ML Case-study Interview Question: Predictive Modeling for Optimal Customer & Rider Incentive Budget Allocation
Browse all the ML Case-Studies here.
Case-Study question
A tech company faces the challenge of finding an optimal balance between customer demand and rider supply to maximize both profitability and user satisfaction. Leaders want to allocate limited budgets across two incentive programs: CARC incentives for stimulating customer orders, and rider incentives for maintaining an adequate rider supply. The company wants a system that predicts how changes in these two budget allocations affect Gross Merchandise Value (GMV), profit, and cost per order. The scope covers daily, weekly, and monthly forecasts at the city level for restaurant deliveries. The company needs a recommendation tool for budgeting decisions, focusing on days without major external disruptions. How would you build a solution to help them forecast outcomes and recommend budget allocations for CARC incentives and rider incentives to optimize results?
Detailed solution
Overall approach
Start with historical data that includes past CARC budgets, rider incentives, external conditions, and observed GMV, profit, and cost per order. Clean the dataset to remove days with external disruptions like extreme weather and short-lived vendor promotions. Split the data into training and validation sets, ensuring coverage of multiple seasons or business cycles.
Predictive modeling
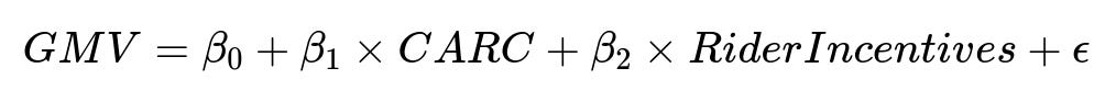
Model GMV, profit, and cost per order as functions of CARC incentives, rider incentives, and relevant control variables.
GMV represents predicted gross merchandise value. CARC is the customer acquisition and retention cost spend. RiderIncentives is the total rider incentive spend. beta_{0}, beta_{1}, and beta_{2} are learned parameters. epsilon is the error term.
Fit similar models for profit and cost per order. Use regularization techniques (for example, Ridge or Lasso) to handle multicollinearity. Validate models on holdout samples to measure predictive accuracy. If data distribution is highly skewed, transform variables or apply robust methods to avoid model bias.
Budget allocation strategy
Implement an optimization procedure over the models. For each budget scenario, predict GMV, profit, and cost per order. Find the allocation that meets business goals for top-line growth (GMV) while maintaining profit above a target. Identify how cost per order changes across different CARC and rider incentive splits.
Profit is computed from predicted GMV minus total costs. fixedCosts may include overhead. variableCosts may include supply chain expenses and incentive spends. Calibrate these components to reflect real budget constraints.
Recommendation tool
Develop a user interface (for example, a dashboard) that allows city managers to input their budget constraints, then outputs recommended splits between CARC and rider incentives. Show predicted GMV, profit, cost per order, and a chart displaying tradeoffs between growth and profit.
Practical details
Use a Python stack. For instance, scikit-learn to build linear or tree-based models. Store data in a data warehouse or large relational database. Integrate Python scripts with Tableau dashboards. Restrict data access with role-based privileges to maintain confidentiality. Provide daily, weekly, and monthly projections to match business cadence.
Example Python snippet
import pandas as pd
from sklearn.linear_model import Ridge
from sklearn.model_selection import train_test_split
df = pd.read_csv("historical_budget_data.csv")
features = ["carc_spend","rider_incentives","day_of_week","city_id"]
target_gmv = "gmv"
X = df[features]
y = df[target_gmv]
X_train, X_val, y_train, y_val = train_test_split(X, y, test_size=0.2, random_state=42)
model_gmv = Ridge(alpha=1.0)
model_gmv.fit(X_train, y_train)
predictions_val = model_gmv.predict(X_val)
Explain how to chain similar steps for profit and cost per order. Show performance metrics on validation sets to confirm reliability.
Handling edge cases
Exclude days impacted by major holidays or competitor-driven promotions if that data is outlier-like. For new or thin data segments, consider Bayesian or hierarchical modeling. Adjust model parameters or adopt ensemble methods if single-model performance is weak.
Final readiness
Train the model on the entire dataset once the approach is proven. Deploy the system to produce predictions for city-level daily, weekly, or monthly budgets. Provide managers with a dashboard that visualizes predicted outcomes for various budget allocations.
What if the data quality is poor?
Ensure data quality checks. Identify anomalies in incentive logs or sales transactions. Use interpolation or advanced imputation for missing data. Investigate suspicious entries and discard if they are not salvageable.
How to handle changing market conditions?
Retrain models frequently. Use streaming data pipelines if the environment changes rapidly. Implement continuous monitoring of model performance. If actual outcomes deviate significantly from predictions, trigger a retraining process and update parameters.
How to address non-linear relationships?
Augment the dataset with non-linear transformations (for example, polynomial or log transformations). Alternatively, use tree-based models like random forest or gradient-boosted trees if linear models cannot capture complex patterns. Check feature importances and partial dependence plots to interpret results.
How to answer cost vs. growth tradeoffs?
Use scenario analyses. Suppose total budget is fixed. Generate predictions for multiple CARC-rider splits. Evaluate the tradeoff curves for GMV and profit. Show a chart indicating the slope of profit decline as GMV grows. Advise on a sweet spot that balances top-line expansion with acceptable margins.
How to scale this system for multiple markets?
Move to a cloud environment with containerized services. Build a microservices architecture so each market forecast is isolated. Automate pipeline orchestration for data ingestion, feature engineering, model training, and dashboard updates. Use parameter tuning and hyperparameter search for each market’s model configuration.




