ML Interview Q Series: How would you analyze data to assess the impact of auto-deleting Dropbox trash files after 30 days?
📚 Browse the full ML Interview series here.
Comprehensive Explanation
A key part of validating whether automatically deleting files from the trash after 30 days is a good idea lies in examining user behavior, system-level metrics, and potential business impacts. This can be viewed through factors such as actual user restoration of files older than 30 days, storage costs incurred by permanently keeping all files in the trash, and how these changes may affect user churn or satisfaction. The overall plan is to derive insights both from historical data and from controlled experiments that can reveal the effect of this deletion policy.
Historical data can shed light on how often users restore data from the trash folder after more than 30 days, or even how frequently they restore at all. If historical data show that most of the recoveries happen within the first week or two, then automatically deleting files after 30 days might have minimal negative impact on users. On the other hand, if a meaningful proportion of files are being restored after 30 days, then the company needs to consider whether short-term storage-cost savings outweigh potential user dissatisfaction or churn.
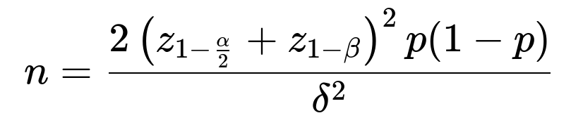
From an analytical perspective, one might run an A/B test: a treatment group would have the new policy enforced, and a control group would continue with the “never permanently delete” policy. The difference in relevant success metrics, such as user retention rates, daily usage, customer satisfaction (through survey or net promoter score), and the incidence of support tickets about missing files, can help confirm or reject the hypothesis that a 30-day deletion policy is a net positive. When preparing to run such an experiment, it is often necessary to estimate the sample size. For instance, to detect a change in a proportion-based metric (like the fraction of users who are still active or the fraction of files restored after 30 days), a typical formula for determining required sample size might be as follows.
Here n is the required sample size per group in an A/B test, p is an estimate of the baseline proportion (for example, the proportion of users who restore files from the trash after 30 days), δ is the minimum detectable difference you care about (the smallest change in that proportion that you want to be able to detect with statistical significance), z is the quantile of the normal distribution, α is the significance level (commonly 0.05), and β is the Type II error rate (related to test power, commonly 0.2 or 0.1).
Analyzing this data thoroughly means not only looking at raw proportions of restorations but also tracking user complaints and support tickets, as well as measuring whether usage patterns change over time (for instance, do fewer people rely on Dropbox for storing rarely accessed files?). In parallel, one can track internal cost metrics, such as the storage expenses of retaining everything in trash indefinitely. The ultimate choice must balance potential user friction and reputational risk against the savings and storage constraints that the new policy may offer.
It is also beneficial to account for user segmentation. Some subsets of users (like enterprise clients or large-scale data storage users) may depend on extended trash retention more heavily than casual users. Therefore, simply averaging outcomes across the entire user base might obscure the effect on these high-value cohorts. Furthermore, certain user segments might require different retention policies for compliance reasons, such as legal or regulatory requirements.
If preliminary data and experimentation suggest minimal risk to user experience alongside substantial cost savings, then a 30-day deletion policy could be validated as a solid business decision. However, if a large number of users show dissatisfaction or decreased engagement, it might either be delayed, further tested, or offered as an optional setting. Ultimately, a careful, data-backed approach with phased rollouts, segment-specific treatments, and robust user feedback loops is critical to ensure the change is beneficial across the board.
Potential Follow-up Questions
How would you address potential concerns from users who realize their older trash items have vanished when they need them back?
One approach is to provide a clear warning system that alerts the user before the final deletion occurs. For instance, at the 25th day, users could receive a prompt within their Dropbox interface or via email stating that trash items will be removed after 30 days. This ensures that users who need to restore critical files have an opportunity to act before the deletion. Additionally, allowing paying users the option to extend this window by default or through an advanced setting can be a viable trade-off.
Providing clear documentation and easily accessible help resources can minimize confusion or frustration. Ensuring that support teams are fully informed about this change and have troubleshooting steps ready is also crucial for maintaining a smooth user experience.
What techniques would you use to evaluate whether the 30-day policy is beneficial from a business standpoint?
The evaluation involves metrics such as net user churn, changes in premium subscription upgrades or downgrades, number of support tickets, and overall usage statistics (for example, daily active users, monthly active users, and new file uploads). If key usage metrics remain stable or improve, while storage costs decline, it indicates a positive net benefit. On the other hand, if data show increased churn or decreased usage, the cost reduction might not justify the negative impact on user satisfaction.
It is also important to consider the revenue implications from users who might be paying for additional storage, partly because of the infinite trash. Reducing the trash storage might cause them to drop to lower-tier plans. Conversely, a 30-day deletion policy might have minimal effect on such usage if most of the space is still used by active items rather than trash.
How would you handle data privacy and regulatory compliance in this scenario?
Compliance rules vary by region and industry. Some enterprise clients need documents retained for legal or policy reasons. The new logic to auto-delete might conflict with these requirements unless there is an override or an enterprise-specific policy. To address this, the system might maintain a separate retention policy for enterprise or government-regulated accounts. Internally, this typically involves adding a flag for such users in the system so that they are exempt from auto-delete or have an extended retention window.
An additional layer of compliance checks would confirm that any new policy does not violate data-protection regulations (for instance, regarding how or when user data can be permanently removed). Hence, it is best to consult with legal experts before implementing a universal 30-day auto-delete.
If historical data show that many items are restored after 30 days, how might you proceed?
If you see a high recovery rate for items older than 30 days, it suggests the new policy could cause friction. You could evaluate a few strategic options. One approach is to allow advanced users or enterprise customers an option to purchase extended trash retention as an add-on service. Another approach is to run a smaller experiment with 45-day or 60-day windows to see if user dissatisfaction decreases significantly. If user dissatisfaction remains high, you might conclude that the business benefit from the new policy does not outweigh the negative user impact. Conversely, if you discover that only a tiny subset of users truly needs longer than 30 days, a targeted retention option might suffice without reverting to an indefinite trash retention policy.
How would you incorporate A/B test results into a final decision?
The measured outcome metrics from the treatment group (30-day deletion) and the control group (indefinite deletion) would be compared. Specifically, you could track differences in restoration rates, user engagement, churn, and storage cost. If the difference is statistically insignificant or if the metrics show that the 30-day group has an acceptable level of user satisfaction and improved cost metrics, then the policy change would be deemed beneficial. If results are inconclusive, further tests might be necessary, possibly with different time windows or user segments. If the data reveal major user dissatisfaction, reevaluating or canceling the change becomes more prudent.
Ultimately, the decision relies on a blend of quantitative results—like churn rate, net promoter score, or daily active users—and qualitative input from user surveys and support logs. Both aspects must align to ensure that user trust and the company’s reputation remain intact while still achieving the logistical and financial benefits of a 30-day trash policy.
Below are additional follow-up questions
How would you plan for a potential spike in customer support requests immediately after implementing this policy?
One strategy is to forecast and temporarily scale up support team capacity around the time of rollout. In such a scenario, you expect some users to be caught off-guard by items disappearing after 30 days, even if they received notifications. Historical data on similar feature changes can guide estimates of how large the spike might be. If, for example, previous experience suggests a 10% support-ticket surge when deprecating certain features, you can plan for a similar or slightly larger volume. You could also set up automated help-center articles, chatbots, or FAQs that specifically address 30-day auto-deletion questions.
A detailed support training module would be critical. In some cases, a well-informed support agent can recover a recently deleted file if it is still within a temporary grace period on the backend. But if that recovery is not possible, the support team must empathize with the user and offer alternative solutions. Over time, the volume of these tickets is expected to drop once the policy becomes broadly familiar to the user base.
Potential pitfall: • Underestimating the number of users who rely on the old policy without actively monitoring their trash folder. If the spike is significantly higher than expected, support channels may be overwhelmed, resulting in more dissatisfaction. • Overreliance on automated support might leave advanced users frustrated if the system cannot handle nuanced questions (like partial account restore or advanced file-version recovery).
What if a significant portion of users never open their trash folder at all but still rely on the indefinite retention as a safety net?
In this edge case, many users do not proactively manage or restore content, yet they implicitly depend on the indefinite trash for peace of mind. To analyze this possibility, you could track user behavior: how many users have large accumulations of old files in trash, and do they eventually need them? You might discover that a particular type of user (for instance, those storing mostly personal photos and documents) rarely checks the trash but occasionally recovers an important file months later. If this demographic is large, the new policy could damage trust once they realize data is irrevocably lost.
To mitigate this risk, a multi-pronged approach might be warranted: • Incremental notifications to highlight the new auto-deletion. Even if users rarely check the trash, regular in-app or email communications can raise awareness. • Providing a user education campaign or an onboarding tutorial explaining the 30-day rule. • Offering an extended grace period or version history for premium or enterprise subscriptions.
Potential pitfall: • Under-informing a large passive user base. Many casual users assume everything in the cloud is always recoverable unless they explicitly empty the trash themselves.
How do you address scenarios where legal or regulatory investigations require files to remain accessible beyond 30 days, even in the trash?
Certain industries—especially finance, healthcare, or government—have stringent data retention requirements that might conflict with a one-size-fits-all 30-day deletion policy. If your company has to guarantee data availability under specific legal holds, a separate policy or a compliance plan would be needed: • Flag relevant accounts or folders as exempt from auto-deletion. This ensures the data is retained for the legally mandated time period, which can go well beyond 30 days. • Implement a sophisticated versioning system for enterprise customers subject to e-discovery requests. • Integrate with a document-management or archival solution that specifically caters to regulatory compliance.
Potential pitfall: • Failing to implement robust compliance exceptions can lead to legal fines, litigations, and damage to corporate reputation. This is especially relevant if the data deletion is irreversible.
How can you handle confusion around file version history when older versions might reside in trash for more than 30 days?
Some users rely on version history to revert to older states of their files. If the older version is considered a separate file within the trash, it might be subject to auto-deletion after 30 days. This could cause friction if users expect version history to remain indefinitely:
• Clarify whether the 30-day clock applies to file versions separately or only to user-deleted items. • If a user actively manages versions but not the trash, they might lose older versions unexpectedly. To prevent confusion, show a clear count of how many days remain before an older version is purged. • Distinguish the new policy from standard version control, emphasizing that a version still actively referenced in the user’s main folder is different from an orphaned version in trash.
Potential pitfall: • Users who rely heavily on the versioning feature might be caught off guard when older versions vanish, resulting in a drop in satisfaction.
In what ways could you optimize the trash-deletion schedule to minimize system load during cleanup?
Automatically deleting files after 30 days can introduce computational and storage overhead when purging large volumes simultaneously. To optimize: • Stagger the deletion. For instance, delete a day’s worth of older trash in smaller batches rather than all at once. • Use a background job queue with priority-based processing. If the system is under heavy load, you can throttle the deletion tasks and process them when load is lower. • Log these deletions meticulously to catch errors or confirm successful file removal, ensuring no user can revert the process after the deletion date has passed.
Potential pitfall: • A poorly planned purge process can temporarily degrade performance for normal Dropbox operations, leading to slower sync times or higher latency.
Could there be data integrity concerns if metadata or reference counters are not cleaned up properly after a 30-day purge?
When a file enters trash, the system might store references, metadata, or file segments in distributed storage. If the 30-day policy is introduced, but reference counters (the mechanism tracking how many pointers to a data block exist) or metadata are not updated correctly, orphaned data might remain indefinitely or prematurely vanish:
• Implement and test robust reference-counting logic to ensure that once the file is actually needed for other shared folders or version references, it is not deleted inadvertently. • Conduct audits to check for orphaned data blocks in storage and ensure the cleanup process is thorough. If you find that data blocks remain that are no longer referenced, purge them to reclaim storage. • Validate that the user interface accurately reflects the file’s status (e.g., when it was scheduled for deletion and whether a partial restore is feasible).
Potential pitfall: • A mismatch in reference tracking can lead to corrupted file references, frustrating user experiences, or even compliance violations if the data was supposed to be fully purged.
How might you test user comprehension and acceptance of the new policy before full rollout?
Surveys, interviews, or focus groups can help gauge user sentiment. For instance, you can: • Conduct usability studies: present the concept of a 30-day limit to selected participants and observe their reactions. • Soft launch for a small beta group that includes a cross-section of consumer and enterprise users, carefully monitoring usage patterns and direct feedback. • Collect both quantitative metrics (like how many times a user interacts with trash alerts) and qualitative insights (like user commentary in surveys).
Potential pitfall: • A mismatch between user feedback in a small, engaged beta group vs. real-world large-scale usage. Beta testers are often power users or more engaged than typical customers, so the general rollout could see very different results.
How would you ensure that the cost savings from auto-deletion are tracked accurately, especially in a distributed storage environment?
To confirm a direct link between the policy and reduced storage expenditures, you need well-defined metrics: • Gather baseline metrics on storage usage specifically for trash items prior to the new policy. Then measure the size of trash storage post-policy. • Differentiate storage costs in various data centers or regions if your service spans multiple cloud providers or on-premise data centers. • Include overhead costs, such as backups and replication. Deleting a 5 GB file from the trash might effectively remove 15 GB or more if there are multiple copies stored for redundancy.
Potential pitfall: • Storage usage might not drop as quickly as anticipated due to version history, caching mechanisms, or replication. Without a detailed breakdown of how the data is stored and replicated, you could see unexpected cost patterns.
How do you handle a scenario where the new trash policy interacts negatively with an API integration that expects indefinite availability?
Third-party integrations may expect that references to trashed files remain valid until explicitly deleted by the user. With auto-deletion after 30 days, these integrations could break or produce errors. To safeguard: • Proactively communicate the upcoming policy changes to developers and partners, providing them with updated API endpoints or guidelines on how to handle a “file not found” scenario. • Offer a transition period where the integration can query the “days until final deletion” attribute of a trashed file, giving ample time for the integration to adapt or notify the user. • Provide developer documentation or webhooks that warn integrations in advance that a file is nearing deletion.
Potential pitfall: • Lack of clarity or advanced warning for third-party developers can lead to sudden breakages, blame placed on Dropbox, and potential reputational damage among the developer community.
How would you manage partial compliance if some teams within Dropbox want the 30-day limit, but others still see value in indefinite retention?
It is not uncommon for large companies to have internal stakeholders with conflicting priorities. For instance, the finance or infrastructure teams might strongly push for the cost-saving advantages of auto-deletion, while product managers or user-facing support teams might prioritize a frictionless user experience. In practice: • Convene a cross-functional working group to balance competing priorities and come to a consensus on a final policy that factors in cost, user satisfaction, brand trust, and technical feasibility. • Run internal pilot programs, possibly enabling the 30-day deletion for certain categories of internal test accounts. Gather internal feedback to refine messaging or transitions before a public launch. • Document compromise solutions, such as a default 30-day policy with the option for indefinite retention for higher-tier customers or specific regulated industries.
Potential pitfall: • An internally fractured rollout message or contradictory statements in user documentation if teams cannot align on what the official policy is. This confusion can propagate to end users, further complicating adoption.
How could you manage random edge cases where a user manually changes the system clock to avoid auto-deletion?
If the logic for auto-deletion relies partially on the system’s time settings, a user might manipulate local settings—though typically in a cloud service, the user’s local clock is not the authoritative source. On the backend, all file creation and deletion timestamps would rely on the server’s time. Hence: • Use server-based timestamps as the sole reference for the 30-day cycle, preventing tampering from local time changes on a client device. • Implement logging on the server side so that the exact date-time of trashing is recorded immutably. Even if user devices have incorrect local times, the policy will rely on the correct official server time.
Potential pitfall: • If the system inadvertently trusts or syncs with the client device’s time in certain workflows, an attacker or advanced user might artificially extend the lifecycle of trashed files or cause other anomalies.
How can you mitigate the risk of accidental permanent file loss if users mistakenly move items to trash?
Accidental deletions happen frequently, and the 30-day auto-deletion window reduces the available time to recover mistakes. Mitigation strategies include: • Implement a safety step, such as a confirmation dialog or a “recently deleted” section that is visually distinct. Users can quickly restore items they accidentally trashed. • Provide fine-grained event logs for administrators or power users. For instance, allow them to see exactly when a file was moved to trash and by whom, facilitating timely recovery. • Encourage best practices, such as version control or local backups, especially for critical files. For many professional users, local backups or revision histories in other systems remain a crucial safety net.
Potential pitfall: • Users who rarely check their trash or logs might pass the 30-day mark before realizing their error. Even an additional email notification might be overlooked if they routinely ignore system messages.
How do you handle highly diverse user groups who have different usage patterns across device types, such as mobile-only users versus desktop power users?
Usage on mobile might be more ephemeral, with users quickly clearing out space, while desktop users might store large volumes of project data. The 30-day policy could affect these groups differently: • Conduct segmentation analysis, measuring how mobile-only versus desktop users interact with the trash. This can reveal whether one group frequently recovers files after 30 days while the other does not. • Optimize user-interface prompts differently for mobile and desktop. Mobile apps can display push notifications or banners; desktop clients might show an icon badge or system tray alert. • Decide if it makes sense to implement device-specific grace periods or user prompts (although this can increase complexity).
Potential pitfall: • Failing to account for these group differences might lead to overlooking important usage patterns. For instance, if the majority of mobile users rarely restore files, you might incorrectly assume the new policy is harmless for all user segments, missing the heavy desktop user base that does frequent restoration.
How would you analyze the long-term impact on user trust and brand perception beyond immediate metrics like churn or support volume?
User trust and brand perception can erode slowly, and negative sentiment might manifest well after the policy change. This requires long-term tracking. For instance: • Monitor net promoter score (NPS) or similar loyalty metrics over multiple quarters. A short-term dip might stabilize, but a persistent decline indicates deeper user dissatisfaction. • Investigate social media or community forums for user sentiment. Sometimes, a small but vocal group complaining about lost files can have a disproportionately large effect on brand image. • Conduct periodic user surveys or interviews specifically about data safety and perceived reliability. If these surveys reveal that a significant percentage of users feel uneasy storing valuable files on Dropbox due to the auto-deletion policy, it could drive them toward competitor services eventually.
Potential pitfall: • Overlooking intangible brand trust elements if short-term metrics like churn appear stable. By the time churn or usage metrics significantly change, it might be too late to address the root cause of user dissatisfaction.


