerce context, new fashion trends, holiday seasons, or economic changes can drastically alter shopping behavior. To handle drift, you can perform frequent retraining or incremental updates of your recommendation models, ensuring they use the most recent interactions and discount stale data from many months or years ago.</p><p>You might also implement time-decay weighting of historical data so that older interactions have a smaller impact on the model. An abrupt drift scenario&#8212;such as a major global event changing consumer preferences&#8212;can be partially mitigated by real-time or near-real-time systems that rapidly ingest new signals. Another subtlety is recognizing that certain user preferences remain consistent (e.g., user&#8217;s shoe size or brand loyalty) while others are ephemeral (e.g., seasonal cravings). A well-designed system can differentiate between stable long-term preferences and short-term fluctuations, potentially using separate embeddings or gating mechanisms for each type of preference.</p><h2><strong>How do you optimize for user lifetime value (LTV) in a recommendation system?</strong></h2><p>Optimizing for LTV requires moving beyond immediate conversions toward a more holistic measure of user engagement and spending over time. You might define an LTV model that predicts a user&#8217;s future revenue or profit contribution to the platform. Then the recommendation algorithm can prioritize items that, while not necessarily leading to the largest short-term margin, encourage continued engagement or brand loyalty.</p><p>A practical implementation is a long-term reward function in a reinforcement learning framework. Instead of maximizing immediate clicks, you maximize the expected sum of user interactions over a future horizon. A real-world pitfall is that accurately modeling user LTV is challenging, especially for users with sparse data or rapidly changing preferences. Additionally, short-term tests might not reveal changes in long-term behavior, so you&#8217;d need to design multi-week or multi-month experiments, which is time-consuming. Another subtlety is that focusing on LTV can overshadow short-term revenue, so the business must be prepared to accept possibly lower immediate gains in pursuit of higher future returns.</p><h2><strong>How would you evaluate the robustness of your recommendation system to item or user churn?</strong></h2><p>Platforms experience churn on both sides: items go out of stock or are discontinued; users stop visiting or churn to competitors. A robust system should gracefully handle these changes without degrading significantly. One strategy is to remove or down-rank out-of-stock or discontinued items in real time. If an item is likely to be restocked soon, you might not want to drop it entirely, but simply reduce its visibility until inventory recovers.</p><p>Additionally, if a segment of users churn, you should investigate whether your system is failing them in some systematic way (e.g., not providing relevant recommendations). You might run a churn prediction model that identifies users at risk of leaving, and proactively adjust or personalize recommendations to re-engage them. A subtle pitfall here is ignoring partial churn: a user who still logs in occasionally but buys far less frequently. They might need new strategies, like recommending fresh product categories or re-activating them with promotions.</p><h2><strong>How do you ensure scalability and reliability during peak shopping events like Black Friday or major holidays?</strong></h2><p>During peak events, the volume of traffic, item views, and purchases can spike dramatically. A recommendation system should handle these loads without latency spikes or downtime. A common strategy is caching precomputed recommendations for each user or item. While this might reduce the ultra-fine personalization of real-time systems, it lowers computation overhead when traffic surges. Another technique is a multi-stage pipeline with a quick candidate generator (like an approximate nearest neighbor index) followed by a simpler re-ranking step, ensuring the system can handle a surge in requests.</p><p>You must also handle inventory changes in near real time. Items can go out of stock quickly, and recommending them leads to poor user experiences. Implement monitoring and alerting systems for recommendation latency, error rates, and real-time stock updates. A subtle challenge arises when your normal usage patterns differ greatly from peak event usage: models may see new user behaviors, such as high volumes of discount-oriented queries or gift purchases. Pre-training your model with data from past holiday spikes and factoring in seasonal shifts can help mitigate these surprises.</p><h2><strong>How do you handle brand or marketing constraints, like ensuring certain partners get a minimum share of recommendations?</strong></h2><p>Sometimes the business requires that certain strategic partners or brands are guaranteed a fraction of visibility in the recommendation carousel. A direct approach is to implement a final re-ranking step that enforces these constraints. For example, you can start with the top N recommended items by pure relevance or predicted conversion. Then you insert or replace some items to satisfy brand constraints (e.g., at least 10% of the recommended items must be from brand X). Another approach is to incorporate these constraints into the objective function during training. This can be more elegant but also more complex, as it might require designing a custom loss or multi-objective approach.</p><p>A real-world pitfall is that forcibly inserting less relevant items can reduce overall user satisfaction or conversions, leading to friction between business stakeholders. Another subtlety is that brand constraints might apply differently to different user segments or regions, e.g., you might have a contract to display a partner&#8217;s item in a certain geography. The system should track these region-specific constraints. Monitoring is crucial to ensure you do not inadvertently saturate the recommendations with mandated items, which can degrade the user experience.</p><h2><strong>How do you detect and handle feedback loops in which recommendations become a self-fulfilling prophecy?</strong></h2><p>A feedback loop arises when items recommended by the system receive more exposure, thus garnering more clicks or purchases. This can cause those items to become even more favored by the model. Over time, you might see a small set of items monopolizing user attention, limiting discovery and overall catalog coverage. To mitigate this, you can periodically sample or explore beyond the top items. For instance, you might rank items partly on predicted relevance and partly on coverage or diversity metrics. This ensures lesser-known products have a chance to surface and accumulate interactions.</p><p>One technique is to measure distribution shifts in item exposures over time. If the Gini coefficient of item popularity starts to skyrocket, you may be restricting the user&#8217;s horizon too much. Another pitfall is ignoring user dissatisfaction from repeated recommendations of the same items. Combining negative feedback signals and measuring recommendation novelty or diversity can mitigate that. Real-world systems often treat the recommendation pipeline as a cycle and explicitly incorporate an exploration step: &#1013;<em>&#1013;</em> fraction of the time, present random or less popular items to collect new signals, balancing exploitation with exploration.</p><h2><strong>How can you handle multi-item cart recommendations (i.e., &#8220;frequently bought together&#8221; for a basket of items)?</strong></h2><p>Rather than just suggesting a single item, you might want to recommend bundles or complementary products. One way is to use item co-occurrence patterns in past transaction data to understand which items are frequently purchased together. You can also adopt embeddings that capture pairwise or group-level item relationships. During inference, you look at the user&#8217;s existing cart and retrieve items with high complementarity scores.</p><p>A key challenge is that some items might appear together for reasons unrelated to synergy (e.g., they just happen to be in a popular promotion). Another subtlety is controlling the total cost or brand mix in a recommended bundle. If the user has a known budget or typically purchases items within a certain price range, you don&#8217;t want to suggest unreasonably expensive add-ons. Additionally, you might incorporate a gating mechanism so that if the user&#8217;s cart already has, say, a camera, the system only suggests camera accessories or warranties that are relevant to that model. Over time, you can refine these associations by analyzing which recommended bundles are actually purchased versus just viewed.</p><h2><strong>How do you manage or process unstructured data like user-uploaded photos or social media signals about products?</strong></h2><p>If the platform allows user-uploaded content (like pictures of them wearing purchased items or user-generated product videos), you can mine this data for additional insight. One approach is to build a computer vision model that extracts visual attributes or style embeddings. These embeddings can be used to link user-generated photos with product images, revealing new relationships (e.g., item fits well with certain accessories). Another strategy is analyzing social media signals, such as aggregated sentiment or trending hashtags.</p><p>A pitfall is data quality. User-uploaded content might be blurry, mislabeled, or have privacy concerns. Automated content moderation must filter out inappropriate images, and the system must ensure no user PII is inadvertently exposed. Social media signals can be noisy or manipulated (e.g., paid influencer campaigns). Hence, you might weight them less than verified purchase data. Another subtlety is that user-posted pictures might reference older product versions or incorrectly tag items, requiring robust matching algorithms.</p><h2><strong>How would you adapt an e-commerce recommendation system for a subscription model with recurring purchases?</strong></h2><p>Subscription-based services often revolve around replenishment or repeated usage. For instance, in grocery or consumables, users might reorder the same items regularly. A standard approach is to track purchase frequency for each user and automatically highlight items they are likely to run out of soon. A more sophisticated model can detect patterns&#8212;for instance, a user reorders coffee every 30 days. The system can then proactively recommend reordering around day 25 to day 27.</p><p>However, a subtlety arises when users have varying brand loyalty or want variety. Recommending the same coffee brand each time might annoy the user if they wish to explore new flavors. Another subtlety is that some categories, like cosmetics or dietary supplements, have &#8220;subscription fatigue.&#8221; The user might prefer to occasionally switch or skip shipments. Hence, the system should incorporate signals like user churn or skip rates to sense dissatisfaction with repeated recommendations. Additionally, if a user is on a subscription plan that includes a discount, your recommendation logic might highlight the cost savings, but still keep relevant alternatives in the mix to maintain a diverse offering.</p>]]></content:encoded></item><item><title><![CDATA[ML Interview Q Series: Why Simpler Models Win: Using Linear Regression for Interpretable ML Solutions]]></title><description><![CDATA[&#128218; Browse the full ML Interview series here.]]></description><link>https://www.rohan-paul.com/p/ml-interview-q-series-why-simpler</link><guid isPermaLink="false">https://www.rohan-paul.com/p/ml-interview-q-series-why-simpler</guid><pubDate>Thu, 12 Jun 2025 09:49:37 GMT</pubDate><enclosure url="https://substackcdn.com/image/fetch/$s_!Byau!,f_auto,q_auto:good,fl_progressive:steep/https%3A%2F%2Fsubstack-post-media.s3.amazonaws.com%2Fpublic%2Fimages%2F5b1e05fd-8d75-4593-ab62-dcafa74f83ff_1024x573.png" length="0" type="image/jpeg"/><content:encoded><![CDATA[<div class="captioned-image-container"><figure><a class="image-link image2 is-viewable-img" target="_blank" href="https://substackcdn.com/image/fetch/$s_!Byau!,f_auto,q_auto:good,fl_progressive:steep/https%3A%2F%2Fsubstack-post-media.s3.amazonaws.com%2Fpublic%2Fimages%2F5b1e05fd-8d75-4593-ab62-dcafa74f83ff_1024x573.png" data-component-name="Image2ToDOM"><div class="image2-inset"><picture><source type="image/webp" srcset="https://substackcdn.com/image/fetch/$s_!Byau!,w_424,c_limit,f_webp,q_auto:good,fl_progressive:steep/https%3A%2F%2Fsubstack-post-media.s3.amazonaws.com%2Fpublic%2Fimages%2F5b1e05fd-8d75-4593-ab62-dcafa74f83ff_1024x573.png 424w, https://substackcdn.com/image/fetch/$s_!Byau!,w_848,c_limit,f_webp,q_auto:good,fl_progressive:steep/https%3A%2F%2Fsubstack-post-media.s3.amazonaws.com%2Fpublic%2Fimages%2F5b1e05fd-8d75-4593-ab62-dcafa74f83ff_1024x573.png 848w, https://substackcdn.com/image/fetch/$s_!Byau!,w_1272,c_limit,f_webp,q_auto:good,fl_progressive:steep/https%3A%2F%2Fsubstack-post-media.s3.amazonaws.com%2Fpublic%2Fimages%2F5b1e05fd-8d75-4593-ab62-dcafa74f83ff_1024x573.png 1272w, https://substackcdn.com/image/fetch/$s_!Byau!,w_1456,c_limit,f_webp,q_auto:good,fl_progressive:steep/https%3A%2F%2Fsubstack-post-media.s3.amazonaws.com%2Fpublic%2Fimages%2F5b1e05fd-8d75-4593-ab62-dcafa74f83ff_1024x573.png 1456w" sizes="100vw"><img src="https://substackcdn.com/image/fetch/$s_!Byau!,w_1456,c_limit,f_auto,q_auto:good,fl_progressive:steep/https%3A%2F%2Fsubstack-post-media.s3.amazonaws.com%2Fpublic%2Fimages%2F5b1e05fd-8d75-4593-ab62-dcafa74f83ff_1024x573.png" width="1024" height="573" data-attrs="{&quot;src&quot;:&quot;https://substack-post-media.s3.amazonaws.com/public/images/5b1e05fd-8d75-4593-ab62-dcafa74f83ff_1024x573.png&quot;,&quot;srcNoWatermark&quot;:null,&quot;fullscreen&quot;:null,&quot;imageSize&quot;:null,&quot;height&quot;:573,&quot;width&quot;:1024,&quot;resizeWidth&quot;:null,&quot;bytes&quot;:902376,&quot;alt&quot;:null,&quot;title&quot;:null,&quot;type&quot;:&quot;image/png&quot;,&quot;href&quot;:null,&quot;belowTheFold&quot;:false,&quot;topImage&quot;:true,&quot;internalRedirect&quot;:&quot;https://www.rohan-paul.com/i/165773876?img=https%3A%2F%2Fsubstack-post-media.s3.amazonaws.com%2Fpublic%2Fimages%2F5b1e05fd-8d75-4593-ab62-dcafa74f83ff_1024x573.png&quot;,&quot;isProcessing&quot;:false,&quot;align&quot;:null,&quot;offset&quot;:false}" class="sizing-normal" alt="" srcset="https://substackcdn.com/image/fetch/$s_!Byau!,w_424,c_limit,f_auto,q_auto:good,fl_progressive:steep/https%3A%2F%2Fsubstack-post-media.s3.amazonaws.com%2Fpublic%2Fimages%2F5b1e05fd-8d75-4593-ab62-dcafa74f83ff_1024x573.png 424w, https://substackcdn.com/image/fetch/$s_!Byau!,w_848,c_limit,f_auto,q_auto:good,fl_progressive:steep/https%3A%2F%2Fsubstack-post-media.s3.amazonaws.com%2Fpublic%2Fimages%2F5b1e05fd-8d75-4593-ab62-dcafa74f83ff_1024x573.png 848w, https://substackcdn.com/image/fetch/$s_!Byau!,w_1272,c_limit,f_auto,q_auto:good,fl_progressive:steep/https%3A%2F%2Fsubstack-post-media.s3.amazonaws.com%2Fpublic%2Fimages%2F5b1e05fd-8d75-4593-ab62-dcafa74f83ff_1024x573.png 1272w, https://substackcdn.com/image/fetch/$s_!Byau!,w_1456,c_limit,f_auto,q_auto:good,fl_progressive:steep/https%3A%2F%2Fsubstack-post-media.s3.amazonaws.com%2Fpublic%2Fimages%2F5b1e05fd-8d75-4593-ab62-dcafa74f83ff_1024x573.png 1456w" sizes="100vw" fetchpriority="high"></picture><div class="image-link-expand"><div class="pencraft pc-display-flex pc-gap-8 pc-reset"><button tabindex="0" type="button" class="pencraft pc-reset pencraft icon-container restack-image"><svg role="img" width="20" height="20" viewBox="0 0 20 20" fill="none" stroke-width="1.5" stroke="var(--color-fg-primary)" stroke-linecap="round" stroke-linejoin="round" xmlns="http://www.w3.org/2000/svg"><g><title></title><path d="M2.53001 7.81595C3.49179 4.73911 6.43281 2.5 9.91173 2.5C13.1684 2.5 15.9537 4.46214 17.0852 7.23684L17.6179 8.67647M17.6179 8.67647L18.5002 4.26471M17.6179 8.67647L13.6473 6.91176M17.4995 12.1841C16.5378 15.2609 13.5967 17.5 10.1178 17.5C6.86118 17.5 4.07589 15.5379 2.94432 12.7632L2.41165 11.3235M2.41165 11.3235L1.5293 15.7353M2.41165 11.3235L6.38224 13.0882"></path></g></svg></button><button tabindex="0" type="button" class="pencraft pc-reset pencraft icon-container view-image"><svg xmlns="http://www.w3.org/2000/svg" width="20" height="20" viewBox="0 0 24 24" fill="none" stroke="currentColor" stroke-width="2" stroke-linecap="round" stroke-linejoin="round" class="lucide lucide-maximize2 lucide-maximize-2"><polyline points="15 3 21 3 21 9"></polyline><polyline points="9 21 3 21 3 15"></polyline><line x1="21" x2="14" y1="3" y2="10"></line><line x1="3" x2="10" y1="21" y2="14"></line></svg></button></div></div></div></a></figure></div><p>&#128218; Browse <strong><a href="https://rohanpaul.substack.com/s/ml-interview-series/archive?sort=new">the full ML Interview series here</a></strong>.</p><h2><strong>When Simpler Models Suffice: Give an example of a situation where you would choose a simpler model (like linear regression or a small decision tree) over a more complex one (like a deep neural network), even if the complex model has slightly better accuracy. Consider factors such as the amount of training data, the need for interpretability, computational constraints, or risk of overfitting. Why might a simpler model be more appropriate in certain business or safety-critical applications?</strong></h2><p class="button-wrapper" data-attrs="{&quot;url&quot;:&quot;https://x.com/rohanpaul_ai&quot;,&quot;text&quot;:&quot;Connect with me on X (Twitter)&quot;,&quot;action&quot;:null,&quot;class&quot;:&quot;button-wrapper&quot;}" data-component-name="ButtonCreateButton"><a class="button primary button-wrapper" href="https://x.com/rohanpaul_ai"><span>Connect with me on X (Twitter)</span></a></p><p>Understanding When to Opt for a Simpler Model</p><p>In many business or safety-critical scenarios, the demands of interpretability, reliability, data availability, and computational efficiency often outweigh the marginal improvement in predictive performance that a more complex model might yield. This can be seen in industries like healthcare, finance, or any area where we must answer questions such as: &#8220;Why did the model make this specific decision?&#8221; or &#8220;How can we be certain that the model will behave reliably under changing circumstances?&#8221;</p><p>A Practical Example: Early-Stage Startup Demand Forecasting</p><p>Imagine you are working at an early-stage startup that sells specialized hardware. You want to forecast customer demand for the next quarter to inform the manufacturing process:</p><p>You have limited historical data because the startup has been in business for only a short period. Your stakeholders need a clear, justifiable explanation for any demand forecast, because it will determine how many units to manufacture. Making too many would be costly and risky, and making too few would cause lost sales opportunities. You have very limited computational resources&#8212;maybe only a modest CPU server in the cloud&#8212;due to budget constraints.</p><p>In this case, even if you could train a relatively small neural network or a bigger ensemble model, a simpler linear regression or small decision tree might be the best choice. Linear regression, for instance, will let you quickly see which features (such as marketing spend or historical sales) drive sales forecasts and by how much, while making the reasoning process transparent. Even if a neural network might achieve a slight improvement on the test set, the simplicity and interpretability of a linear regression model could be more critical in ensuring stakeholder trust, avoiding large misallocations of resources, and debugging the model&#8217;s predictions.</p><p>Why Simpler Models Are Preferred in Safety-Critical and Regulated Environments</p><p>In industries such as healthcare, aviation, or autonomous driving, decisions can be life-and-death. Transparency is mandatory for regulatory compliance. A simpler model such as a small decision tree can offer crisp, rule-based decisions that align well with how regulators and domain experts reason about real-world risks. For example, diagnosing a patient with a certain condition might require clear evidence for each step that led to that conclusion. A black-box deep neural network could introduce additional regulatory hurdles, especially if the interpretability methods are not robust or widely accepted.</p><p>In many financial applications, a bank might be required to explain loan-approval decisions to potential customers. Relying on a simpler model (or at least an interpretable method) helps ensure legal compliance under rules such as the &#8220;Right to Explanation.&#8221; Additionally, if the model&#8217;s performance in outlier scenarios must be guaranteed, or there are stress-test conditions to meet, simpler models can be easier to verify and stress-test thoroughly.</p><p>Key Considerations: Data Size, Overfitting Risk, Interpretability, and Resource Constraints</p><p>Data Size and Overfitting Risk If you only have a small dataset, a neural network with millions of parameters can quickly overfit. Simpler models like linear regression or a small decision tree can reduce the risk of overfitting when data is scarce. A smaller hypothesis space often means the model generalizes better with fewer examples.</p><p>Interpretability Certain business contexts need easily interpretable models: They facilitate trust with stakeholders, ensuring decisions can be explained. They allow for straightforward identification of which features are most important. They help you quickly debug and refine the model if something goes wrong.</p><p>Computational Constraints Neural networks and large ensembles can require powerful GPU clusters or significant memory for both training and inference, which may be impractical in mobile or edge devices. For smaller data sets or real-time predictions in resource-constrained environments, simpler methods are often more effective.</p><p>Risk Management in High-Stakes Decisions When a model&#8217;s error could lead to huge losses or severe real-world consequences, simpler models might be safer. Auditing or verifying a simpler model&#8217;s behavior across different operational settings is often more straightforward.</p><p>Mathematical Underpinnings of Model Complexity</p><div class="captioned-image-container"><figure><a class="image-link image2 is-viewable-img" target="_blank" href="https://substackcdn.com/image/fetch/$s_!Ojte!,f_auto,q_auto:good,fl_progressive:steep/https%3A%2F%2Fsubstack-post-media.s3.amazonaws.com%2Fpublic%2Fimages%2F80dcf9bc-bb86-476a-b3e1-0e2c019f509c_1034x444.png" data-component-name="Image2ToDOM"><div class="image2-inset"><picture><source type="image/webp" srcset="https://substackcdn.com/image/fetch/$s_!Ojte!,w_424,c_limit,f_webp,q_auto:good,fl_progressive:steep/https%3A%2F%2Fsubstack-post-media.s3.amazonaws.com%2Fpublic%2Fimages%2F80dcf9bc-bb86-476a-b3e1-0e2c019f509c_1034x444.png 424w, https://substackcdn.com/image/fetch/$s_!Ojte!,w_848,c_limit,f_webp,q_auto:good,fl_progressive:steep/https%3A%2F%2Fsubstack-post-media.s3.amazonaws.com%2Fpublic%2Fimages%2F80dcf9bc-bb86-476a-b3e1-0e2c019f509c_1034x444.png 848w, https://substackcdn.com/image/fetch/$s_!Ojte!,w_1272,c_limit,f_webp,q_auto:good,fl_progressive:steep/https%3A%2F%2Fsubstack-post-media.s3.amazonaws.com%2Fpublic%2Fimages%2F80dcf9bc-bb86-476a-b3e1-0e2c019f509c_1034x444.png 1272w, https://substackcdn.com/image/fetch/$s_!Ojte!,w_1456,c_limit,f_webp,q_auto:good,fl_progressive:steep/https%3A%2F%2Fsubstack-post-media.s3.amazonaws.com%2Fpublic%2Fimages%2F80dcf9bc-bb86-476a-b3e1-0e2c019f509c_1034x444.png 1456w" sizes="100vw"><img src="https://substackcdn.com/image/fetch/$s_!Ojte!,w_1456,c_limit,f_auto,q_auto:good,fl_progressive:steep/https%3A%2F%2Fsubstack-post-media.s3.amazonaws.com%2Fpublic%2Fimages%2F80dcf9bc-bb86-476a-b3e1-0e2c019f509c_1034x444.png" width="1034" height="444" data-attrs="{&quot;src&quot;:&quot;https://substack-post-media.s3.amazonaws.com/public/images/80dcf9bc-bb86-476a-b3e1-0e2c019f509c_1034x444.png&quot;,&quot;srcNoWatermark&quot;:null,&quot;fullscreen&quot;:null,&quot;imageSize&quot;:null,&quot;height&quot;:444,&quot;width&quot;:1034,&quot;resizeWidth&quot;:null,&quot;bytes&quot;:69413,&quot;alt&quot;:null,&quot;title&quot;:null,&quot;type&quot;:&quot;image/png&quot;,&quot;href&quot;:null,&quot;belowTheFold&quot;:true,&quot;topImage&quot;:false,&quot;internalRedirect&quot;:&quot;https://www.rohan-paul.com/i/165773876?img=https%3A%2F%2Fsubstack-post-media.s3.amazonaws.com%2Fpublic%2Fimages%2F80dcf9bc-bb86-476a-b3e1-0e2c019f509c_1034x444.png&quot;,&quot;isProcessing&quot;:false,&quot;align&quot;:null,&quot;offset&quot;:false}" class="sizing-normal" alt="" srcset="https://substackcdn.com/image/fetch/$s_!Ojte!,w_424,c_limit,f_auto,q_auto:good,fl_progressive:steep/https%3A%2F%2Fsubstack-post-media.s3.amazonaws.com%2Fpublic%2Fimages%2F80dcf9bc-bb86-476a-b3e1-0e2c019f509c_1034x444.png 424w, https://substackcdn.com/image/fetch/$s_!Ojte!,w_848,c_limit,f_auto,q_auto:good,fl_progressive:steep/https%3A%2F%2Fsubstack-post-media.s3.amazonaws.com%2Fpublic%2Fimages%2F80dcf9bc-bb86-476a-b3e1-0e2c019f509c_1034x444.png 848w, https://substackcdn.com/image/fetch/$s_!Ojte!,w_1272,c_limit,f_auto,q_auto:good,fl_progressive:steep/https%3A%2F%2Fsubstack-post-media.s3.amazonaws.com%2Fpublic%2Fimages%2F80dcf9bc-bb86-476a-b3e1-0e2c019f509c_1034x444.png 1272w, https://substackcdn.com/image/fetch/$s_!Ojte!,w_1456,c_limit,f_auto,q_auto:good,fl_progressive:steep/https%3A%2F%2Fsubstack-post-media.s3.amazonaws.com%2Fpublic%2Fimages%2F80dcf9bc-bb86-476a-b3e1-0e2c019f509c_1034x444.png 1456w" sizes="100vw" loading="lazy"></picture><div class="image-link-expand"><div class="pencraft pc-display-flex pc-gap-8 pc-reset"><button tabindex="0" type="button" class="pencraft pc-reset pencraft icon-container restack-image"><svg role="img" width="20" height="20" viewBox="0 0 20 20" fill="none" stroke-width="1.5" stroke="var(--color-fg-primary)" stroke-linecap="round" stroke-linejoin="round" xmlns="http://www.w3.org/2000/svg"><g><title></title><path d="M2.53001 7.81595C3.49179 4.73911 6.43281 2.5 9.91173 2.5C13.1684 2.5 15.9537 4.46214 17.0852 7.23684L17.6179 8.67647M17.6179 8.67647L18.5002 4.26471M17.6179 8.67647L13.6473 6.91176M17.4995 12.1841C16.5378 15.2609 13.5967 17.5 10.1178 17.5C6.86118 17.5 4.07589 15.5379 2.94432 12.7632L2.41165 11.3235M2.41165 11.3235L1.5293 15.7353M2.41165 11.3235L6.38224 13.0882"></path></g></svg></button><button tabindex="0" type="button" class="pencraft pc-reset pencraft icon-container view-image"><svg xmlns="http://www.w3.org/2000/svg" width="20" height="20" viewBox="0 0 24 24" fill="none" stroke="currentColor" stroke-width="2" stroke-linecap="round" stroke-linejoin="round" class="lucide lucide-maximize2 lucide-maximize-2"><polyline points="15 3 21 3 21 9"></polyline><polyline points="9 21 3 21 3 15"></polyline><line x1="21" x2="14" y1="3" y2="10"></line><line x1="3" x2="10" y1="21" y2="14"></line></svg></button></div></div></div></a></figure></div><p>By comparison, a deep neural network with multiple layers can approximate highly complex functions. However, the interpretability of each weight is harder to articulate in high dimensions, and explaining how a small change in a certain input affects the final prediction becomes a complex task of analyzing activation layers.</p><p>When Simpler Is More Appropriate</p><p>Simpler models become a favorable choice in many real-world contexts:</p><p>Situations with limited data where overfitting would be a major concern, and a large or deep model might memorize the small dataset rather than generalize. Any regulated industry where model decisions need to be transparent and auditable by humans. Edge computing scenarios, like wearable medical devices, where memory and power constraints severely limit the feasibility of large networks. Fast iteration cycles in startups or small businesses that prioritize easy model updates and require immediate insights into how each predictor influences outcomes. Once your model&#8217;s predictions must be explained to non-technical stakeholders, or where legal requirements (like GDPR or compliance rules) demand interpretability.</p><p>Implementation Example: Linear Regression in Python</p><p>Below is a minimal illustration of how one might train a simple linear regression model using scikit-learn. This is far simpler than building a neural network from scratch or using advanced libraries like PyTorch or TensorFlow. It also trains much faster and remains straightforward to debug and interpret.</p><pre><code><code>import numpy as np
from sklearn.linear_model import LinearRegression

# Suppose X is a 2D numpy array of shape (num_samples, num_features)
# and y is the target array of shape (num_samples,)

# Example dataset (small and easy to interpret)
X = np.array([
    [1.0, 3.2],
    [2.0, 4.1],
    [3.0, 5.5],
    [4.0, 6.7],
])
y = np.array([2.1, 2.9, 3.3, 4.0])

model = LinearRegression()
model.fit(X, y)

# Coefficients and intercept
print("Coefficients:", model.coef_)
print("Intercept:", model.intercept_)

# Making predictions
prediction_example = np.array([])
predicted_value = model.predict(prediction_example)
print("Predicted value:", predicted_value)
</code></code></pre><p>From this simple model, each coefficient corresponds to the estimated effect of a feature on the output. We can quickly see how changes in each input dimension affect the final prediction. If the coefficient for the first feature is, say, 0.5, it directly tells you that an increase of 1 unit in that feature is associated with a 0.5 increase in the predicted outcome.</p><p>How the Example Demonstrates the Preference for Simpler Models</p><p>The code snippet highlights a situation where dataset size is small, and we want immediate clarity on how each feature affects our target. By contrast, a deep neural network might slightly reduce error on a hidden test set but would not necessarily justify the extra complexity. It would also reduce interpretability, which can be critical for high-stakes decisions such as operational planning, manufacturing, or budgeting.</p><p>Potential Pitfalls of Choosing Simpler Models</p><p>Even though simpler models often solve many problems effectively, one must be aware of possible limitations:</p><p>If the underlying relationship is highly non-linear or complex, a linear model might underfit. The resulting errors might be systematically biased, leading to poor performance in certain segments of the data. Some interpretability can be superficial if interaction terms or polynomial transformations are not correctly included when needed. Although linear models are straightforward, incorrectly specified features or omitted relevant variables can lead to misleading results that are &#8220;simple&#8221; but not accurate.</p><p>Despite these pitfalls, in many safety-critical or high-interpretability domains, making a small trade-off in accuracy is worth it to gain clarity, reliability, and stakeholder trust.</p><div class="subscription-widget-wrap-editor" data-attrs="{&quot;url&quot;:&quot;https://www.rohan-paul.com/subscribe?&quot;,&quot;text&quot;:&quot;Subscribe&quot;,&quot;language&quot;:&quot;en&quot;}" data-component-name="SubscribeWidgetToDOM"><div class="subscription-widget show-subscribe"><div class="preamble"><p class="cta-caption">I write everyday for my readers on actionable AI. Subscribe and instantly get a 1300+ page Python book.</p></div><form class="subscription-widget-subscribe"><input type="email" class="email-input" name="email" placeholder="Type your email&#8230;" tabindex="-1"><input type="submit" class="button primary" value="Subscribe"><div class="fake-input-wrapper"><div class="fake-input"></div><div class="fake-button"></div></div></form></div></div><h2><strong>What if We Start Seeing Poor Generalization with Our Linear Model?</strong></h2><p>Sometimes you might worry about poor generalization with your linear regression or small decision tree if the relationship is more complicated. The first step is to look for bias in the residual plots. If there is a distinct structure left in the residuals&#8212;like a curved pattern&#8212;it indicates the model is systematically missing non-linear behavior. You might consider polynomial terms or introducing mild complexity like ensemble methods. However, even these expansions can be kept at a simpler scope compared to a large neural network, preserving interpretability to a certain degree.</p><h2><strong>How Do We Know When to Step Up to a Larger Model?</strong></h2><p>Signs can include consistently poor or biased predictions, especially if it is evident that the phenomenon is highly non-linear (like certain time-series patterns or images). Another major consideration is whether an incremental improvement in accuracy has significant business or safety value. If increasing accuracy by 2% drastically impacts the bottom line or drastically reduces risk, then a more complex model might be justified. You then weigh that gain against your interpretability, computational costs, and regulatory constraints.</p><h2><strong>Could We Use Hybrid Approaches?</strong></h2><p>Yes. In many production systems, simpler models are used for day-to-day decisions, while more complex models may be used offline to analyze potential improvements. Or you might use a two-stage approach, where a simple model handles the majority of cases, and only in uncertain or high-risk situations do you resort to a more complex model for a &#8220;second opinion.&#8221; This balances the strengths of both approaches.</p><h2><strong>What Are Some Best Practices for Model Validation?</strong></h2><p>With simpler models, you still apply a rigorous validation strategy:</p><p>Perform cross-validation on limited datasets to see if the simpler model is indeed robust or overfitting in some unexpected way. Examine domain-specific metrics such as precision, recall, ROC AUC (if it&#8217;s a classification problem), or mean absolute error (if it&#8217;s a regression task). Use interpretable metrics like correlation between predictions and ground truth, and analyze partial dependency plots or coefficients to ensure that the model is consistent with known domain expertise.</p><h2><strong>How to Communicate the Choice of a Simpler Model to Business Stakeholders?</strong></h2><p>You can highlight several points to non-technical stakeholders:</p><p>Explain that the simpler model is faster to train and deploy, so your team can iterate quickly. Reinforce that the simpler model&#8217;s transparency is essential for regulatory compliance or for justifying decisions. Demonstrate how the model&#8217;s predictions align with domain knowledge, building trust in the model&#8217;s correctness. Point out that the data itself might not be sufficient to safely train and generalize a larger, more complex model, which could lead to misleading or risky predictions.</p><h2><strong>What Are Some Real-World Examples Beyond Business Forecasting?</strong></h2><p>Medical diagnoses with limited patient data: A small logistic regression or decision tree can be more interpretable for a hospital environment. Insurance risk scoring with strict compliance: Explaining a small decision tree to regulators is often straightforward compared to explaining a complicated black-box model. Predicting machinery failure on a factory floor: If interpretability is required to quickly find root causes of machine faults, a simpler model can be advantageous.</p><div><hr></div><h2><strong>Below are additional follow-up questions</strong></h2><h2><strong>How would you handle concept drift if the simpler model starts to degrade over time due to changes in the data distribution?</strong></h2><p>Concept drift refers to the phenomenon where the relationship between input features and target outputs changes over time. Even with a simpler model, if the data distribution shifts, the model may fail to generalize as well as it did initially. One effective way to address concept drift is to establish a monitoring pipeline that continuously evaluates model performance on a recent data window. When performance metrics deviate beyond a threshold, you can trigger a partial or full re-training of the simpler model using the newest data.</p><p>Another approach is incremental learning, where the model parameters are updated with small batches of fresh data. In linear regression, for example, you can adjust coefficients incrementally without discarding all previous knowledge. However, you must be cautious about catastrophic forgetting, where the model might overfit recent observations and lose the general patterns learned from past data.</p><p>Additionally, having domain experts weigh in on whether the new data distribution is truly different from the historical data can be helpful. If external or macro-level factors are driving the shift&#8212;such as changes in economic conditions&#8212;analysts may incorporate these factors as new features or shift the model&#8217;s scope.</p><p>In production, you might set up an automated system that checks predictive quality on an ongoing basis (e.g., comparing predictions to ground truth with a daily or weekly lag) and flags anomalies. Smaller, simpler models can be re-trained faster than large, complex models, making them more amenable to frequent updates.</p><p>Pitfalls can occur if you re-train too often and introduce noise from transient fluctuations. It is important to track performance stability over multiple time windows to avoid reactionary re-fitting. Another subtlety is that simpler models usually have fewer parameters, so they may adapt to new patterns slower or might require feature engineering that captures changes more explicitly.</p><p>Finally, if the simpler model still fails to capture the new relationships even after re-training, you might explore moderate increases in complexity&#8212;like polynomial features or piecewise linear models&#8212;while still retaining a relative level of interpretability. The key is balancing the risk of underfitting the new distribution against the need to retain interpretability and ease of updating.</p><h2><strong>What if there&#8217;s a significant difference in the costs of false positives vs. false negatives&#8212;how would that influence the choice of a simpler model?</strong></h2><p>When false positives and false negatives have disproportionate impacts, it is crucial to tailor the model's decision boundary and threshold in a way that addresses these asymmetric costs. Even with a simpler model&#8212;like logistic regression or a small decision tree&#8212;you can weight instances differently in the loss function or adjust decision thresholds post-training.</p><p>In logistic regression, for instance, you might incorporate class weights to penalize misclassifications of the minority or more costly class more severely. This can help the model focus on the type of errors that carry higher real-world consequences. Alternatively, once the model is trained, you can shift the decision threshold (e.g., from 0.5 to a higher or lower cutoff for positive classification) to prioritize one error type over the other.</p><p>In domains like fraud detection, a false negative (missing an actual fraud) can be very costly, so you would want to calibrate the threshold to minimize those missed cases. With a simpler model, the process of adjusting or explaining threshold moves is transparent: you can demonstrate how shifting a threshold affects metrics like precision, recall, and the confusion matrix.</p><p>A potential pitfall arises if the underlying data distribution is highly imbalanced. A simpler model might struggle to capture rare classes or complex boundary regions. Careful sampling strategies&#8212;like oversampling the minority class or undersampling the majority&#8212;are often needed. Another pitfall is that naive weighting strategies might cause overfitting, especially if the dataset is small. Validating these weighted or threshold-tuned approaches with cross-validation helps confirm their reliability.</p><p>Ultimately, the choice to remain with a simpler model must be evaluated alongside these cost considerations. If the cost disparity is extremely large and requires modeling subtle feature interactions, a more sophisticated approach might yield better cost-adjusted performance. However, you can often strike a balance using a simpler model, especially if domain experts can guide the weighting and threshold strategies accurately.</p><h2><strong>How do you perform robust feature engineering to ensure a simpler model captures the necessary relationships in the data?</strong></h2><p>In simpler models, feature engineering can play an outsized role in capturing the underlying relationships that the model alone cannot approximate with its limited complexity. For a linear model, transformations like polynomial terms (e.g., squaring or interaction terms between key features) can allow the model to handle mild non-linear effects without entirely sacrificing interpretability.</p><p>Domain knowledge is critical. For instance, if you know that a certain ratio of two variables (e.g., &#8220;marketing_spend / number_of_website_visits&#8221;) is highly predictive, you can directly create a feature for that ratio. Simpler models often benefit significantly from these domain-driven transformations.</p><p>You might also incorporate feature scaling methods such as standardization (subtract mean, divide by standard deviation) to help linear regression converge more efficiently and treat all features more equitably. Decision trees are typically more robust to varying scales, but they can still benefit from meaningful feature construction, such as time-based features in a seasonality context.</p><p>A potential pitfall is inadvertently introducing too many engineered features, leading the simpler model to overfit. Regularization techniques like or can provide a safeguard by shrinking coefficients of less important features. Another subtle risk is introducing correlated features that make model interpretation more challenging; a domain expert might be confused if multiple features effectively encode the same phenomenon in different ways.</p><p>Robust validation is essential to confirm the added feature indeed improves performance in a generalizable way. Techniques like cross-validation and out-of-time validation (especially for time-series data) are recommended to test the real impact of newly engineered features. By carefully combining domain insight with systematic experimentation, you ensure that your simpler model has enough expressive power without becoming a black box.</p><h2><strong>In which ways might you incorporate domain knowledge into simpler models to enhance interpretability and performance?</strong></h2><p>Domain knowledge can shape the entire modeling strategy. A few common ways to embed domain insights include selecting features that are known causal drivers, creating composite features that reflect domain-specific interactions, and applying constraints or priors that align with expert understanding. For example, in a medical context, you might encode known symptom combinations or risk factors as separate binary features.</p><p>For a linear regression model, domain experts could specify sign constraints on coefficients if it is known that a relationship must be positive or negative. This ensures the model's behavior aligns with established theory. Decision trees can incorporate domain rules as initial splitting constraints or pre-processing steps that reduce the search space.</p><p>In heavily regulated environments, you might consult domain experts and regulators to co-design a maximum allowable depth for decision trees or to limit the set of features to only those that pass legal compliance checks. This might sacrifice some predictive power but ensures the model remains transparent and acceptable to regulatory bodies.</p><p>A subtle edge case arises when domain knowledge conflicts with the data-driven patterns. For instance, the data might show an unexpected correlation that domain experts cannot explain. Balancing trust in domain expertise with empirical evidence is tricky: sometimes domain experts revise their hypotheses, while other times you discover data quality issues.</p><p>The key advantage of simpler models is that they make it easier to merge domain knowledge with data insights. You can iteratively refine features, apply constraints, and check if the model&#8217;s coefficients or splits align with domain rationale. This synergy can yield a model that not only performs robustly but can also be confidently explained to stakeholders.</p><h2><strong>How do simpler models handle high-dimensional data, and what pitfalls can arise in this scenario?</strong></h2><p>High-dimensional data means you have a large number of features compared to the number of observations. Linear models can face a severe risk of overfitting if regularization is not used. Applying regularization (Lasso) can help by forcing many coefficients to zero, thus performing feature selection automatically. Alternatively, regularization (Ridge) shrinks coefficients, helping control variance.</p><p>Small decision trees can quickly overfit in high-dimensional spaces because they may find very specific splits that appear predictive in training but fail to generalize. Limiting tree depth, pruning, or using something like a single-level decision stump might be necessary to avoid memorizing spurious correlations.</p><p>One pitfall is that in very high dimensions, interpretability can still suffer, even if the model is linear&#8212;there might be hundreds of non-zero coefficients. Stakeholders might not realistically parse all those coefficients or how they interact, undermining the simplicity advantage.</p><p>Another subtlety is the curse of dimensionality: you might not have enough data points to reliably estimate the contribution of each feature, resulting in unstable coefficients. Cross-validation becomes critical to detect overfitting. If your main reason for choosing a simpler model is interpretability, you might further reduce dimensionality (e.g., via domain-driven feature selection or unsupervised methods like PCA) before fitting. However, PCA-based transformations can hamper direct interpretability because the new features become linear combinations of the original ones.</p><p>In practice, a balance of manual feature selection, domain knowledge, and regularization strategies can help simpler models remain robust in high-dimensional settings. But if performance remains poor, it might signal that a more complex model (e.g., with carefully designed embeddings) could be required.</p><h2><strong>Can simpler models be beneficial when the data has strong temporal dependencies, such as in time-series analysis? Under what conditions might they fail?</strong></h2><p>Simpler models can indeed be useful in time-series contexts, particularly if you have well-known seasonal patterns or a strong trend that can be captured by a small set of features (e.g., lag features, moving averages, or seasonal indicators). For instance, an ARIMA model or a linear regression with lagged target variables could be sufficient if the time-series is relatively stable and linear in its dynamics.</p><p>They might fail if the time-series is highly non-linear or exhibits regime shifts. For example, if consumer behavior changes drastically following an external event, a purely linear model might not capture the sudden transition. Similarly, if there are interactions between multiple seasonality factors (daily, weekly, yearly), simpler models may struggle unless you explicitly engineer features for each seasonality type.</p><p>Another scenario where simpler models can fail is if the time-series includes complicated external variables (holidays, promotions, macroeconomic shocks). In principle, you can incorporate them into a simpler model, but if the interactions are too intricate, you risk either oversimplifying or building an excessively large set of derived features.</p><p>A subtle pitfall is ignoring autocorrelation in the residuals. If you try using a vanilla linear regression without addressing temporal correlation, standard errors and significance tests for coefficients can become unreliable. In these situations, specialized time-series regression models or hierarchical models with fewer assumptions might be safer options.</p><p>That said, simpler models are often easier to maintain and re-train in a rolling or expanding window scenario, which is common in time-series forecasting. Frequent re-training helps adapt to new data and changing trends. If the domain environment is stable and changes are relatively predictable, simpler time-series models are an excellent choice for clarity and reliability.</p><h2><strong>How do you approach model calibration and uncertainty quantification in simpler models?</strong></h2><p>Model calibration ensures that predicted probabilities (or predictions) align well with observed outcomes. With logistic regression, calibration is typically straightforward because outputs can be interpreted as probabilities, especially if you have sufficient data. Calibration plots can confirm whether the probabilities need adjustment. If miscalibration is present, techniques like isotonic regression or Platt scaling can be applied.</p><p>For regression tasks, you might quantify uncertainty by constructing prediction intervals. With linear regression, you can derive confidence intervals around the predictions based on the variance estimate of the residuals. However, these assumptions rely on the residuals being approximately normally distributed and homoscedastic. Real-world data can violate these assumptions, so you may need robust standard error estimators or non-parametric methods like bootstrapping to capture the true uncertainty.</p><p>A subtle point arises if the data distribution is highly skewed or if outliers are present. Outliers can inflate variance estimates, leading to overly wide intervals. Robust regression techniques (e.g., using M-estimators) can mitigate this.</p><p>Another pitfall is ignoring potential correlation among features, which might invalidate naive confidence interval assumptions. Even in simpler models, carefully diagnosing residual plots and checking for correlation patterns is essential.</p><p>Overall, simpler models make it easier to explain how these intervals and calibration adjustments are derived. Business stakeholders or regulators may feel more comfortable trusting a linear model&#8217;s interval estimates than the more opaque methods used to approximate uncertainty in deep neural networks.</p><h2><strong>What are typical infrastructure and deployment considerations when you choose a simpler model for large-scale inference?</strong></h2><p>When deploying a simpler model at scale, the computational and memory footprint is typically smaller, making it easier to serve predictions in real-time. A linear model might only need to store a few thousand coefficients in memory, which can be done even on constrained hardware.</p><p>Batch scoring can also be handled efficiently, because matrix multiplication with a coefficient vector is straightforward to optimize. Frameworks like scikit-learn or even lightweight libraries in C++ or Java can be used to serve the model with minimal latency. If you have billions of instances to score, simpler models can be parallelized easily across a cluster.</p><p>A potential edge case arises when your feature engineering pipeline is complex. Even if the model itself is simple, you might incur substantial overhead in transforming raw input into the final feature set. Ensuring your feature pipelines are consistent between training and inference environments is critical.</p><p>Monitoring is simpler, too. If you see a sudden drift in predictions, you can quickly trace it back to changes in a particular coefficient or a shift in certain input values. In larger models, the debugging process might require advanced observability tools.</p><p>Another subtlety is version control. As you update coefficients or transform logic in simpler models, it&#8217;s easy to keep track of changes using standard deployment workflows. Larger models may require artifact management for multi-gigabyte model checkpoints. For businesses prioritizing reliability and minimal overhead, simpler models can drastically reduce dev-ops complexity without sacrificing too much performance.</p><h2><strong>How can you incorporate fairness or bias mitigation strategies more easily in simpler models, and what pitfalls remain in regulated domains?</strong></h2><p>Fairness and bias mitigation often involve interventions like removing sensitive attributes (e.g., gender or race), re-weighting instances, or adjusting decisions post-hoc. With a simpler model, such strategies are often more transparent and easier to control. For example, in a linear model, you can explicitly check the coefficient for sensitive features or correlated proxies and set constraints or adjust how these features enter the model.</p><p>One approach might be to use separate intercept terms for different protected groups (sometimes called &#8220;group-wise calibration&#8221;) to ensure the model does not systematically favor one group over another. You can also examine partial dependence plots for protected attributes in a small decision tree to see how the splits might create disadvantages.</p><p>However, a major pitfall is that simply removing protected attributes may not remove bias if other features act as proxies (for instance, ZIP code might strongly correlate with race in some regions). While it&#8217;s easier to identify and remove correlated features in a simpler model, you still need deep domain knowledge to avoid inadvertently perpetuating unfairness.</p><p>In regulated domains, you must also document each step in the fairness pipeline. Simpler models make it more straightforward to produce the documentation regulators require, such as explaining how each feature influences decisions. Nonetheless, fairness metrics can be multi-faceted&#8212;there&#8217;s no one-size-fits-all solution. A model can be fair on one measure (e.g., demographic parity) but unfair on another (e.g., equalized odds). Balancing these metrics is a continuous process that typically involves stakeholder input, especially in high-stakes applications like lending, hiring, or medical diagnoses.</p><h2><strong>How do you approach ensemble methods that combine multiple simpler models, and are they still considered &#8220;simple&#8221; or do they lose interpretability?</strong></h2><p>Ensembling multiple simpler models&#8212;such as bagging small decision trees (Random Forest) or blending multiple linear models&#8212;can often boost performance without resorting to a massive neural network. While each base model is individually simpler, the ensemble&#8217;s overall complexity can increase significantly, especially if it consists of dozens or hundreds of components.</p><p>For instance, a Random Forest is conceptually a collection of independent decision trees, each trained on a bootstrap sample of the dataset. The final prediction is typically the average (for regression) or majority vote (for classification) across trees. While each individual tree might be shallow, the ensemble can exhibit highly non-linear decision boundaries. This can lead to strong performance but significantly reduces interpretability.</p><p>Some interpretability can be regained by examining aggregate statistics (like feature importance measures) or analyzing the distribution of predictions across all trees for a given input. However, you lose the straightforward &#8220;if-then&#8221; paths that a single small decision tree provides.</p><p>A subtle pitfall is that if your main reason for sticking with simpler models is direct interpretability (or regulatory constraints), ensembles can undermine that objective even if each component is simple in isolation. You should clarify whether your stakeholders require local interpretability (how a single prediction is made) or global interpretability (understanding the entire model&#8217;s logic).</p><p>Ensembles can also be more resource-intensive in inference, especially if you have many components. On the other hand, they are still typically lighter than large deep networks and can often be parallelized. Ultimately, the choice to ensemble simpler models depends on whether you value the trade-off of improved accuracy versus partial loss of interpretability. If you need a small bump in performance while maintaining moderate transparency, a small ensemble (e.g., an average of two or three simple models) might suffice.</p>]]></content:encoded></item><item><title><![CDATA[ML Interview Q Series: Time Series Validation: Correctly Evaluating Models Using Walk-Forward Splits.]]></title><description><![CDATA[&#128218; Browse the full ML Interview series here.]]></description><link>https://www.rohan-paul.com/p/ml-interview-q-series-time-series</link><guid isPermaLink="false">https://www.rohan-paul.com/p/ml-interview-q-series-time-series</guid><pubDate>Thu, 12 Jun 2025 09:45:32 GMT</pubDate><enclosure url="https://substackcdn.com/image/fetch/$s_!IXxi!,f_auto,q_auto:good,fl_progressive:steep/https%3A%2F%2Fsubstack-post-media.s3.amazonaws.com%2Fpublic%2Fimages%2Fd50dc25a-c208-4d10-b83f-78af10fabe27_1024x573.png" length="0" type="image/jpeg"/><content:encoded><![CDATA[<div class="captioned-image-container"><figure><a class="image-link image2 is-viewable-img" target="_blank" href="https://substackcdn.com/image/fetch/$s_!IXxi!,f_auto,q_auto:good,fl_progressive:steep/https%3A%2F%2Fsubstack-post-media.s3.amazonaws.com%2Fpublic%2Fimages%2Fd50dc25a-c208-4d10-b83f-78af10fabe27_1024x573.png" data-component-name="Image2ToDOM"><div class="image2-inset"><picture><source type="image/webp" srcset="https://substackcdn.com/image/fetch/$s_!IXxi!,w_424,c_limit,f_webp,q_auto:good,fl_progressive:steep/https%3A%2F%2Fsubstack-post-media.s3.amazonaws.com%2Fpublic%2Fimages%2Fd50dc25a-c208-4d10-b83f-78af10fabe27_1024x573.png 424w, https://substackcdn.com/image/fetch/$s_!IXxi!,w_848,c_limit,f_webp,q_auto:good,fl_progressive:steep/https%3A%2F%2Fsubstack-post-media.s3.amazonaws.com%2Fpublic%2Fimages%2Fd50dc25a-c208-4d10-b83f-78af10fabe27_1024x573.png 848w, https://substackcdn.com/image/fetch/$s_!IXxi!,w_1272,c_limit,f_webp,q_auto:good,fl_progressive:steep/https%3A%2F%2Fsubstack-post-media.s3.amazonaws.com%2Fpublic%2Fimages%2Fd50dc25a-c208-4d10-b83f-78af10fabe27_1024x573.png 1272w, https://substackcdn.com/image/fetch/$s_!IXxi!,w_1456,c_limit,f_webp,q_auto:good,fl_progressive:steep/https%3A%2F%2Fsubstack-post-media.s3.amazonaws.com%2Fpublic%2Fimages%2Fd50dc25a-c208-4d10-b83f-78af10fabe27_1024x573.png 1456w" sizes="100vw"><img src="https://substackcdn.com/image/fetch/$s_!IXxi!,w_1456,c_limit,f_auto,q_auto:good,fl_progressive:steep/https%3A%2F%2Fsubstack-post-media.s3.amazonaws.com%2Fpublic%2Fimages%2Fd50dc25a-c208-4d10-b83f-78af10fabe27_1024x573.png" width="1024" height="573" data-attrs="{&quot;src&quot;:&quot;https://substack-post-media.s3.amazonaws.com/public/images/d50dc25a-c208-4d10-b83f-78af10fabe27_1024x573.png&quot;,&quot;srcNoWatermark&quot;:null,&quot;fullscreen&quot;:null,&quot;imageSize&quot;:null,&quot;height&quot;:573,&quot;width&quot;:1024,&quot;resizeWidth&quot;:null,&quot;bytes&quot;:1051716,&quot;alt&quot;:null,&quot;title&quot;:null,&quot;type&quot;:&quot;image/png&quot;,&quot;href&quot;:null,&quot;belowTheFold&quot;:false,&quot;topImage&quot;:true,&quot;internalRedirect&quot;:&quot;https://www.rohan-paul.com/i/165773651?img=https%3A%2F%2Fsubstack-post-media.s3.amazonaws.com%2Fpublic%2Fimages%2Fd50dc25a-c208-4d10-b83f-78af10fabe27_1024x573.png&quot;,&quot;isProcessing&quot;:false,&quot;align&quot;:null,&quot;offset&quot;:false}" class="sizing-normal" alt="" srcset="https://substackcdn.com/image/fetch/$s_!IXxi!,w_424,c_limit,f_auto,q_auto:good,fl_progressive:steep/https%3A%2F%2Fsubstack-post-media.s3.amazonaws.com%2Fpublic%2Fimages%2Fd50dc25a-c208-4d10-b83f-78af10fabe27_1024x573.png 424w, https://substackcdn.com/image/fetch/$s_!IXxi!,w_848,c_limit,f_auto,q_auto:good,fl_progressive:steep/https%3A%2F%2Fsubstack-post-media.s3.amazonaws.com%2Fpublic%2Fimages%2Fd50dc25a-c208-4d10-b83f-78af10fabe27_1024x573.png 848w, https://substackcdn.com/image/fetch/$s_!IXxi!,w_1272,c_limit,f_auto,q_auto:good,fl_progressive:steep/https%3A%2F%2Fsubstack-post-media.s3.amazonaws.com%2Fpublic%2Fimages%2Fd50dc25a-c208-4d10-b83f-78af10fabe27_1024x573.png 1272w, https://substackcdn.com/image/fetch/$s_!IXxi!,w_1456,c_limit,f_auto,q_auto:good,fl_progressive:steep/https%3A%2F%2Fsubstack-post-media.s3.amazonaws.com%2Fpublic%2Fimages%2Fd50dc25a-c208-4d10-b83f-78af10fabe27_1024x573.png 1456w" sizes="100vw" fetchpriority="high"></picture><div class="image-link-expand"><div class="pencraft pc-display-flex pc-gap-8 pc-reset"><button tabindex="0" type="button" class="pencraft pc-reset pencraft icon-container restack-image"><svg role="img" width="20" height="20" viewBox="0 0 20 20" fill="none" stroke-width="1.5" stroke="var(--color-fg-primary)" stroke-linecap="round" stroke-linejoin="round" xmlns="http://www.w3.org/2000/svg"><g><title></title><path d="M2.53001 7.81595C3.49179 4.73911 6.43281 2.5 9.91173 2.5C13.1684 2.5 15.9537 4.46214 17.0852 7.23684L17.6179 8.67647M17.6179 8.67647L18.5002 4.26471M17.6179 8.67647L13.6473 6.91176M17.4995 12.1841C16.5378 15.2609 13.5967 17.5 10.1178 17.5C6.86118 17.5 4.07589 15.5379 2.94432 12.7632L2.41165 11.3235M2.41165 11.3235L1.5293 15.7353M2.41165 11.3235L6.38224 13.0882"></path></g></svg></button><button tabindex="0" type="button" class="pencraft pc-reset pencraft icon-container view-image"><svg xmlns="http://www.w3.org/2000/svg" width="20" height="20" viewBox="0 0 24 24" fill="none" stroke="currentColor" stroke-width="2" stroke-linecap="round" stroke-linejoin="round" class="lucide lucide-maximize2 lucide-maximize-2"><polyline points="15 3 21 3 21 9"></polyline><polyline points="9 21 3 21 3 15"></polyline><line x1="21" x2="14" y1="3" y2="10"></line><line x1="3" x2="10" y1="21" y2="14"></line></svg></button></div></div></div></a></figure></div><p>&#128218; Browse <strong><a href="https://rohanpaul.substack.com/s/ml-interview-series/archive?sort=new">the full ML Interview series here</a></strong>.</p><h2><strong>Time Series Model Validation: For a time-series forecasting model, why is randomly shuffling data for cross-validation a bad idea? Explain how you would correctly evaluate a model on time-series data (for example, using a rolling forecast origin or hold-out the last segment of time for testing). Describe a time-based split or walk-forward validation approach that respects the temporal order of data to avoid lookahead bias.</strong></h2><p class="button-wrapper" data-attrs="{&quot;url&quot;:&quot;https://x.com/rohanpaul_ai&quot;,&quot;text&quot;:&quot;Connect with me on X (Twitter)&quot;,&quot;action&quot;:null,&quot;class&quot;:&quot;button-wrapper&quot;}" data-component-name="ButtonCreateButton"><a class="button primary button-wrapper" href="https://x.com/rohanpaul_ai"><span>Connect with me on X (Twitter)</span></a></p><p>Understanding Why Random Shuffling is Problematic for Time-Series When dealing with time-series forecasting, the crucial element is the temporal order of observations. The target variable at a given time often depends on earlier points in time. If you shuffle data randomly, you discard the time-based structure and can inadvertently allow the model to learn from &#8220;future&#8221; data points when predicting past observations. This leads to lookahead bias and yields overoptimistic estimates of model performance. In real deployments, the model will only have access to past data when generating future predictions, so training and evaluation must respect the chronological order.</p><p>Core Concept of Lookahead Bias Lookahead bias arises if, during either training or validation, information from a future time step is indirectly fed into the model for predicting earlier steps. For example, if you randomly shuffle your dataset, then data from time t+1 could appear in the training set while you are trying to validate predictions at time t. This would not reflect real-world performance at all. Hence, the entire principle of time-series validation demands that no sample from the future can be included in the training set when predicting the past or present.</p><p>Proper Method for Time-Series Model Validation A common best practice is to keep the sequence in correct time order and split such that the model is first trained on an initial segment of data up to a certain time, then tested or validated on the next segment. This ensures that each point you test on is strictly in the &#8220;future&#8221; of what the model has already seen. Typical approaches include:</p><p>Holding Out the Most Recent Data A straightforward strategy is to split off the most recent time period (e.g., last few days, months, or years) as a test set, and train the model on all data preceding that. You do this because in a real deployment, you want to predict the future. Hence you hold out the actual future portion of data for final validation. This method preserves temporal ordering.</p><p>Rolling (or Walk-Forward) Forecast Origin Instead of a single training/validation split, a more robust approach uses multiple splits. For instance, you can set an initial training window, train the model up to a certain date, then test on the next time slice, then roll forward by expanding or moving the training window to include new data, and then test on a subsequent slice, and so forth. This approach simulates multiple points in time at which you re-train or update your model. It also gives a series of out-of-sample error estimates, showing how your model evolves over time and handles different market conditions, seasonal changes, or distribution shifts.</p><p>Sub-Sampling Windows Another variant is to use multiple sliding windows of training data. For each window, train on data from time t to time t+k, then evaluate from time t+k+1 to t+k+m. You then slide forward by some step size. This technique can be repeated across the entire timeline so that you get multiple validation metrics, each corresponding to different periods. The final metric can be averaged to measure the overall forecast performance while preserving time order in all splits.</p><p>How to Implement Time-Based Splits (High-Level Code Illustration) Below is an illustrative example in Python pseudocode using scikit-learn or a similar library. The crucial part is that the splitting is done in chronological order, not by random selection.</p><pre><code><code>import numpy as np
import pandas as pd
from sklearn.model_selection import TimeSeriesSplit
from sklearn.linear_model import LinearRegression

# Suppose data is sorted by time, oldest -&gt; newest
df = pd.DataFrame(...)  # Some time-series dataset
X = df.drop('target', axis=1).values
y = df['target'].values

# TimeSeriesSplit example
tscv = TimeSeriesSplit(n_splits=5)  # number of splits

for train_index, test_index in tscv.split(X):
    X_train, X_test = X[train_index], X[test_index]
    y_train, y_test = y[train_index], y[test_index]

    model = LinearRegression()
    model.fit(X_train, y_train)
    predictions = model.predict(X_test)
    # Evaluate error metrics, e.g. MSE or MAPE on y_test
</code></code></pre><p>In a production-grade time-series forecasting scenario, you would also pay close attention to stationarity, possible seasonal structure, the presence of exogenous features, and data transformations that might be required to make the forecasting approach more robust. Nonetheless, the essential aspect is never to shuffle data in a way that breaks chronological order.</p><p>Walk-Forward Validation Mechanics in Detail When performing a walk-forward approach:</p><p>You define an initial training set that spans from the beginning of your data up to a specific time. You fit the model on this data and then forecast over a short horizon immediately after the training window. You record the forecast accuracy using an appropriate metric. You then &#8220;walk forward&#8221; in time by adding the newly observed data to the training set. You refit the model (depending on whether you do an expanding window or fixed window) and then forecast the following period. This procedure continues until you reach the end of your dataset, yielding multiple estimates of the forecast performance across different time segments.</p><p>The main advantage is that you get a realistic assessment of how your model would perform in a real-time setting where data arrives sequentially. You also capture changes in distribution over time. The main drawback can be higher computational cost, because you&#8217;re fitting a model multiple times.</p><p>Mitigating Distribution Shifts and Non-Stationary Phenomena Time-series often evolve over time. The data distribution in an early interval may not match the data distribution in a later interval. Proper time-series validation is essential for revealing whether a model can handle shifting patterns. If you were to shuffle data randomly, you might incorrectly average over the entire timeline, ignoring subtle drifts and changes in the process generating the data. Using time-based splits and analyzing performance in successive segments provides better clarity on how well your model adapts to shifts.</p><p>Potential Metrics for Forecast Evaluation Common metrics include Mean Squared Error (MSE), Mean Absolute Error (MAE), or Mean Absolute Percentage Error (MAPE). One might define MAPE as:</p><div class="captioned-image-container"><figure><a class="image-link image2" target="_blank" href="https://substackcdn.com/image/fetch/$s_!j9L-!,f_auto,q_auto:good,fl_progressive:steep/https%3A%2F%2Fsubstack-post-media.s3.amazonaws.com%2Fpublic%2Fimages%2F00574690-c583-4b6d-9b90-e929489a0b33_781x238.png" data-component-name="Image2ToDOM"><div class="image2-inset"><picture><source type="image/webp" srcset="https://substackcdn.com/image/fetch/$s_!j9L-!,w_424,c_limit,f_webp,q_auto:good,fl_progressive:steep/https%3A%2F%2Fsubstack-post-media.s3.amazonaws.com%2Fpublic%2Fimages%2F00574690-c583-4b6d-9b90-e929489a0b33_781x238.png 424w, https://substackcdn.com/image/fetch/$s_!j9L-!,w_848,c_limit,f_webp,q_auto:good,fl_progressive:steep/https%3A%2F%2Fsubstack-post-media.s3.amazonaws.com%2Fpublic%2Fimages%2F00574690-c583-4b6d-9b90-e929489a0b33_781x238.png 848w, https://substackcdn.com/image/fetch/$s_!j9L-!,w_1272,c_limit,f_webp,q_auto:good,fl_progressive:steep/https%3A%2F%2Fsubstack-post-media.s3.amazonaws.com%2Fpublic%2Fimages%2F00574690-c583-4b6d-9b90-e929489a0b33_781x238.png 1272w, https://substackcdn.com/image/fetch/$s_!j9L-!,w_1456,c_limit,f_webp,q_auto:good,fl_progressive:steep/https%3A%2F%2Fsubstack-post-media.s3.amazonaws.com%2Fpublic%2Fimages%2F00574690-c583-4b6d-9b90-e929489a0b33_781x238.png 1456w" sizes="100vw"><img src="https://substackcdn.com/image/fetch/$s_!j9L-!,w_1456,c_limit,f_auto,q_auto:good,fl_progressive:steep/https%3A%2F%2Fsubstack-post-media.s3.amazonaws.com%2Fpublic%2Fimages%2F00574690-c583-4b6d-9b90-e929489a0b33_781x238.png" width="781" height="238" data-attrs="{&quot;src&quot;:&quot;https://substack-post-media.s3.amazonaws.com/public/images/00574690-c583-4b6d-9b90-e929489a0b33_781x238.png&quot;,&quot;srcNoWatermark&quot;:null,&quot;fullscreen&quot;:null,&quot;imageSize&quot;:null,&quot;height&quot;:238,&quot;width&quot;:781,&quot;resizeWidth&quot;:null,&quot;bytes&quot;:19977,&quot;alt&quot;:null,&quot;title&quot;:null,&quot;type&quot;:&quot;image/png&quot;,&quot;href&quot;:null,&quot;belowTheFold&quot;:true,&quot;topImage&quot;:false,&quot;internalRedirect&quot;:&quot;https://www.rohan-paul.com/i/165773651?img=https%3A%2F%2Fsubstack-post-media.s3.amazonaws.com%2Fpublic%2Fimages%2F00574690-c583-4b6d-9b90-e929489a0b33_781x238.png&quot;,&quot;isProcessing&quot;:false,&quot;align&quot;:null,&quot;offset&quot;:false}" class="sizing-normal" alt="" srcset="https://substackcdn.com/image/fetch/$s_!j9L-!,w_424,c_limit,f_auto,q_auto:good,fl_progressive:steep/https%3A%2F%2Fsubstack-post-media.s3.amazonaws.com%2Fpublic%2Fimages%2F00574690-c583-4b6d-9b90-e929489a0b33_781x238.png 424w, https://substackcdn.com/image/fetch/$s_!j9L-!,w_848,c_limit,f_auto,q_auto:good,fl_progressive:steep/https%3A%2F%2Fsubstack-post-media.s3.amazonaws.com%2Fpublic%2Fimages%2F00574690-c583-4b6d-9b90-e929489a0b33_781x238.png 848w, https://substackcdn.com/image/fetch/$s_!j9L-!,w_1272,c_limit,f_auto,q_auto:good,fl_progressive:steep/https%3A%2F%2Fsubstack-post-media.s3.amazonaws.com%2Fpublic%2Fimages%2F00574690-c583-4b6d-9b90-e929489a0b33_781x238.png 1272w, https://substackcdn.com/image/fetch/$s_!j9L-!,w_1456,c_limit,f_auto,q_auto:good,fl_progressive:steep/https%3A%2F%2Fsubstack-post-media.s3.amazonaws.com%2Fpublic%2Fimages%2F00574690-c583-4b6d-9b90-e929489a0b33_781x238.png 1456w" sizes="100vw" loading="lazy"></picture><div></div></div></a></figure></div><p>where ( y_t ) is the actual value at time t and ( \hat{y}_t ) is the predicted value at time t. It measures the percentage error relative to actual demand or actual outcomes.</p><p>Validating Over Different Forecast Horizons A single-step forecast predicts only the next time point (e.g., next day). A multi-step forecast might predict the next several steps (e.g., next 30 days). In each scenario, you must structure your training/validation so that the horizon you evaluate is consistent with what you will do in production. A time-based split remains crucial for avoiding any contamination of the training set by future samples.</p><p>Edge Cases and Possible Pitfalls One subtlety occurs if you have external regressors or exogenous variables. You have to ensure that those features also do not leak future information. For example, if you have a variable that is only available with some delay in real life (like the next day&#8217;s weather forecast only available on the previous day), you must replicate that delay carefully in your training data setup. Otherwise, you could inadvertently give the model &#8220;future&#8221; exogenous variables that would never be available in real-time prediction.</p><p>Another potential pitfall is that certain time-series do not only depend on local history but also on cyclical or seasonal patterns. One should verify that the chosen splitting approach is capturing seasonality. If you have strongly seasonal data (e.g., daily retail data with strong weekly patterns), you might ensure that each training window is at least multiple seasonal cycles long so that the model has a chance to learn those patterns.</p><p>Data frequency also matters. In high-frequency trading data (e.g., tick-by-tick data in finance), the time-based split might be on a much shorter horizon, and the number of walk-forward slices might be quite large. The data can also have abrupt shifts due to market conditions. Proper walk-forward validation helps you see how quickly or slowly your forecasting model adapts to those changes.</p><div class="subscription-widget-wrap-editor" data-attrs="{&quot;url&quot;:&quot;https://www.rohan-paul.com/subscribe?&quot;,&quot;text&quot;:&quot;Subscribe&quot;,&quot;language&quot;:&quot;en&quot;}" data-component-name="SubscribeWidgetToDOM"><div class="subscription-widget show-subscribe"><div class="preamble"><p class="cta-caption">I write everyday for my readers on actionable AI. Subscribe and instantly get a 1300+ page Python book.</p></div><form class="subscription-widget-subscribe"><input type="email" class="email-input" name="email" placeholder="Type your email&#8230;" tabindex="-1"><input type="submit" class="button primary" value="Subscribe"><div class="fake-input-wrapper"><div class="fake-input"></div><div class="fake-button"></div></div></form></div></div><h2><strong>Follow-Up Question: How does walk-forward validation differ when using an expanding window versus a sliding (or rolling) window?</strong></h2><p>When performing time-series validation, you can manage the training set in two main ways: an expanding window approach or a sliding window approach.</p><p>Expanding window approach means that for each new validation period, you add (append) new data to the training set while still retaining all the old data. Over time, your training set becomes larger. This approach assumes that older data remains relevant for predicting the future. It is often used for processes where you believe that historical patterns remain valuable indefinitely, or you want the model to absorb the maximum amount of data available.</p><p>A sliding (or rolling) window approach means you keep the window size fixed (or somewhat bounded) and move it forward in time. In each iteration, you discard the oldest portion of the data and incorporate the newest data. This is useful for processes suspected to have evolving or drifting distributions, where older data might no longer represent current dynamics. You want your model to be trained on the most relevant recent history.</p><p>The difference mainly revolves around how big the training set is at each step, and whether or not you consider the entire past data to remain relevant to the future. The choice depends on domain knowledge (e.g., whether the process is strongly drifting or if older data remains informative).</p><h2><strong>Follow-Up Question: Why is preserving temporal order important for avoiding lookahead bias, and can you explain a real-world example?</strong></h2><p>Preserving temporal order is crucial because data in future time steps must not influence the model&#8217;s parameters or hyperparameters when predicting earlier (or concurrent) time steps. In forecasting, the entire point is to predict what has not happened yet. If the validation procedure allows future data to creep into the training phase, you end up with predictions that implicitly rely on information that would never be available in real-world deployment. This artificially inflates performance metrics and can result in models that fail when truly deployed.</p><p>As a simple real-world example, imagine you have daily sales data for a store, and you are trying to predict tomorrow&#8217;s sales. If you randomly shuffle your dataset, you might have rows from next week&#8217;s sales data in your training set while validating on last week&#8217;s data. That will produce a misleadingly low error metric because the model &#8220;knows&#8221; next week&#8217;s demand patterns, which is impossible in a real scenario. By preserving the time order, you only train on historical data and test on data that actually comes after the training data in time, which reflects the real forecasting scenario.</p><h2><strong>Follow-Up Question: How would you decide the length of the training window in walk-forward validation?</strong></h2><p>Choosing an appropriate training window length is often domain-specific. Generally, you look at:</p><p>The stationarity or seasonality of the data. If there are strong seasonal effects (weekly, yearly, etc.), your training window should be at least as large as the longest seasonal cycle so the model can capture these patterns. Data availability and volume. If you have a lot of data, you may keep a larger window, but if data is scarce, you might be forced to use all historical points. Possibility of concept drift. If the underlying distribution shifts over time, a smaller, more recent window might yield more accurate forecasts for the upcoming period at the cost of ignoring older patterns that might be less relevant. Computational constraints. Fitting large models repeatedly can be time-consuming, so you might limit the size of the window to reduce computational overhead.</p><p>In practice, it can be beneficial to experiment with different window lengths and measure out-of-sample performance to find the best trade-off between capturing historical patterns and focusing on recent trends.</p><h2><strong>Follow-Up Question: How do you handle hyperparameter tuning in time-series models without leaking future information?</strong></h2><p>When tuning hyperparameters for time-series forecasting, it&#8217;s essential to ensure your tuning procedure also does not use any future data to pick hyperparameters. This is sometimes called nested cross-validation for time-series:</p><p>You can implement a time-series cross-validation approach, where for each fold, you split the data into training and validation segments that respect time. Within the training portion of each fold, you further split that training data (also respecting chronological order) to tune the hyperparameters. You select the best hyperparameters based on performance on the validation portion within that fold, and then you evaluate on the outer fold&#8217;s test set. You repeat this for each fold and average the performance metrics.</p><p>This procedure ensures that your hyperparameter choices remain free of future data information. If you don&#8217;t do this, you risk picking hyperparameters that are overfitted to future test sets.</p><h2><strong>Follow-Up Question: Could you illustrate an approach for dealing with multiple seasonalities or exogenous features in a walk-forward time-series context?</strong></h2><p>In real-world scenarios such as retail forecasting or energy load forecasting, you often have multiple seasonalities (daily, weekly, yearly) plus exogenous inputs like weather data, promotions, events, etc. In that situation:</p><p>You incorporate those exogenous features (e.g., daily temperature, holiday indicators) into your feature matrix at each time step, ensuring that for each forecast horizon you only use exogenous data that would realistically be available at prediction time. For instance, if you know next-day&#8217;s weather forecast is updated each evening, you only feed that forecast into the model once it is actually published. You maintain the same walk-forward or time-based splitting logic. For each fold, you train on a chronological slice of data that includes both your target and exogenous features up to time t, then you validate on times t+1 to t+m. Because multiple seasonalities might exist, you may need a sufficiently large training window for your model to observe at least one full cycle of each seasonality. Or you might incorporate frequency-based transformations (like Fourier series or dummy variables for seasonality) into your feature engineering. By using multiple expanding or rolling splits, you examine how your model&#8217;s performance changes under different seasonal regimes or over different times of the year.</p><h2><strong>Follow-Up Question: Why might a simple hold-out method not be enough for certain time-series models?</strong></h2><p>A single hold-out method (training on an earlier block of time and testing on the final block) can be a good preliminary check. However, it does not confirm whether the model is stable across different time intervals. If you only have one train/test split, you might get a single performance estimate that is not representative of all market conditions or environmental variations that occur in the data&#8217;s history. Many time-series can have periods of anomaly or unique events (e.g., sudden economic shocks, pandemics, extreme weather, or holiday surges). A single hold-out might train on data that doesn&#8217;t properly represent those anomalies or might test on a region with unusual events that the training set never saw.</p><p>Multiple rolling splits or walk-forward validation solves this by creating multiple train/test partitions, each corresponding to a different forecast origin. You get a series of performance metrics across time, which can be more robust for determining how your model might perform in various scenarios. This is especially relevant in FANG-level challenges, where data can be non-stationary and unpredictable.</p><h2><strong>Follow-Up Question: Are there any alternative methods to walk-forward validation if the dataset is extremely large?</strong></h2><p>Yes. If the dataset is extremely large (e.g., decades of high-frequency data), repeatedly retraining your model on the entire historical dataset for each fold can be computationally expensive. Some strategies include:</p><p>Using a fixed-width rolling window to limit the size of training data. Incremental or online learning techniques in which your model updates its parameters with new data in a more efficient manner rather than retraining from scratch. Sampling strategies that maintain time continuity but skip certain intervals to reduce training complexity. For example, training on a shorter, more recent block and only occasionally including older intervals if they are relevant for capturing rare events.</p><p>These methods help reduce computational costs while still preserving chronological order. However, each approach must be carefully validated to make sure you still avoid lookahead bias.</p><h2><strong>Follow-Up Question: How do you decide the number of rolling splits for walk-forward validation?</strong></h2><p>Choosing the number of splits (n_splits) in a TimeSeriesSplit or similar approach is typically a trade-off between:</p><p>Having enough splits to thoroughly evaluate performance in different time segments. Ensuring each training set is of reasonable size and that each test set is large enough to produce reliable error metrics. Avoiding excessive computation.</p><p>If you have a long time horizon, you might create many splits, each focusing on a short forecast window. If your forecast horizon is relatively short compared to your entire dataset, you can afford more splits. Conversely, if you have fewer data points or long seasonal cycles, you may have fewer splits so that each training set covers the essential seasonal patterns. Ultimately, the choice is governed by domain knowledge, data size, seasonal/holiday patterns, and computational constraints.</p><h2><strong>Follow-Up Question: Could you illustrate how to measure performance across multiple splits in a walk-forward evaluation?</strong></h2><p>Yes. When you do multiple splits, after each training/validation step, you compute a metric such as MAE, MSE, RMSE, or MAPE. Let&#8217;s say you denote each split&#8217;s error as ( e_i ) for the i-th split. You can aggregate them in simple ways:</p><p>You can average those errors:</p><div class="captioned-image-container"><figure><a class="image-link image2" target="_blank" href="https://substackcdn.com/image/fetch/$s_!sJjx!,f_auto,q_auto:good,fl_progressive:steep/https%3A%2F%2Fsubstack-post-media.s3.amazonaws.com%2Fpublic%2Fimages%2F48a8c177-d6de-4da4-93eb-ecea0500e3b3_590x213.png" data-component-name="Image2ToDOM"><div class="image2-inset"><picture><source type="image/webp" srcset="https://substackcdn.com/image/fetch/$s_!sJjx!,w_424,c_limit,f_webp,q_auto:good,fl_progressive:steep/https%3A%2F%2Fsubstack-post-media.s3.amazonaws.com%2Fpublic%2Fimages%2F48a8c177-d6de-4da4-93eb-ecea0500e3b3_590x213.png 424w, https://substackcdn.com/image/fetch/$s_!sJjx!,w_848,c_limit,f_webp,q_auto:good,fl_progressive:steep/https%3A%2F%2Fsubstack-post-media.s3.amazonaws.com%2Fpublic%2Fimages%2F48a8c177-d6de-4da4-93eb-ecea0500e3b3_590x213.png 848w, https://substackcdn.com/image/fetch/$s_!sJjx!,w_1272,c_limit,f_webp,q_auto:good,fl_progressive:steep/https%3A%2F%2Fsubstack-post-media.s3.amazonaws.com%2Fpublic%2Fimages%2F48a8c177-d6de-4da4-93eb-ecea0500e3b3_590x213.png 1272w, https://substackcdn.com/image/fetch/$s_!sJjx!,w_1456,c_limit,f_webp,q_auto:good,fl_progressive:steep/https%3A%2F%2Fsubstack-post-media.s3.amazonaws.com%2Fpublic%2Fimages%2F48a8c177-d6de-4da4-93eb-ecea0500e3b3_590x213.png 1456w" sizes="100vw"><img src="https://substackcdn.com/image/fetch/$s_!sJjx!,w_1456,c_limit,f_auto,q_auto:good,fl_progressive:steep/https%3A%2F%2Fsubstack-post-media.s3.amazonaws.com%2Fpublic%2Fimages%2F48a8c177-d6de-4da4-93eb-ecea0500e3b3_590x213.png" width="590" height="213" data-attrs="{&quot;src&quot;:&quot;https://substack-post-media.s3.amazonaws.com/public/images/48a8c177-d6de-4da4-93eb-ecea0500e3b3_590x213.png&quot;,&quot;srcNoWatermark&quot;:null,&quot;fullscreen&quot;:null,&quot;imageSize&quot;:null,&quot;height&quot;:213,&quot;width&quot;:590,&quot;resizeWidth&quot;:null,&quot;bytes&quot;:15276,&quot;alt&quot;:null,&quot;title&quot;:null,&quot;type&quot;:&quot;image/png&quot;,&quot;href&quot;:null,&quot;belowTheFold&quot;:true,&quot;topImage&quot;:false,&quot;internalRedirect&quot;:&quot;https://www.rohan-paul.com/i/165773651?img=https%3A%2F%2Fsubstack-post-media.s3.amazonaws.com%2Fpublic%2Fimages%2F48a8c177-d6de-4da4-93eb-ecea0500e3b3_590x213.png&quot;,&quot;isProcessing&quot;:false,&quot;align&quot;:null,&quot;offset&quot;:false}" class="sizing-normal" alt="" srcset="https://substackcdn.com/image/fetch/$s_!sJjx!,w_424,c_limit,f_auto,q_auto:good,fl_progressive:steep/https%3A%2F%2Fsubstack-post-media.s3.amazonaws.com%2Fpublic%2Fimages%2F48a8c177-d6de-4da4-93eb-ecea0500e3b3_590x213.png 424w, https://substackcdn.com/image/fetch/$s_!sJjx!,w_848,c_limit,f_auto,q_auto:good,fl_progressive:steep/https%3A%2F%2Fsubstack-post-media.s3.amazonaws.com%2Fpublic%2Fimages%2F48a8c177-d6de-4da4-93eb-ecea0500e3b3_590x213.png 848w, https://substackcdn.com/image/fetch/$s_!sJjx!,w_1272,c_limit,f_auto,q_auto:good,fl_progressive:steep/https%3A%2F%2Fsubstack-post-media.s3.amazonaws.com%2Fpublic%2Fimages%2F48a8c177-d6de-4da4-93eb-ecea0500e3b3_590x213.png 1272w, https://substackcdn.com/image/fetch/$s_!sJjx!,w_1456,c_limit,f_auto,q_auto:good,fl_progressive:steep/https%3A%2F%2Fsubstack-post-media.s3.amazonaws.com%2Fpublic%2Fimages%2F48a8c177-d6de-4da4-93eb-ecea0500e3b3_590x213.png 1456w" sizes="100vw" loading="lazy"></picture><div></div></div></a></figure></div><p>You can also look at the median or percentile of errors if outliers are a concern. This way, you see an aggregated performance measure. More advanced methods can involve weighting splits differently if some intervals are more critical. In practice, the average or median error across splits is a straightforward measure of overall forecast performance.</p><h2><strong>Follow-Up Question: How does the correct evaluation strategy tie in with model deployment and maintenance in a real system?</strong></h2><p>After you have validated your model in a time-series-consistent way, you often deploy it to generate forecasts in production. Because time-series data is continuously generated, you might implement a schedule (for instance, daily or weekly) to retrain or update the model with the newest data. This is effectively the walk-forward approach but done online:</p><p>At each new step (e.g., each day), you take all available historical data, retrain or update the model, then produce the forecasts for the upcoming horizon. You keep track of forecast performance as the real data arrives and can feed that performance information back into your pipeline to decide whether your model is degrading over time (concept drift). If the model degrades, you might investigate whether you need a new architecture, additional features, or a different hyperparameter configuration.</p><p>Thus, your entire pipeline, from training to validation to final deployment, respects the time order and ensures no future data is used at any point.</p><div><hr></div><h2><strong>Below are additional follow-up questions</strong></h2><h2><strong>How do you handle missing data or irregular time steps in walk-forward validation?</strong></h2><p>Missing data or irregular time gaps can disrupt the continuity of your time-series and complicate the creation of training/validation segments. If observations at certain time steps are absent, you risk an inaccurate view of the temporal relationships. A practical way to address this is:</p><p><strong>Identify the Nature of the Missingness</strong> Determine if the data is missing at random, missing completely at random, or if there is a systematic cause (for example, sensors failing during specific times). If missingness is not random, you need to investigate the cause because it might hint at underlying processes that should be modeled separately.</p><p><strong>Impute or Transform</strong> For time-series data, a common approach is forward filling or backward filling to maintain continuity. However, you must ensure that the method chosen does not leak future values. Forward fill uses the last known value to fill missing points, which is typically safe as it does not require future data. Alternatively, you can interpolate between observed points if the data is expected to change smoothly.</p><p>Resampling If your data is at irregular intervals, you can resample to a fixed frequency (e.g., daily, hourly) and fill in missing timestamps. This ensures that each time step is accounted for, even if originally it was missing. This also allows easy slicing of intervals for rolling splits.</p><p><strong>Dedicated Methods for Irregular Time Series</strong> Some forecasting frameworks are built to handle irregular time steps directly, especially in fields like survival analysis or event-based processes. In such cases, you preserve the data in its raw form but carefully implement the walk-forward splits so each split still respects the chronological order of events.</p><p><strong>Check Impact on Validation</strong> Missing data or irregular steps can cause large uncertainties during your validation phase. For instance, if many consecutive days are missing, your training set or test set might be artificially compressed. The best practice is to keep track of how much data you drop or impute and to measure whether it alters the distribution or patterns the model sees.</p><h2><strong>Can you discuss strategies for aligning external (exogenous) data that come in different frequencies or with delays in time-series forecasting?</strong></h2><p>Time-series forecasts often rely on exogenous variables such as weather data, economic indicators, or user behavior metrics. These exogenous series might have a different sampling frequency or become available with a delay. In a real deployment scenario, you cannot use a data point about tomorrow&#8217;s exogenous variable if it will only be published tomorrow afternoon. Strategies include:</p><p><strong>Temporal Alignment</strong> Establish a clear timeline for each exogenous feature. If your main series is daily, aggregate or resample external data to daily frequency. If the external data is available at an hourly level, you can compute daily averages, daily max/min, or other relevant transformations.</p><p><strong>Lagging or Shifting Features</strong> If the exogenous data is known only after a certain lag (e.g., an economic indicator that publishes with a one-month delay), you might shift that feature so that the value that belongs to time t is only fed to the model at t+1 or whenever it becomes available. This ensures no leakage of future knowledge.</p><p><strong>Handling Different Frequencies</strong> If your main series is monthly but exogenous variables are available daily, you can roll them up (e.g., average daily temperature over the month). Alternatively, if your main series is at a higher frequency but exogenous data is monthly, you can propagate that monthly value to every day within the month. Always be explicit about how you handle boundary conditions&#8212;especially if monthly data is published mid-month rather than at the start.</p><p><strong>Walk-Forward Splitting with External Data</strong> When splitting the dataset, ensure that both your target and exogenous features are aligned so that any row in your training or test set only contains exogenous variables that realistically would have been known at that time. If you do repeated expansions or sliding windows, replicate this alignment for each window.</p><h2><strong>What steps do you take if the data generation process itself changes over time, potentially invalidating older segments of the time-series?</strong></h2><p>In real-life applications, processes can drift or even undergo abrupt regime changes (e.g., policy changes, technology upgrades, new product launches). If older data becomes less predictive:</p><p><strong>Segment the Timeline</strong> Identify the period before and after the change. One might train separate models for each regime or disregard data that is too old if it no longer contributes to future trends. However, it is often important to keep some historical context if the events might recur.</p><p><strong>Recalibration Windows</strong> Use a smaller rolling window that focuses on the most recent data. This helps the model adapt more quickly to new patterns rather than being swayed by outdated historical behavior.</p><p><strong>Change-Point Detection</strong> Implement algorithms that detect changes in distribution, so you can systematically re-train the model or switch to a new model when the process shifts. This might involve monitoring metrics like average error or drifting distribution statistics.</p><p><strong>Contextual Features</strong> You can add binary or categorical features that indicate which regime the data belongs to. This allows a single model to learn different patterns for different regimes, although it only works if these regimes repeat or if the transitions hold stable properties.</p><h2><strong>How can you adapt walk-forward validation to handle real-time streaming data in production environments?</strong></h2><p>In continuous data environments (e.g., streaming sensor data, live transactions), the forecasting process must dynamically update:</p><p><strong>Online Training or Incremental Learning</strong> Rather than re-fitting a batch model from scratch every time a new data point arrives, use algorithms that update parameters incrementally. Libraries like River (formerly known as Creme) in Python support incremental learning for time-series.</p><p><strong>Micro-Batching</strong> If fully streaming updates are not feasible, you can set small time intervals (e.g., every hour or day) to retrain the model on the latest data. Each retraining event is a smaller-scale version of walk-forward, effectively shifting the window forward by a small step.</p><p><strong>Rolling Evaluation Window</strong> Continuously keep track of forecast accuracy in a rolling window. For instance, once new data arrives for time t+1, compare it to your forecast from t. This real-time error monitoring helps detect concept drift or breakpoints in the underlying process.</p><p><strong>Latency and Resource Constraints</strong> In streaming scenarios, you might have strict latency requirements. Some complex models (like large neural networks) can be expensive to retrain frequently. You may need an approach that strikes a balance between accuracy and retraining speed (e.g., partial retraining, or layer freezing in deep networks).</p><h2><strong>What should you do if your time-series dataset is extremely short or extremely long?</strong></h2><p><strong>Extremely Short Time-Series</strong> If you have fewer data points, you face challenges like limited context for capturing seasonality or trends and insufficient data for multiple splits. Potential solutions include:</p><ul><li><p>Collect Additional Data: If feasible, gather more historical data from archives or combine multiple related but non-identical series (transfer learning or domain adaptation).</p></li><li><p>Simple Models First: Start with simpler statistical models (e.g., ARIMA) that are less prone to overfitting. A large neural network might not be suitable for very limited data.</p></li><li><p>Single Train/Test Split: If you truly have just a short sequence, you may only do a straightforward hold-out approach to get a rough estimate of performance. Validation is tough, so interpret the results carefully.</p></li></ul><p><strong>Extremely Long Time-Series</strong> If you have massive data (such as decades of daily or intraday data):</p><ul><li><p>Use a Rolling Window: Keep a subset of the most relevant data, or else model training can become unwieldy.</p></li><li><p>Parallelize or Use Efficient Libraries: If you do repeated walk-forward splits, it might be computationally heavy. Consider distributed computing frameworks or approximate training methods.</p></li><li><p>Summarize or Segment: If the data is unwieldy, you can segment by year, month, or context. Then do a hierarchical approach, first analyzing each segment, then unifying or ensembling the results.</p></li></ul><h2><strong>If your forecast horizon changes over time, how do you maintain a consistent walk-forward validation?</strong></h2><p>Sometimes you need to forecast 1 day ahead in one scenario and 7 days ahead in another scenario. You might shift the forecast horizon depending on user needs or business requirements:</p><p><strong>Separate Models or Multi-Horizon Models</strong> You can maintain separate models for each forecast horizon or use multi-horizon models (like seq2seq or transformers-based approaches) that predict multiple future steps at once. For walk-forward splits, each split must include data for training and evaluation that matches each horizon of interest.</p><p><strong>Staggered Walk-Forward</strong> For example, if you want to predict at horizons of 1, 3, and 7 days, for each training/validation period, you forecast all three horizons. Then you measure performance on each horizon separately. This approach ensures that your validation addresses each horizon&#8217;s predictive performance.</p><p><strong>Realistic Data Availability</strong> Ensure that for a 7-day horizon, you only use exogenous inputs that would be known at the time of the forecast. This is more complicated than single-step forecasting, so keep track of which features are available for which forecast lead time.</p><h2><strong>How do you measure the statistical significance of forecast improvements when using time-based splits?</strong></h2><p>When comparing two or more forecasting models, you want to know if the performance difference is real or just noise:</p><p><strong>Diebold-Mariano Test</strong> A commonly used statistical test for forecast accuracy comparison. It compares forecast errors from two models over a certain time horizon. The test can account for autocorrelation in the forecast errors, which is crucial in time-series.</p><p><strong>Paired T-Tests with Block Bootstrapping</strong> Traditional paired t-tests assume independent samples, which is not always true in time-series. A block bootstrap approach resamples contiguous blocks of residuals to preserve temporal dependencies.</p><p><strong>Rolling Window Performance</strong> Another way is to gather forecast errors from each time-based split, treat them as repeated trials, and apply standard statistical tests with caution. You might consider that each time-based split is an independent scenario. If you have enough splits, you can compute averages and confidence intervals.</p><h2><strong>How do you handle abrupt, one-time future events (like a sudden lockdown or unplanned outage) that the model has never seen in historical data?</strong></h2><p>Unprecedented events can break even the best time-series forecasts:</p><p><strong>Scenario Analysis</strong> One approach is scenario-based modeling, where you hypothesize the possible impact of an event. If a lockdown or outage is truly unprecedented, your model can&#8217;t infer from historical patterns. You might artificially create or simulate data that reflects changes in consumer behavior or system usage under lockdown.</p><p><strong>Expert Overlays</strong> In many industries, a domain expert might override or adjust the statistical model&#8217;s prediction for special events. For instance, they might add or subtract a certain magnitude based on experience.</p><p><strong>Anomaly or Intervention Models</strong> Models like intervention analysis (e.g., in an ARIMA framework) can handle known structural breaks. However, if the break is wholly new, you might detect it after the fact and switch to a new model or add a special feature to flag post-event data.</p><h2><strong>Could you discuss how to handle potential target leakage that might arise from derived features in time-series?</strong></h2><p>Sometimes features are derived from the same target you are trying to predict, inadvertently introducing leakage:</p><p><strong>Proper Lagging of Derived Features</strong> If you compute a rolling average or rolling sum of the target variable, ensure that your rolling window only uses data up to time t-1 to predict time t. If you use the sum from t+1 to t+5 while predicting t, that&#8217;s immediate leakage.</p><p><strong>Purging Future Observations</strong> In a walk-forward or rolling split, ensure that any feature that references future data is purged or delayed. For example, if you have an indicator for &#8220;the maximum price in the next 24 hours,&#8221; that is obviously not known at the current time step in a real scenario.</p><p><strong>Cross-Validation with Proper Feature Engineering</strong> All feature engineering that depends on future data must be done after you partition your dataset so that each training set does not contain any future knowledge. If you do the feature engineering on the entire dataset first and then split, you risk subtle leakage.</p><h2><strong>What if your time-series is highly non-stationary and includes multiple structural breaks&#8212;how do you ensure your walk-forward validation is robust?</strong></h2><p>In some domains (e.g., finance, user engagement for a rapidly growing platform), the time-series might break stationarity often:</p><p><strong>Multiple Rolling Splits with Short Windows</strong> A shorter rolling window can adapt to quickly changing patterns. This ensures that older data that no longer represents current behavior does not skew model training.</p><p><strong>Diagnostic Tests</strong> Perform stationarity tests (like Augmented Dickey-Fuller) on different segments of your data. Identify large changes in mean, variance, or autocorrelation structure. If certain segments are extremely different, a single global model might be insufficient.</p><p><strong>Model Specialization</strong> You might build different models specialized for different regimes (e.g., normal conditions vs. peak load conditions). For each walk-forward step, detect the current regime, then pick or train the appropriate specialized model.</p><p><strong>Adaptive Approaches</strong> Use methods that can internally adjust to changing distributions, such as recurrent neural networks with dynamic state, or advanced models that incorporate a notion of drifting weights. But always maintain a time-based validation approach to confirm the model&#8217;s ability to adapt to these shifts.</p><h2><strong>How do you address class imbalance or rare events in time-series forecasting when the target is not continuous but categorical or event-based?</strong></h2><p>Sometimes forecasting deals with classification or event detection (e.g., &#8220;Will an extreme weather event happen tomorrow?&#8221;). If events are rare:</p><p><strong>Focal Loss or Weighted Loss</strong> When training, apply appropriate loss functions that give higher weight to the minority class. However, keep your time-based split intact. This ensures your model sees chronological examples of rare events only when they happened.</p><p><strong>Synthetic Oversampling</strong> Techniques like SMOTE can be tricky for time-series because they randomly interpolate between minority class samples, potentially violating time-order. If used, it must be done only within each training window, never mixing data from future time steps.</p><p><strong>Evaluation Metrics</strong> Accuracy can be misleading if the event is rare. Use metrics like precision, recall, F1, or area under the precision-recall curve (AUPRC). For time-series, ensure you measure these metrics in a rolling test set scenario to confirm real-world performance.</p><p><strong>Feature Engineering for Leading Indicators</strong> In many real-time scenarios, you want advanced warning of a rare event. Incorporate known leading indicators if available. Make sure those indicators are realistically available prior to the event in your walk-forward validation.</p><h2><strong>What are common pitfalls when applying deep neural networks for time-series forecasting under a rolling/expanding validation scheme?</strong></h2><p>Deep learning offers flexibility and power for time-series but can introduce unique pitfalls:</p><p><strong>Long Training Times</strong> Deep nets can take substantial time to train. Re-training a large architecture multiple times in walk-forward splits can be expensive. You might need to do partial re-training or freeze certain layers.</p><p><strong>Overfitting to Non-Stationary Data</strong> Neural networks can memorize patterns in older data that are no longer relevant. With time-based splits, you might discover that performance deteriorates on the final splits if distribution has drifted substantially. Regularization, dropout, or data augmentation can help mitigate overfitting.</p><p><strong>Data Normalization</strong> Normalization (e.g., mean-variance scaling) can be a source of data leakage if you compute global means and variances from the entire dataset before splitting. Instead, compute and apply normalization statistics from the training set only, then apply them to the test set. In a rolling scheme, recalculate or update normalization statistics each time you move the window.</p><p><strong>Lack of Interpretability</strong> Deep models can be black boxes, making it hard to diagnose forecast failures. Thorough evaluation in multiple splits over different time segments is critical. You might also incorporate interpretability approaches (e.g., integrated gradients) but must do so within each time segment to see how the model&#8217;s interpretation changes over time.</p><h2><strong>How do you handle operational constraints like maximum model training time or memory limits during repeated time-based validations?</strong></h2><p>Industrial or large-scale forecasting systems can face constraints in compute resources:</p><p><strong>Sampling or Subsetting</strong> Instead of training on all historical data for each fold, you might use a subset (e.g., the most recent year) if that portion is the most relevant to future predictions.</p><p><strong>Incremental Updates</strong> Some models can be updated incrementally, bypassing the need to retrain from zero each time. This reduces overall computational load.</p><p>Parallelization Time-based splits can be run in parallel if you have enough compute resources, because each split is an independent training/validation cycle.</p><p><strong>Caching Intermediate Results</strong> You can cache feature engineering outputs or partially trained models. For instance, if your model architecture supports partial re-training, reuse the parameters from the previous fold as the initialization for the next fold. Make sure any caching does not cause data leakage across folds.</p><h2><strong>How do you ensure your walk-forward validation remains fair if you continually tweak the model or features between splits based on prior test results?</strong></h2><p>It is easy to repeatedly look at results from each fold and adjust your approach, effectively incorporating knowledge from the test fold back into the model for future folds:</p><p><strong>Proper Separation Between Development and Final Test</strong> You might treat the earlier folds as &#8220;development folds,&#8221; adjusting hyperparameters and features based on that feedback. Then keep the final fold (representing the most recent data) as a purely held-out test set you do not touch until you lock down your model.</p><p><strong>Nested Time-Series CV</strong> In a more formal approach, for each outer fold, you do an inner time-series CV for hyperparameter tuning. The outer test fold is only used for final evaluation. That way, the final test performance remains unbiased by repeated model tweaking.</p><p><strong>Careful Logging and Governance</strong> In practical teams, it is crucial to version your data, code, and model configurations. If you keep adjusting the model based on each new test set, it essentially becomes part of your training data. Maintain a strictly separate final test period that you only check once you are truly ready to evaluate.</p><h2><strong>How do you approach model selection when you have multiple candidate models using a rolling/expanding window validation?</strong></h2><p>When you have an ensemble of candidate models (ARIMA, XGBoost, LSTM, etc.):</p><p><strong>Aggregate Error Across Splits</strong> Compute average error metrics for each candidate across all splits. Whichever model has the best overall performance is typically selected.</p><p><strong>Consider Stability</strong> Sometimes a model might have an excellent average performance but large variance across splits, indicating potential instability. Another model might have a slightly worse average but more stable performance. Depending on your risk tolerance, you might prefer the more stable model.</p><p><strong>Statistical Tests</strong> Use tests like Diebold-Mariano or others that compare errors from each model across each split to see if the differences are statistically significant.</p><p><strong>Ensemble Approaches</strong> If multiple models capture different aspects of the time-series, you can combine them (e.g., a weighted average of forecasts). This can smooth out weaknesses of individual methods.</p><h2><strong>How do you handle the situation where the test set is very different from the training period in time-series forecasting?</strong></h2><p>Real-world data can shift drastically. If your test set distribution diverges from the training set:</p><p><strong>Model Retraining or Adjustment</strong> Analyze the root cause of the shift. If it&#8217;s permanent (like a new technology standard), you might permanently change your model features, structure, or training data. If it&#8217;s transient, you might incorporate special indicators or event flags for that period.</p><p><strong>Flexible or Non-Parametric Models</strong> Models like random forests or gradient boosting can sometimes adapt better if you keep retraining them regularly with new data. They do not rely as heavily on stationarity assumptions as certain classical time-series models.</p><p><strong>Segregated Training</strong> If you expect such shifts to recur in the future, gather data from past episodes of similar nature (if they exist) and create a specialized &#8220;shift-aware&#8221; segment in your training set. For purely novel shifts, you can only adapt after the shift begins.</p><h2><strong>Could you discuss the impact of time granularity (e.g., minute data vs. daily data) on walk-forward validation?</strong></h2><p>Granularity significantly affects how you construct and interpret time-based splits:</p><p><strong>Intraday vs. Daily</strong> In minute-level or second-level data (high-frequency data), a single day might already contain many thousands of observations. You might have frequent walk-forward steps (e.g., training on the first 4 hours of data and predicting the 5th hour). Ensure you handle the seasonality that occurs within a single day (e.g., morning vs. afternoon in finance).</p><p><strong>Aggregation or Downsampling</strong> If you have extremely granular data, you might consider aggregating to a coarser resolution to reduce noise and computational load, especially if your forecast horizon is not extremely short. However, you may lose some signal that exists at high frequency.</p><p><strong>Multiple Horizons</strong> Short-term forecasts may be more accurate if you use high-frequency data. If you plan to forecast many days ahead, minute-level data might be too noisy or might not be necessary. Decide on a granularity that aligns with your forecast horizon and business needs.</p><p><strong>Data Volume</strong> High-frequency data can lead to massive storage and training overhead. For rolling splits, you might reduce the length of the historical window or use incremental learning to manage this.</p>]]></content:encoded></item><item><title><![CDATA[ML Interview Q Series: Reproducible Machine Learning: Seeds, Versioning, Containers, and Logging Techniques.]]></title><description><![CDATA[&#128218; Browse the full ML Interview series here.]]></description><link>https://www.rohan-paul.com/p/ml-interview-q-series-reproducible</link><guid isPermaLink="false">https://www.rohan-paul.com/p/ml-interview-q-series-reproducible</guid><pubDate>Thu, 12 Jun 2025 09:40:31 GMT</pubDate><enclosure url="https://substackcdn.com/image/fetch/$s_!sOSZ!,f_auto,q_auto:good,fl_progressive:steep/https%3A%2F%2Fsubstack-post-media.s3.amazonaws.com%2Fpublic%2Fimages%2F12f08056-3bb0-4d4e-bc35-e45a774dac60_1024x572.png" length="0" type="image/jpeg"/><content:encoded><![CDATA[<div class="captioned-image-container"><figure><a class="image-link image2 is-viewable-img" target="_blank" href="https://substackcdn.com/image/fetch/$s_!sOSZ!,f_auto,q_auto:good,fl_progressive:steep/https%3A%2F%2Fsubstack-post-media.s3.amazonaws.com%2Fpublic%2Fimages%2F12f08056-3bb0-4d4e-bc35-e45a774dac60_1024x572.png" data-component-name="Image2ToDOM"><div class="image2-inset"><picture><source type="image/webp" srcset="https://substackcdn.com/image/fetch/$s_!sOSZ!,w_424,c_limit,f_webp,q_auto:good,fl_progressive:steep/https%3A%2F%2Fsubstack-post-media.s3.amazonaws.com%2Fpublic%2Fimages%2F12f08056-3bb0-4d4e-bc35-e45a774dac60_1024x572.png 424w, https://substackcdn.com/image/fetch/$s_!sOSZ!,w_848,c_limit,f_webp,q_auto:good,fl_progressive:steep/https%3A%2F%2Fsubstack-post-media.s3.amazonaws.com%2Fpublic%2Fimages%2F12f08056-3bb0-4d4e-bc35-e45a774dac60_1024x572.png 848w, https://substackcdn.com/image/fetch/$s_!sOSZ!,w_1272,c_limit,f_webp,q_auto:good,fl_progressive:steep/https%3A%2F%2Fsubstack-post-media.s3.amazonaws.com%2Fpublic%2Fimages%2F12f08056-3bb0-4d4e-bc35-e45a774dac60_1024x572.png 1272w, https://substackcdn.com/image/fetch/$s_!sOSZ!,w_1456,c_limit,f_webp,q_auto:good,fl_progressive:steep/https%3A%2F%2Fsubstack-post-media.s3.amazonaws.com%2Fpublic%2Fimages%2F12f08056-3bb0-4d4e-bc35-e45a774dac60_1024x572.png 1456w" sizes="100vw"><img src="https://substackcdn.com/image/fetch/$s_!sOSZ!,w_1456,c_limit,f_auto,q_auto:good,fl_progressive:steep/https%3A%2F%2Fsubstack-post-media.s3.amazonaws.com%2Fpublic%2Fimages%2F12f08056-3bb0-4d4e-bc35-e45a774dac60_1024x572.png" width="1024" height="572" data-attrs="{&quot;src&quot;:&quot;https://substack-post-media.s3.amazonaws.com/public/images/12f08056-3bb0-4d4e-bc35-e45a774dac60_1024x572.png&quot;,&quot;srcNoWatermark&quot;:null,&quot;fullscreen&quot;:null,&quot;imageSize&quot;:null,&quot;height&quot;:572,&quot;width&quot;:1024,&quot;resizeWidth&quot;:null,&quot;bytes&quot;:1083972,&quot;alt&quot;:null,&quot;title&quot;:null,&quot;type&quot;:&quot;image/png&quot;,&quot;href&quot;:null,&quot;belowTheFold&quot;:false,&quot;topImage&quot;:true,&quot;internalRedirect&quot;:&quot;https://www.rohan-paul.com/i/165773316?img=https%3A%2F%2Fsubstack-post-media.s3.amazonaws.com%2Fpublic%2Fimages%2F12f08056-3bb0-4d4e-bc35-e45a774dac60_1024x572.png&quot;,&quot;isProcessing&quot;:false,&quot;align&quot;:null,&quot;offset&quot;:false}" class="sizing-normal" alt="" srcset="https://substackcdn.com/image/fetch/$s_!sOSZ!,w_424,c_limit,f_auto,q_auto:good,fl_progressive:steep/https%3A%2F%2Fsubstack-post-media.s3.amazonaws.com%2Fpublic%2Fimages%2F12f08056-3bb0-4d4e-bc35-e45a774dac60_1024x572.png 424w, https://substackcdn.com/image/fetch/$s_!sOSZ!,w_848,c_limit,f_auto,q_auto:good,fl_progressive:steep/https%3A%2F%2Fsubstack-post-media.s3.amazonaws.com%2Fpublic%2Fimages%2F12f08056-3bb0-4d4e-bc35-e45a774dac60_1024x572.png 848w, https://substackcdn.com/image/fetch/$s_!sOSZ!,w_1272,c_limit,f_auto,q_auto:good,fl_progressive:steep/https%3A%2F%2Fsubstack-post-media.s3.amazonaws.com%2Fpublic%2Fimages%2F12f08056-3bb0-4d4e-bc35-e45a774dac60_1024x572.png 1272w, https://substackcdn.com/image/fetch/$s_!sOSZ!,w_1456,c_limit,f_auto,q_auto:good,fl_progressive:steep/https%3A%2F%2Fsubstack-post-media.s3.amazonaws.com%2Fpublic%2Fimages%2F12f08056-3bb0-4d4e-bc35-e45a774dac60_1024x572.png 1456w" sizes="100vw" fetchpriority="high"></picture><div class="image-link-expand"><div class="pencraft pc-display-flex pc-gap-8 pc-reset"><button tabindex="0" type="button" class="pencraft pc-reset pencraft icon-container restack-image"><svg role="img" width="20" height="20" viewBox="0 0 20 20" fill="none" stroke-width="1.5" stroke="var(--color-fg-primary)" stroke-linecap="round" stroke-linejoin="round" xmlns="http://www.w3.org/2000/svg"><g><title></title><path d="M2.53001 7.81595C3.49179 4.73911 6.43281 2.5 9.91173 2.5C13.1684 2.5 15.9537 4.46214 17.0852 7.23684L17.6179 8.67647M17.6179 8.67647L18.5002 4.26471M17.6179 8.67647L13.6473 6.91176M17.4995 12.1841C16.5378 15.2609 13.5967 17.5 10.1178 17.5C6.86118 17.5 4.07589 15.5379 2.94432 12.7632L2.41165 11.3235M2.41165 11.3235L1.5293 15.7353M2.41165 11.3235L6.38224 13.0882"></path></g></svg></button><button tabindex="0" type="button" class="pencraft pc-reset pencraft icon-container view-image"><svg xmlns="http://www.w3.org/2000/svg" width="20" height="20" viewBox="0 0 24 24" fill="none" stroke="currentColor" stroke-width="2" stroke-linecap="round" stroke-linejoin="round" class="lucide lucide-maximize2 lucide-maximize-2"><polyline points="15 3 21 3 21 9"></polyline><polyline points="9 21 3 21 3 15"></polyline><line x1="21" x2="14" y1="3" y2="10"></line><line x1="3" x2="10" y1="21" y2="14"></line></svg></button></div></div></div></a></figure></div><p>&#128218; Browse <strong><a href="https://rohanpaul.substack.com/s/ml-interview-series/archive?sort=new">the full ML Interview series here</a></strong>.</p><h2><strong>Reproducibility: Why is reproducibility important in machine learning experiments and production models? *Describe steps you would take to ensure reproducibility, such as fixing random seeds, tracking the versions of data and code, using containerization (Docker) for the environment, and logging model training parameters and results so that a model can be retrained or audited later under the same conditions.*</strong></h2><p class="button-wrapper" data-attrs="{&quot;url&quot;:&quot;https://x.com/rohanpaul_ai&quot;,&quot;text&quot;:&quot;Connect with me on X (Twitter)&quot;,&quot;action&quot;:null,&quot;class&quot;:&quot;button-wrapper&quot;}" data-component-name="ButtonCreateButton"><a class="button primary button-wrapper" href="https://x.com/rohanpaul_ai"><span>Connect with me on X (Twitter)</span></a></p><p>Reproducibility is crucial for reliable machine learning research and production systems because it ensures that any observed model behavior and results can be replicated under the same conditions. This allows teams to validate their experiments, debug issues quickly, perform model audits, collaborate effectively across different environments, and comply with regulatory requirements that demand traceability in certain industries.</p><p>Why reproducibility is important in detail can be understood by considering the variety of aspects that go into machine learning experimentation. When you train a model, the outcome can be influenced by random weight initialization, the order in which data is fed during training, hardware differences (especially for GPU computations), library versions, hyperparameters, and even subtle differences in your dataset. If you or someone else reruns the experiment without controlling these variations, you might get significantly different results or behaviors. This can be problematic for scientific validity, debugging, collaboration, and deployment of consistent models in production. When models must be audited (e.g., in finance or healthcare), reproducibility becomes a compliance issue.</p><p>Below are core steps to ensure reproducibility. These steps apply to both experimental research and real-world production systems.</p><p>Ensuring consistent random number generation</p><p>One foundational step is to fix random seeds. By consistently setting seeds, you reduce the randomness in weight initialization, data shuffling, and any other stochastic process in your pipeline. For example, in PyTorch:</p><pre><code><code>import torch
import random
import numpy as np

def set_random_seeds(seed_value=42):
    random.seed(seed_value)
    np.random.seed(seed_value)
    torch.manual_seed(seed_value)
    torch.cuda.manual_seed(seed_value)
    torch.backends.cudnn.deterministic = True
    torch.backends.cudnn.benchmark = False
</code></code></pre><p>When you call this function before training, you reduce the chance of obtaining different results each time you rerun your experiment. However, GPU operations (especially on certain hardware) can still have non-deterministic kernels. Setting <code>torch.backends.cudnn.deterministic = True</code> forces some operations to become deterministic at the cost of potential speed slowdowns. In other frameworks like TensorFlow, you would similarly set seeds for Python&#8217;s <code>random</code>, NumPy, and TensorFlow&#8217;s internal randomness. These steps help mitigate nondeterminism but do not guarantee it 100% for all operations because certain GPU kernels may have inherent nondeterministic behaviors.</p><p>Version control of code and libraries</p><p>To replicate a model&#8217;s training run at any point in the future, you must know exactly which version of your code and which libraries were used. Even changes that appear small, such as upgrading a library or refactoring a code snippet, can lead to differences in numeric results. This is why it is a best practice to:</p><p>Use a version control system such as Git to store all code changes.</p><p>Keep a clear record of commits or tags that correspond to particular experiments or model versions.</p><p>Lock your dependencies in requirements files (for Python typically a requirements.txt or a conda environment.yml) or other environment description files that specify exact library versions.</p><p>Containerization for environment consistency</p><p>When you train or deploy a model on different machines, the underlying hardware, operating system, and installed libraries can differ. Containerization technologies, like Docker, let you standardize your environment. By defining a Dockerfile that installs specific versions of Python, CUDA, and all needed libraries, you ensure that running your container on any machine produces the same environment for training or inference. For example, a minimal Dockerfile:</p><pre><code><code>FROM nvidia/cuda:11.4.2-cudnn8-runtime-ubuntu20.04

RUN apt-get update &amp;&amp; apt-get install -y python3-pip

COPY requirements.txt /tmp
RUN pip3 install -r /tmp/requirements.txt

COPY . /app
WORKDIR /app

CMD ["python3", "train.py"]
</code></code></pre><p>Tracking data versions</p><p>Data changes over time, and differences in data can produce wildly different model outcomes. Keeping track of exactly which dataset version you used, including any preprocessing or cleaning steps, is fundamental for reproducibility. Practices include:</p><p>Storing datasets in version-controlled systems or external data versioning tools (e.g., DVC).</p><p>Including data checksums or signatures in your experiment logs so you can confirm which dataset snapshot was used.</p><p>Implementing pipeline steps that transform or augment the data in ways that are strictly documented or scripted so that the entire data preparation process can be replicated on new machines or at a later time.</p><p>Logging parameters, hyperparameters, and results</p><p>It is essential to track the hyperparameters used for each run (learning rate, batch size, number of epochs, regularization coefficients, and so on). Logging frameworks such as MLflow or Weights &amp; Biases can help you store details like:</p><p>All hyperparameters.</p><p>Training metrics over epochs.</p><p>Exact model checkpoints.</p><p>Code version (often via Git commit hashes).</p><p>System environment details, including CPU/GPU type, OS version, library versions, and so forth.</p><p>With these logs, you can retrace your steps if a model unexpectedly performs poorly in production or if you simply want to replicate the training setup for further experiments.</p><p>Careful handling of non-deterministic operations</p><p>Even with a fixed seed, certain parallel GPU operations, multi-threaded CPU operations, and distributed training setups may lead to subtle variations. Most deep learning frameworks document which operations are non-deterministic. You might choose to avoid them or accept that slight differences will arise. In production, some tasks can rely on approximate determinism if the differences are minimal and do not affect outcomes. If exact reproducibility is required for compliance or debugging, you would isolate or remove any non-deterministic operations.</p><p>Strategies for distributed and large-scale systems</p><p>In distributed training, the order of gradient updates and asynchronous operations can cause results to diverge slightly from run to run. You can still minimize differences by fixing seeds for each worker, carefully controlling data shuffles, and using deterministic algorithms where possible. Although fully deterministic distributed training can be complex, consistency across runs often comes close enough for practical reproducibility.</p><div class="subscription-widget-wrap-editor" data-attrs="{&quot;url&quot;:&quot;https://www.rohan-paul.com/subscribe?&quot;,&quot;text&quot;:&quot;Subscribe&quot;,&quot;language&quot;:&quot;en&quot;}" data-component-name="SubscribeWidgetToDOM"><div class="subscription-widget show-subscribe"><div class="preamble"><p class="cta-caption">I write everyday for my readers on actionable AI. Subscribe and instantly get a 1300+ page Python book.</p></div><form class="subscription-widget-subscribe"><input type="email" class="email-input" name="email" placeholder="Type your email&#8230;" tabindex="-1"><input type="submit" class="button primary" value="Subscribe"><div class="fake-input-wrapper"><div class="fake-input"></div><div class="fake-button"></div></div></form></div></div><p>Below are potential follow-up questions an interviewer might ask, along with in-depth answers that discuss subtle aspects and real-world concerns.</p><h2><strong>If we fix random seeds, is it guaranteed that we get the exact same model weights each time?</strong></h2><p>There are cases where simply fixing the seed across runs does not fully guarantee exactly the same model weights or numerical results. Although setting the seed is crucial, a few factors can introduce variability. For instance, certain operations on GPUs (like atomic floating-point operations in parallel computations) can be inherently nondeterministic. When the same lines of code execute on different GPU architectures or different hardware configurations, the floating-point summations might occur in different orders. Floating-point arithmetic is not associative, so changing the summation order can produce slightly different numerical results.</p><p>Another source of variability arises in multi-threaded CPU operations or multi-GPU training. Thread scheduling, asynchronous operations, or out-of-order instructions can reorder computations. This reordering similarly can introduce minuscule differences in floating-point round-off errors. Although these differences often do not drastically alter final metrics, for absolute reproducibility you might require special configurations, such as:</p><p>Disabling some multi-threaded libraries.</p><p>Using deterministic kernels only.</p><p>Ensuring the same GPU model and driver version.</p><p>Despite these measures, for many practical business applications, approximate reproducibility (where the results do not differ in a meaningful way) is usually enough. But if a domain requires strict reproducibility for compliance, you would carefully consult your framework&#8217;s documentation on deterministic operations and ensure your pipeline does not rely on non-deterministic routines.</p><h2><strong>Does containerization alone guarantee reproducible results if other factors are not fixed?</strong></h2><p>Containerization is an excellent way to encapsulate the system libraries, CUDA drivers, and even hardware compatibility, but it is not sufficient by itself to guarantee reproducibility if other factors are not carefully controlled. For example, if your model code pulls live data from an external source without pinning it to a particular snapshot, you lose control over that data&#8217;s variability. If you do not fix random seeds or track the hyperparameters, containerization will not help replicate the exact same training outcome. Similarly, if you run the container on very different hardware architectures (like different GPU models), you might still run into subtle numerical variations, especially for floating-point computations. Hence, containerization is a key tool but must be combined with consistent data, random seeds, versioned code, and environment variables to fully reproduce results.</p><h2><strong>Why is data versioning so critical for reproducibility?</strong></h2><p>Data versioning ensures that you can link a particular model result to the exact dataset used during training and evaluation. The dataset is not only the raw files but also the transformations (cleaning, feature engineering, augmentation, etc.). When you or someone else attempts to replicate results days, months, or years later, you must be able to retrieve the precise data snapshot. Even minor differences, like an updated record in your dataset, missing files, or changed labeling, can lead to a model that behaves differently.</p><p>If you cannot reconstruct the original dataset and the process used for training, your results effectively become non-reproducible. This becomes critical for regulated domains, auditing, or any scenario in which you need to precisely verify a model&#8217;s predictions and interpretability.</p><h2><strong>How do we handle reproducibility in large-scale distributed training settings?</strong></h2><p>Large-scale distributed training is typically done with multiple GPU workers, or sometimes CPU clusters, operating in parallel. You might have to shuffle data across workers, combine gradients from different GPUs, and manage asynchronous operations. To keep your training runs reproducible in such setups:</p><p>Assign each worker a fixed seed, possibly derived from a global seed so that each worker seed is unique but reproducible.</p><p>Use deterministic algorithms where available. In PyTorch, for example, you can set the environment variable "CUBLAS_WORKSPACE_CONFIG" and certain flags that enforce deterministic operations for backward passes of some layers. Similarly, you can ensure that data loading, augmentation, and random sampling are all pinned to seeds.</p><p>Ensure that the data distribution mechanism to workers is also deterministic. This might involve carefully controlling distributed samplers.</p><p>Use identical hardware if possible, or at least identical GPU models across all workers, because different GPU architectures can produce slightly different floating-point results.</p><p>Recognize that for extremely large distributed systems, each minor difference in floating-point summation can accumulate. If your application requires absolutely identical final results, you might need to enforce a synchronization pattern that forces a deterministic summation order of gradients, though this can be computationally expensive or slow.</p><h2><strong>What are some best practices for logging model training and parameters in real-world production workflows?</strong></h2><p>In real-world production workflows, logging is crucial because it allows you to trace back exactly how a model was created. A best practice approach is:</p><p>Use a centralized experiment tracking system that automatically saves hyperparameters, metrics, model checkpoints, code version references, data references, and environment details every time you trigger a training job.</p><p>Include machine and environment details, like the GPU type, CUDA version, installed OS patches, and library versions. These environment logs help identify issues if the model is later found to underperform or if new hardware is introduced.</p><p>Capture and store not just the final model weights but also intermediate checkpoints. This is useful if you want to resume training from a certain epoch or compare performance at various stages.</p><p>Store metadata about your raw data location, as well as any transformations used. This metadata can be a commit hash in your data versioning system or a data snapshot ID.</p><p>Make sure that these logs are accessible to the entire team so collaboration is smooth and new team members can investigate how models were trained historically.</p><p>When working in regulated industries, ensure you keep detailed logs that comply with relevant standards. This may include audits of data usage and a record of who triggered which training job.</p><p>The overarching message is that reproducibility is not a single step but rather a rigorous combination of carefully fixing random seeds, locking down libraries, using containers to standardize environments, versioning code and data, and systematically logging every parameter and artifact. This set of practices makes it possible to reproduce machine learning experiments and production models, facilitating both collaboration and accountability.</p><div><hr></div><h2><strong>Below are additional follow-up questions</strong></h2><h2><strong>How do you ensure reproducibility in online learning scenarios with streaming data?</strong></h2><p>Online learning implies that your model ingests data continuously, updating its parameters in real time (or near real time). In such a scenario, data can arrive in unpredictable sequences, and the state of the model changes after each data point or mini-batch. To maintain reproducibility:</p><p>You must store a detailed log of the incoming data stream or at least snapshots of it at intervals. If you only rely on a live data feed, you lose control over the exact sequence of data for later replay. One potential approach is to buffer and batch the data into segments that get stored with timestamps or version identifiers.</p><p>You need to track and fix any randomness introduced in the update procedure. For instance, if you randomly sample from a buffer (such as in reinforcement learning replay memory), you must fix a seed for the sampling process. Also, record exactly which samples were drawn at each update iteration.</p><p>Document hyperparameters or settings that might change over time. In some streaming pipelines, you adapt hyperparameters (like learning rate) on the fly. If you do not keep a record of each change along with the time or iteration step, reconstructing the model state later becomes nearly impossible.</p><p>Be mindful of system or deployment constraints that could introduce timing-based randomness. For example, if you are using parallel streaming consumers, the order of data arrival might differ between runs. Ensuring a strictly controlled queueing mechanism or single-threaded approach helps, though it may reduce throughput. If parallelism is necessary for performance, you can implement deterministic ordering policies in your message-queue or streaming framework, though that can be challenging in real-world distributed systems.</p><p>Online learning typically requires more robust logging and data archiving than batch learning, because you might need to recreate or simulate an entire sequence of events to replicate your model&#8217;s final state. A practical approach is to store incremental model checkpoints at consistent intervals so you can roll forward from a known state, applying a logged sequence of updates.</p><h2><strong>How do you handle hyperparameter search processes in a reproducible manner?</strong></h2><p>Hyperparameter optimization (HPO) involves many runs with different configurations. This can introduce complexity because you often rely on randomized search, Bayesian optimization, or other stochastic search algorithms. Key practices to ensure reproducibility of hyperparameter searches:</p><p>Fix seeds for each trial. If your search method uses random sampling of hyperparameters (e.g., random search or certain Bayesian optimization strategies), set a global seed for the search algorithm. Then, for each individual run of the model, also fix its seed. This way, the same sequence of hyperparameter sets is proposed across repeated runs, and each run yields the same training result for that set.</p><p>Record the search strategy details and its parameter space. For instance, if you do a grid search over a range of learning rates and batch sizes, store the exact grid or range definitions. If you do random or Bayesian search, store the bounds, priors, or initial points so that you can replicate the same search space.</p><p>Log every hyperparameter configuration tested, along with the resulting metrics. This can be automated through tools like MLflow, Weights &amp; Biases, or custom logging systems. Keep track of the search algorithm state, especially for sequential model-based optimization methods that rely on previous runs&#8217; results to suggest new hyperparameters.</p><p>Containerize or otherwise fix the environment for the entire hyperparameter tuning session. This ensures that library versions don&#8217;t shift in the middle of a large search job&#8212;otherwise, partial runs might differ from others.</p><p>When you use distributed hyperparameter searches on multiple machines, you need to ensure that each machine is running the same environment and seeds. If you let machines request random seeds independently, you may get collisions or a changed order of proposals, which undermines reproducibility.</p><h2><strong>How do you manage reproducibility when external libraries or dependencies get updated unexpectedly?</strong></h2><p>Even if you&#8217;ve pinned versions in your requirements file, you might have dependencies that automatically pull in patches or minor versions. Over time, library maintainers can deprecate or remove functionality, or change default behaviors (e.g., default random seeds or default algorithmic backends). To handle this:</p><p>Use explicit version pinning everywhere. Instead of specifying something like torch&#8805;1.10, specify torch==1.10.1 if you want perfect consistency. Same for all transitive dependencies if possible.</p><p>Maintain a local package index or cache. In some cases, you can mirror PyPI or conda channels so that you do not rely on external changes. This avoids the scenario where a library version is no longer available or gets replaced with a new build that introduces subtle differences.</p><p>Adopt a robust testing strategy. Before you update any dependency in your production or research environment, rerun critical tests to see if results match your previously logged metrics. If any changes occur, dig into them to confirm that the differences are strictly numerical or if they break major functionalities.</p><p>If you rely heavily on a framework like TensorFlow or PyTorch, watch for new release notes that mention changes in default seeds, kernels, or behavior. You might need to keep a separate environment for old experiments if you want them to be reproducible without re-engineering the code.</p><h2><strong>How do you preserve reproducibility when the data is dynamically generated or enriched with external metadata over time?</strong></h2><p>Many real-world use cases append or enrich data over time. For instance, user profiles might acquire new attributes, or third-party data sources might retroactively fix errors. This can break reproducibility if you do not store the original state of the data:</p><p>Maintain snapshot releases of your data. At specified intervals&#8212;daily, weekly, or monthly&#8212;create a static snapshot that you label with a version or timestamp. When training, point your model to a specific snapshot rather than to a &#8220;live&#8221; or &#8220;latest&#8221; dataset.</p><p>If enrichment is incremental, store the incremental changes and apply them in a consistent order if you need to rebuild a particular dataset version. This method can be more space-efficient, since you do not always need to store full copies, but you must track the sequence of patches carefully.</p><p>Archive any external metadata or labels as they existed at the time of training. If your data vendor corrects labels retroactively, keep the old labels around if you need to replicate results from that period.</p><p>Log all data transformations in your pipeline. If your pipeline merges external features (e.g., public data about economic indicators) with your internal dataset, fix the exact versions/timestamps of those external sources. This is especially important for time-series or forecasting tasks in which the availability of external data can shift from day to day.</p><h2><strong>What are some challenges in ensuring reproducibility when using advanced GPU features like mixed precision and custom CUDA kernels?</strong></h2><p>When using hardware accelerations such as mixed precision (e.g., FP16 training) or custom CUDA kernels, you may run into:</p><p>Potential differences in floating-point rounding. In mixed precision, parts of the computation run in FP16, others in FP32, and some steps might occur in FP64. The order of operations or the hardware acceleration path can slightly change numeric outcomes. This can amplify floating-point round-off differences, producing small discrepancies.</p><p>Non-deterministic kernel launches. Some vendor libraries (e.g., cuBLAS, cuDNN) might use atomic operations or concurrency patterns that do not enforce a strict order, leading to small numeric differences across runs. If you require strict reproducibility, you can often set library flags that enforce deterministic kernels, but the performance might degrade.</p><p>Hardware-specific differences. If you switch from one GPU architecture to another, you may see slight changes in floating-point behavior. Also, the availability of certain accelerations can differ by hardware generation, leading to subtle changes in your model&#8217;s numeric outputs.</p><p>To mitigate these, set the relevant deterministic flags in your deep learning framework. For instance, in PyTorch, disable autotuning by setting torch.backends.cudnn.benchmark=False and enable deterministic modes if needed. Even then, you may still see extremely small floating-point differences, which typically do not drastically affect model performance but can be enough to fail a bitwise comparison. If absolute bitwise consistency is critical, you might restrict your environment to a specific GPU model and a consistent driver version.</p><h2><strong>How do concurrent or multi-threaded data loading processes affect reproducibility?</strong></h2><p>Many frameworks use multi-threaded or multi-process data loaders to speed up batch preparation, especially for large datasets. This can lead to race conditions or non-deterministic ordering of data if not handled correctly:</p><p>By default, the order in which threads produce batches can differ slightly across runs due to OS-level scheduling. You can set a fixed seed and enable deterministic sampling in data loading, although this might reduce performance. For example, in PyTorch, specifying worker_init_fn with a fixed seed for each worker can help ensure consistent results.</p><p>Random augmentations within multi-threaded loaders can lead to different transformations each run if seeds are not carefully set. Even if you set a global seed, each worker may produce random transformations in different orders. A recommended approach is to seed each worker with an offset from the global seed based on the worker ID and the epoch number.</p><p>If the pipeline itself is non-deterministic (e.g., transformations that rely on approximate computations or any concurrency in the transform function), even specifying seeds will not perfectly ensure the same results. You might have to refactor your data loader or transformations to enforce a strictly single-threaded or carefully coordinated approach.</p><h2><strong>How can untracked environment variables or system settings undermine reproducibility?</strong></h2><p>Even if you pin library versions and set seeds, environment variables or system configurations can trigger differences in behavior. Examples:</p><p>OpenMP or MKL thread settings. Libraries like NumPy, PyTorch, or TensorFlow might use environment variables (like OMP_NUM_THREADS) to decide how many CPU threads are used. If you do not store these settings, re-running on a different machine (or even the same machine under a different shell session) might produce slightly different concurrency behaviors.</p><p>GPU driver or runtime environment variables. Some frameworks rely on specific driver-level environment variables for performance tuning. If you accidentally run in different driver modes, the results might differ.</p><p>Locale or language settings. Some Python functions, especially those dealing with string processing or sorting, can behave differently depending on locale settings.</p><p>Containerization can help by standardizing environment variables, but you must also ensure that your Docker or Kubernetes environment is configured consistently (for example, that you do not inadvertently override environment variables in the container orchestration layer).</p><h2><strong>How do you decide between absolute reproducibility and practical reproducibility?</strong></h2><p>In many real-world applications, the cost of absolute bitwise reproducibility can be high. Disabling GPU performance optimizations or restricting multi-threaded data loading might slow down experiments dramatically. The decision often comes down to:</p><p>Domain and regulatory requirements. If you are in a highly regulated space (healthcare, finance) and your model outputs are subject to audits, you might need strict reproducibility. You will thus accept performance penalties to enforce it.</p><p>Magnitude of acceptable variance. If your model&#8217;s performance metric only varies by a negligible amount (e.g., 0.01% change in accuracy) between runs, that might be acceptable for many business use cases, and you can focus on &#8220;practical reproducibility.&#8221; That means your results are &#8220;close enough&#8221; and do not affect your business decisions or model performance in a material way.</p><p>Team workflows. If multiple researchers or engineers need to collaborate on the same model, they may need more precise reproducibility. Conversely, if you are just exploring ideas, you might be fine with minor differences as long as your overall metrics remain stable.</p><p>Compute and time constraints. If forcing deterministic kernels slows your training by, say, 3x, you might weigh that cost against your reproducibility needs. Many teams choose to keep the faster approach for iterative experimentation and only enforce more deterministic settings in final audits or production-critical runs.</p><h2><strong>How do you avoid errors when you resume training from a saved checkpoint?</strong></h2><p>Resuming from a checkpoint is a common practice: you train for some epochs, save a snapshot, and later resume. However, subtle issues can break reproducibility:</p><p>You must store and reload not just the model weights, but also the state of the optimizer, learning rate schedulers, and random number generators. If you only restore model weights but reset optimizer states, your training trajectory differs from the original run. For example, in PyTorch you might do:</p><pre><code><code>checkpoint = torch.load("checkpoint_epoch_5.pth")
model.load_state_dict(checkpoint["model_state_dict"])
optimizer.load_state_dict(checkpoint["optimizer_state_dict"])
scheduler.load_state_dict(checkpoint["scheduler_state_dict"])
torch.set_rng_state(checkpoint["rng_state"])
# Potentially set CUDA RNG state as well if needed
</code></code></pre><p>Track and restore epoch counters, iteration counters, or any custom internal states so that the scheduler or logging continues where it left off.</p><p>Make sure you do not accidentally change hyperparameters after resuming. For instance, if you resume with a different batch size or a different data augmentation policy, the resulting model might deviate significantly from your original training plan.</p><p>If your pipeline uses distributed training, ensure that the checkpoint logic and the resumption logic are consistent across all workers. Failing to restore states on all workers can cause synchronization mismatches.</p><h2><strong>How do environment changes in ephemeral cloud infrastructure affect reproducibility?</strong></h2><p>In modern ML workflows, you might train on short-lived cloud instances that get spun up and torn down dynamically. This poses challenges:</p><p>When a cloud instance is reprovisioned, it might have slightly different hardware (e.g., CPU model, GPU generation) even if you request the same instance type. This can introduce numeric variations. If you need absolute reproducibility, you can specify certain AWS or GCP instance families, but even within those families, the underlying hardware can differ slightly by region.</p><p>Make heavy use of Infrastructure as Code and containerization to specify everything about your environment. Tools like Terraform or AWS CloudFormation help you pin down the instance configuration. Docker images ensure consistent library versions. Still, hardware changes can produce small variations in floating-point arithmetic.</p><p>Keep careful logs of the instance type, region, and exact machine configuration for each training job. This helps you identify whether hardware differences might be causing changes in performance or numeric outputs.</p><p>If ephemeral storage is used, ensure that your data is version-controlled or stored on persistent volumes that can be mounted identically across jobs. Otherwise, you might lose the snapshot of data that ensures reproducible training runs.</p><p>Always confirm that your container orchestration (Kubernetes or ECS) is not automatically updating your container images. Pin image digests (SHA256 references) to lock down the container version if you want guaranteed reproducibility from job to job.</p><h2><strong>How do you manage reproducibility when you ensemble multiple models?</strong></h2><p>Ensembling often involves training multiple models (sometimes on different folds of the data or with different seeds) and then combining their predictions. If you later want to reproduce the final ensemble predictions:</p><p>Keep a record of the training setup for each model in the ensemble. Each model might have a unique seed, hyperparameter set, or subset of data. Log these details in a structured way so you can re-run or re-train the models individually.</p><p>Store the final weights of each component model. Combining them or loading them from different versions can lead to confusion. You might think you have a final ensemble but you actually have mismatched components from different experiment runs.</p><p>Record the ensembling procedure itself. If you do a simple average, that is straightforward, but if you use a learned ensemble method (like a meta-learner), you also need to track the training data used by that meta-learner and its own hyperparameters.</p><p>Note that certain ensembling strategies require random initialization or random sampling. For example, if you use bagging or random subspace methods, the subsets of data or features might differ among models. If you don&#8217;t log how those subsets were chosen, you can&#8217;t replicate the ensemble exactly.</p><p>Avoid overshadowing good experimental design with the complexity of ensembling. It&#8217;s easy to lose track of the details in multi-model pipelines. A comprehensive logging setup (with an experiment tracking system) is vital so you don&#8217;t rely on manual notes or ad-hoc configurations.</p><h2><strong>How can you confirm that your results are reproducible before finalizing a model?</strong></h2><p>A crucial step is verifying reproducibility in practice, not just trusting that you set the right seeds. Some ways to do this:</p><p>Run the exact same training job multiple times, ideally on different machines or at least on different sessions on the same machine, and compare metrics and final weights. If everything is configured properly, you should see nearly identical or identical results. If you see discrepancies, investigate whether they are within an acceptable range.</p><p>In a CI/CD (Continuous Integration/Continuous Deployment) pipeline, automate the process of re-training or partial re-training to ensure that new code merges do not break determinism. For example, you might have a test that runs a small toy model and checks if final metrics match known baselines within a small tolerance.</p><p>Use checksums of final model artifacts. If the weights are truly deterministic, then the checksums or hashes of the model files across runs will match exactly. If they differ, even by a single bit, you know non-deterministic steps are creeping in. In some cases, extremely small floating-point differences will cause different checksums; you need to decide if that is acceptable or not.</p><p>Periodically produce reproducibility reports that detail your environment, dataset version, code commit, and any pinned dependencies for each significant model release. This documentation can be tested by having someone else recreate the environment and run the same commands to confirm consistent results.</p><p>When these steps confirm that you can replicate your results, you gain confidence that your training pipeline is robust and stable.</p>]]></content:encoded></item></channel></rss>